如何快速检索?
Elasticsearch是通过Lucene的倒排索引技术实现比关系型数据库更快的过滤。特别是它对多条件的过滤支持非常好,比如年龄在18和30之间,性别为女性这样的组合查询。倒排索引很多地方都有介绍,但是其比关系型数据库的b-tree索引快在哪里?到底为什么快呢?
笼统的来说,b-tree索引是为写入优化的索引结构。当我们不需要支持快速的更新的时候,可以用预先排序等方式换取更小的存储空间,更快的检索速度等好处,其代价就是更新慢。要进一步深入的化,还是要看一下Lucene的倒排索引是怎么构成的。

这里有好几个概念。我们来看一个实际的例子,假设有如下的数据:
| docid | 年龄 | 性别 |
|---|---|---|
| 1 | 18 | 女 |
| 2 | 20 | 女 |
| 3 | 18 | 男 |
这里每一行是一个document。每个document都有一个docid。那么给这些document建立的倒排索引就是:
年龄
| 18 | [1,3] |
|---|---|
| 20 | [2] |
性别
| 女 | [1,2] |
|---|---|
| 男 | [3] |
可以看到,倒排索引是per field的,一个字段由一个自己的倒排索引。18,20这些叫做 term,而[1,3]就是posting list。Posting list就是一个int的数组,存储了所有符合某个term的文档id。那么什么是term dictionary 和 term index?
假设我们有很多个term,比如:
Carla,Sara,Elin,Ada,Patty,Kate,Selena
如果按照这样的顺序排列,找出某个特定的term一定很慢,因为term没有排序,需要全部过滤一遍才能找出特定的term。排序之后就变成了:
Ada,Carla,Elin,Kate,Patty,Sara,Selena
这样我们可以用二分查找的方式,比全遍历更快地找出目标的term。这个就是 term dictionary(顺序排列)。有了term dictionary之后,可以用 logN 次磁盘查找得到目标。但是磁盘的随机读操作仍然是非常昂贵的(一次random access大概需要10ms的时间)。所以尽量少的读磁盘,有必要把一些数据缓存到内存里。但是整个term dictionary本身又太大了,无法完整地放到内存里。于是就有了term index。term index有点像一本字典的大的章节表。比如:
A开头的term ……………. Xxx页
C开头的term ……………. Xxx页
E开头的term ……………. Xxx页
如果所有的term都是英文字符的话,可能这个term index就真的是26个英文字符表构成的了。但是实际的情况是,term未必都是英文字符,term可以是任意的byte数组。而且26个英文字符也未必是每一个字符都有均等的term,比如x字符开头的term可能一个都没有,而s开头的term又特别多。实际的term index是一棵trie 树:

例子是一个包含 “A”, “to”, “tea”, “ted”, “ten”, “i”, “in”, 和 “inn” 的 trie 树。这棵树不会包含所有的term,它包含的是term的一些前缀。通过term index可以快速地定位到term dictionary的某个offset,然后从这个位置再往后顺序查找。再加上一些压缩技术(搜索 Lucene Finite State Transducers) term index 的尺寸可以只有所有term的尺寸的几十分之一,使得用内存缓存整个term index变成可能。整体上来说就是这样的效果。

