摘 要
农产品销售受季节、区域及消费行为等多因素影响,数据特征复杂,难以依靠传统手段进行有效预测与推荐。本文设计并实现了一种基于Hadoop平台的农产品销售预测系统,采用K-means聚类矩阵算法对销售数据进行归类分析,提取潜在的销售模式与用户偏好。系统利用分布式计算模型处理海量销售信息,提升预测效率与系统响应速度。在此基础上,构建推荐机制,根据用户行为与聚类结果动态调整推荐内容,实现产品的个性化展示。系统架构支持模块化管理与数据可视化,适用于农产品电商平台的运营与决策支持。实验表明,该系统在销售趋势挖掘与商品推荐方面具备较高的准确性与稳定性。
关键词:农产品销售预测;Hadoop;K-means聚类;推荐算法;用户行为分析
Abstract
The sales of agricultural products are influenced by multiple factors such as season, region, and consumer behavior, and the data characteristics are complex, making it difficult to rely on traditional methods for effective prediction and recommendation. This article designs and implements an agricultural product sales forecasting system based on the Hadoop platform. The K-means clustering matrix algorithm is used to classify and analyze sales data, extract potential sales patterns and user preferences. The system utilizes distributed computing models to process massive sales information, improving prediction efficiency and system response speed. On this basis, a recommendation mechanism is constructed to dynamically adjust the recommended content based on user behavior and clustering results, achieving personalized display of products. The system architecture supports modular management and data visualization, suitable for operation and decision support of agricultural product e-commerce platforms. The experiment shows that the system has high accuracy and stability in sales trend mining and product recommendation.
key word:Agricultural product sales forecast; Hadoop; K-means clustering; Recommendation algorithm; User Behavior
目录
第1章 绪论
1.1研究背景与意义
农业作为国民经济的重要支柱,其产出直接关系到民生保障与市场供需平衡。随着市场结构的不断变化,农产品的生产与销售面临信息不对称、流通效率低、供需失衡等一系列问题。在传统销售模式中,农户与销售端之间缺乏有效的数据支持,常出现供过于求或滞销积压等现象,严重影响收益与资源配置效率。
在信息处理能力不断增强的背景下,农产品销售数据的积累为挖掘消费行为与市场走势提供了条件。通过对历史交易数据与消费习惯的深入整理,可以提炼出具有代表性的分布特征与规律,为经营者优化销售策略提供支持。同时,统一的信息平台有助于提升农产品的市场流通效率,促进区域之间的信息共享与资源整合,增强农业产业链的协同能力。
构建科学的销售分析系统,有利于缓解市场供需矛盾,提升农产品上行效率,推动农业现代化进程,在提高经济效益的同时,也为消费者提供更优质的服务体验。
1.2国内外研究现状
农产品销售管理领域,国外研究起步较早,早期以库存调度与市场供需模型为核心,通过时间序列方法、回归分析等手段对销售趋势进行建模。随着信息技术的发展,研究逐步向模型优化、算法集成与系统实用化方向拓展。欧美一些研究机构和农业平台尝试将数据处理与商业逻辑相结合,构建了覆盖产销环节的数字化系统,强调对市场行为的挖掘与用户购买意图的建模,提升农产品流通效率。