现在我们可以回答“为什么Elasticsearch/Lucene检索可以比mysql快了。Mysql只有term dictionary这一层,是以b-tree排序的方式存储在磁盘上的。检索一个term需要若干次的random access的磁盘操作。而Lucene在term dictionary的基础上添加了term index来加速检索,term index以树的形式缓存在内存中。从term index查到对应的term dictionary的block位置之后,再去磁盘上找term,大大减少了磁盘的random access次数。
额外值得一提的两点是:term index在内存中是以FST(finite state transducers)的形式保存的,其特点是非常节省内存。Term dictionary在磁盘上是以分block的方式保存的,一个block内部利用公共前缀压缩,比如都是Ab开头的单词就可以把Ab省去。这样term dictionary可以比b-tree更节约磁盘空间。
如何联合索引查询?
所以给定查询过滤条件 age=18 的过程就是先从term index找到18在term dictionary的大概位置,然后再从term dictionary里精确地找到18这个term,然后得到一个posting list或者一个指向posting list位置的指针。然后再查询 gender=女 的过程也是类似的。最后得出 age=18 AND gender=女 就是把两个 posting list 做一个“与”的合并。
这个理论上的“与”合并的操作可不容易。对于mysql来说,如果你给age和gender两个字段都建立了索引,查询的时候只会选择其中最selective的来用,然后另外一个条件是在遍历行的过程中在内存中计算之后过滤掉。那么要如何才能联合使用两个索引呢?有两种办法:
- 使用skip list数据结构。同时遍历gender和age的posting list,互相skip;
- 使用bitset数据结构,对gender和age两个filter分别求出bitset,对两个bitset做AN操作。
PostgreSQL 从 8.4 版本开始支持通过bitmap联合使用两个索引,就是利用了bitset数据结构来做到的。当然一些商业的关系型数据库也支持类似的联合索引的功能。Elasticsearch支持以上两种的联合索引方式,如果查询的filter缓存到了内存中(以bitset的形式),那么合并就是两个bitset的AND。如果查询的filter没有缓存,那么就用skip list的方式去遍历两个on disk的posting list。
利用 Skip List 合并
例子:
好比3个筛选条件, 共查处3个postid list , 每一个list都是顺序的
把list按从数量从最少到最多排列,好比 l1 = [1, 10, 20], l2 = [1, 5, 10, 15, 20], l3 =[2, 4, 8, 10, 15 ,18, 20]
第一个用10举例,10有两个尾巴节点,一个指向本身的20,一个指向 l2的10,这样就直接跳到了l2的10,就不须要再查l2的5了; 一样l2的10指向l3的10, 就能够跳过l3的2、4、8内存

以上是三个posting list。我们现在需要把它们用AND的关系合并,得出posting list的交集。首先选择最短的posting list,然后从小到大遍历。遍历的过程可以跳过一些元素,比如我们遍历到绿色的13的时候,就可以跳过蓝色的3了,因为3比13要小。
整个过程如下
Next -> 2
Advance(2) -> 13
Advance(13) -> 13
Already on 13
Advance(13) -> 13 MATCH!!!
Next -> 17
Advance(17) -> 22
Advance(22) -> 98
Advance(98) -> 98
Advance(98) -> 98 MATCH!!!
最后得出的交集是[13,98],所需的时间比完整遍历三个posting list要快得多。但是前提是每个list需要指出Advance这个操作,快速移动指向的位置。什么样的list可以这样Advance往前做蛙跳?skip list:

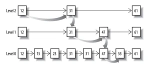
从概念上来说,对于一个很长的posting list,比如:
[1,3,13,101,105,108,255,256,257]
我们可以把这个list分成三个block:
[1,3,13] [101,105,108] [255,256,257]
然后可以构建出skip list的第二层:
[1,101,255]
1,101,255分别指向自己对应的block。这样就可以很快地跨block的移动指向位置了。
Lucene自然会对这个block再次进行压缩。其压缩方式叫做Frame Of Reference(增量编码压缩)。示例如下:
list中的每一个数,只去保存其相对于前一个数的增量