国内研究起步相对较晚,但发展迅速。相关高校与农业科技单位在销售分析模型、系统平台搭建等方面展开了多角度探索。多数研究聚焦于地域消费差异、销售数据特征挖掘及农户供给行为模拟等维度,逐步形成了涵盖数据管理、模型计算与可视化展示的技术框架。部分地区开始推动农产品销售管理平台与地方农业政策协同运行,探索产销一体化服务机制。当前的研究趋势更加强调系统的实用性与操作性,力求在提高销售效率的同时兼顾农产品的市场调节功能与农户利益保障。
1.3论文结构
第一章是论文的绪论部分,主要介绍了课题的研究背景与意义以及国内外研究现状。
第二章研究了系统的所采用的开发技术和开发工具。
第三章研究了系统的需求分析,根据系统的特点,分析系统采用的体系结构及开发方法,以及该系统的运行环境,并分析了业务流程,绘制了业务流程以及数据流程。
第四章是对系统的详细设计进行说明。
第五章是系统的具体实现,介绍系统的各个模块的具体实现。
第六章在前几章的基础上对系统进行测试和运行。
第2章 主要技术和工具介绍
2.1 Hadoop框架介绍
Hadoop是一个由Apache基金会所开发的分布式系统基础架构。用户可以在不了解分布式底层细节的情况下,开发分布式程序。充分利用集群的威力进行高速运算和存储。Hadoop实现了一个分布式文件系统( Distributed File System),其中一个组件是HDFS(Hadoop Distributed File System)[1]。HDFS有高容错性的特点,并且设计用来部署在低廉的(low-cost)硬件上;而且它提供高吞吐量(high throughput)来访问应用程序的数据,适合那些有着超大数据集(large data set)的应用程序。HDFS放宽了(relax)POSIX的要求,可以以流的形式访问(streaming access)文件系统中的数据。Hadoop的框架最核心的设计就是:HDFS和MapReduce。HDFS为海量的数据提供了存储,而MapReduce则为海量的数据提供了计算[2]。
2.2 MySQL 数据库
MySQL是一种开源关系型数据库管理系统,广泛应用于Web应用和企业级数据存储。MySQL支持结构化查询语言,允许开发者通过标准语句进行数据的创建、读取、更新和删除操作[3]。数据库通过表格形式组织数据,支持数据完整性和约束条件的定义。MySQL的存储引擎机制使得用户可以根据具体需求选择不同的存储引擎,以优化性能和功能。
MySQL具有高性能和可扩展性,支持大规模数据存储和高并发访问。系统提供了丰富的用户权限管理和数据加密安全特性。MySQL能够与多种编程语言和框架兼容,广泛应用于内容管理系统、电子商务平台和数据分析等各种场景。
2.3 B/S结构
B/S(Browser/Server)架构是一种基于浏览器和服务器的系统架构模式,用户通过浏览器与服务器进行交互。B/S架构简化了客户端的部署和管理,用户无需在本地安装复杂的软件,只需使用标准浏览器即可访问应用程序。服务器端负责处理业务逻辑和数据存储,客户端则主要负责展示用户界面和数据交互[4]。B/S架构的设计使得系统更新和维护集中在服务器端,降低了维护成本。
B/S架构通常采用Web技术进行实现,包括HTML、CSS和JavaScript等。用户在浏览器中发起请求,服务器响应并返回数据。数据传输通常通过HTTP或HTTPS协议进行,B/S架构的灵活性使其适用于在线购物、信息管理系统和社交网络等各类应用场景[5]。由于其易于扩展性,B/S架构可以方便地支持大规模用户访问,适应不断变化的业务需求。
2.4 Python爬虫技术
爬虫,即网络爬虫,是通过递归访问网络资源,抓取网络中信息的技术[6]。
网络为搜索引擎从万维网下载网页。一般分为传统爬虫和聚焦爬虫。
传统爬虫从一个或若干初始网页的URL开始,获得初始网页上的URL,在抓取网页的过程中,不断从当前页面上抽取新的URL放入队列,直到满足系统的一定停止条件。通俗的讲,也就是通过源码解析来获得想要的内容。
聚焦爬虫的工作流程较为复杂,需要根据一定的网页分析算法过滤与主题无关的链接,保留有用的链接并将其放入等待抓取的URL队列。然后,它将根据一定的搜索策略从队列中选择下一步要抓取的网页URL,并重复上述过程,直到达到系统的某一条件时停止。另外,所有被爬虫抓取的网页将会被系统存贮,进行一定的分析、过滤,并建立索引,以便之后的查询和检索;对于聚焦爬虫来说,这一过程所得到的分析结果还可能对以后的抓取过程给出反馈和指导[7]。
2.5kmeans聚类矩阵算法
农产品销售数据在时间、地域与品类维度上存在显著的波动性和差异性,直接影响销售组织方式与供应链协同效率。为提高系统对销售行为规律的提取能力,系统设计中引入了K-means聚类矩阵算法,对历史销售记录、用户行为数据及商品特征信息进行聚合处理。算法通过对样本间相似度的度量,实现对数据的自动分组,形成多个特征相近的销售集群。在实现过程中,结合矩阵结构将用户、商品与交易数据转化为多维向量,并以距离函数作为迭代标准,在样本空间中不断调整类中心位置,直至满足收敛条件。聚类结果为系统提供了类别划分基础,可支持差异化展示与商品组合优化,同时提升后续分析模块的准确性与效率。在系统架构中,该算法作为核心分析组件与数据调度模块联动,既保证了计算效率,又增强了数据输出的适用性,具有较强的可移植性与稳定性,能够适应农产品销售系统中多变的业务场景与动态数据输入需求。