考虑到频繁出现的term(所谓low cardinality的值),比如gender里的男或者女。如果有1百万个文档,那么性别为男的posting list里就会有50万个int值。用Frame of Reference编码进行压缩可以极大减少磁盘占用。这个优化对于减少索引尺寸有非常重要的意义。当然mysql b-tree里也有一个类似的posting list的东西,是未经过这样压缩的。
因为这个Frame of Reference的编码是有解压缩成本的。利用skip list,除了跳过了遍历的成本,也跳过了解压缩这些压缩过的block的过程,从而节省了cpu。
利用bitset合并
Bitset是一种很直观的数据结构,对应posting list如:
[1,3,4,7,10]
对应的bitset就是:
[1,0,1,1,0,0,1,0,0,1]
每个文档按照文档id排序对应其中的一个bit。Bitset自身就有压缩的特点,其用一个byte就可以代表8个文档。所以100万个文档只需要12.5万个byte。但是考虑到文档可能有数十亿之多,在内存里保存bitset仍然是很奢侈的事情。而且对于个每一个filter都要消耗一个bitset,比如age=18缓存起来的话是一个bitset,18<=age<25是另外一个filter缓存起来也要一个bitset。
所以秘诀就在于需要有一个数据结构:
- 可以很压缩地保存上亿个bit代表对应的文档是否匹配filter;
- 这个压缩的bitset仍然可以很快地进行AND和 OR的逻辑操作。
Lucene使用的这个数据结构叫做 Roaring Bitmap。

其压缩的思路其实很简单。与其保存100个0,占用100个bit。还不如保存0一次,然后声明这个0重复了100遍。
这两种合并使用索引的方式都有其用途。Elasticsearch对其性能有详细的对比(https://www.elastic.co/blog/frame-of-reference-and-roaring-bitmaps)。简单的结论是:因为Frame of Reference编码是如此高效,对于简单的相等条件的过滤缓存成纯内存的bitset还不如需要访问磁盘的skip list的方式要快。
如何减少文档数?
一种常见的压缩存储时间序列的方式是把多个数据点合并成一行。Opentsdb支持海量数据的一个绝招就是定期把很多行数据合并成一行,这个过程叫compaction。类似的vivdcortext使用mysql存储的时候,也把一分钟的很多数据点合并存储到mysql的一行里以减少行数。
这个过程可以示例如下:
| 12:05:00 | 10 |
|---|---|
| 12:05:01 | 15 |
| 12:05:02 | 14 |
| 12:05:03 | 16 |
合并之后就变成了:
| 12:05 | 10 | 15 | 14 | 16 |
|---|
可以看到,行变成了列了。每一列可以代表这一分钟内一秒的数据。
Elasticsearch有一个功能可以实现类似的优化效果,那就是Nested Document。我们可以把一段时间的很多个数据点打包存储到一个父文档里,变成其嵌套的子文档。示例如下:
{timestamp:12:05:01, idc:sz, value1:10,value2:11}
{timestamp:12:05:02, idc:sz, value1:9,value2:9}
{timestamp:12:05:02, idc:sz, value1:18,value:17}
可以打包成:
{
max_timestamp:12:05:02, min_timestamp: 1205:01, idc:sz,
records: [
{timestamp:12:05:01, value1:10,value2:11}
{timestamp:12:05:02, value1:9,value2:9}
{timestamp:12:05:02, value1:18,value:17}
]
}
这样可以把数据点公共的维度字段上移到父文档里,而不用在每个子文档里重复存储,从而减少索引的尺寸。

在存储的时候,无论父文档还是子文档,对于Lucene来说都是文档,都会有文档Id。但是对于嵌套文档来说,可以保存起子文档和父文档的文档id是连续的,而且父文档总是最后一个。有这样一个排序性作为保障,那么有一个所有父文档的posting list就可以跟踪所有的父子关系。也可以很容易地在父子文档id之间做转换。把父子关系也理解为一个filter,那么查询时检索的时候不过是又AND了另外一个filter而已。前面我们已经看到了Elasticsearch可以非常高效地处理多filter的情况,充分利用底层的索引。
使用了嵌套文档之后,对于term的posting list只需要保存父文档的doc id就可以了,可以比保存所有的数据点的doc id要少很多。如果我们可以在一个父文档里塞入50个嵌套文档,那么posting list可以变成之前的1/50。
本文深入解析了Elasticsearch为何比关系型数据库如MySQL检索更快,主要归功于其倒排索引技术。倒排索引包括termdictionary和termindex,通过内存中的termindex加速查找,减少磁盘随机读取。Elasticsearch支持两种联合索引查询方式:skiplist和bitset,分别适用于不同场景。此外,通过NestedDocument减少文档数,进一步优化索引存储。
896