第3章 系统分析
3.1可行性分析
分析用户需求和数据需求,得到一个方案,然后设定系统的开发方案,为每个功能模块设计出合理的设计方案,论证开发本系统是否可行。本文从技术上、操作上和经济上对本系统的开发进行可行性分析。
3.1.1技术可行性
Hadoop作为一个成熟、稳定的大数据处理框架,已经广泛应用于各个行业的数据处理和分析中。其强大的数据存储和计算能力,以及高度可扩展的特性,使得它能够应对各种数据。同时,Hadoop的开源性质也为其提供了丰富的生态系统和广泛的社区支持,使得开发和维护基于Hadoop的系统变得相对容易。
3.1.2运行可行性
从运行角度来看,正因为本系统是在服务器的基础上开发的,系统开发成功以后,用户无需导航指导便可自己上手进行操作。系统一经开发测试后,在计算机移动客户端能上网的情况下,只需在浏览器里完成所有可用操作,也无需配置复杂的使用和运行环境,只需一个网址便可进入系统。因此,本系统具有运行可行性。
3.1.3操作可行性
从操作角度来看, Hadoop框架使得系统的部署和运行相对简单,容易维护和管理的同时,能够提供一个界面直观友好和操作简单高效的系统,能满足用户的各项要求,方便用户快速上手使用。因此,本系统具有操作可行性。
综上所述, 农产品销售预测系统在技术、运行和操作等方面都具有可行性。
3.2功能需求分析
系统分为三大用户角色:消费者、商家用户和管理员,分别具有不同的功能权限,满足各自的需求。以下是各个功能模块的详细分析:
(一)消费者功能:
首页:进入系统后展示推荐产品、公告与资讯,提供入口导航。
公告信息:查看平台发布的最新通知、活动公告等信息。
资讯信息:浏览农业相关资讯、市场动态等内容。
产品信息:查看产品详情,包括价格、产地、库存等信息。
产品预售:参与农产品预购活动,提前锁定产品资源。
商城管理:
我的购物车:管理待购买商品,支持添加、删除、结算等操作。
我的订单:查看历史订单状态,跟踪物流。
我的地址:管理收货地址信息,支持新增、修改、删除。
我的账户:修改登录密码、个人信息等基本资料。
个人中心:
个人首页:概览个人数据与使用记录。
订单配送:查看订单发货与收货状态。
收藏管理:查看与管理收藏商品列表。
评论管理:查看与管理自己对商品的评论内容。
(二)管理员功能:
后台首页:展示系统整体运行概况,快速跳转各模块,提高管理效率。
系统用户:管理系统内所有账户信息,支持用户信息的新增、修改、删除操作。
产品预售管理:发布与管理农产品预售信息,支持预售计划与数据调整。
单价对比管理:分析并比较不同产品或商家的价格情况,为决策提供依据。
店铺占比管理:统计不同商家销售占比,辅助平台运营分析。
产地占比管理:分析产品来源地的销售占比,监控供给结构。
系统管理(轮播图管理):配置首页轮播图展示内容,提升系统美观与信息传达。
公告信息管理:发布平台通知、公告等重要信息。
资源管理(资讯信息、信息分类):发布行业动态和农业资讯内容,支持分类管理。
商城管理:包括产品信息维护、分类结构设置、订单处理与配送管理,全面支持商城运营。
(三)商家用户功能:
后台首页:展示商家店铺相关概况与运营数据,便于商家快速掌握业务状态。
产品信息:上架与编辑销售产品,管理产品详情、库存与价格。
分类列表:自定义并管理所属商品分类,优化商品展示与搜索体验。
订单列表:查看顾客订单,处理订单状态与详情。
订单配送:填写物流信息,管理发货流程,实现订单闭环处理。
3.3非功能需求分析
非功能性需求主要关注的是系统如何运行,而不是它具体完成什么功能。这些需求包括性能、可用性、安全性、可维护性、可扩展性、易用性等方面。以下是一个关于 农产品销售预测系统非功能性需求分析的概要。
性能需求:系统需确保快速响应和高吞吐量,以支持大量用户同时访问,即使在高峰时段也能保持流畅的操作体验,避免因延迟或卡顿影响用户体验。
可用性:安系统必须具备高可用性,采用冗余部署、负载均衡等策略,确保即使部分组件故障也能迅速恢复服务,减少服务中断时间,保障用户业务的连续性。
安全性:鉴于系统处理用户敏感信息,如个人信息等,必须实施严格的安全措施,包括数据加密、访问控制、防攻击机制等,以保护用户数据免受未授权访问或泄露。
可维护性:系统设计应注重可维护性,采用模块化、标准化的架构,提供详尽的开发文档和用户手册,确保系统易于理解和维护,降低长期运维成本。
可扩展性:随着业务的发展,系统可能需要扩展功能或提升性能。因此,系统需具备灵活的可扩展性,能够轻松添加新模块、优化性能,以应对未来增长的需求。
易用性:用户界面应直观易用,符合用户习惯,提供清晰的导航和友好的操作反馈,帮助用户快速上手并高效完成任务,提升整体用户满意度。。
3.4 系统用例分析
系统的完整UML用例图分别如图3-1、图3-2和图3-3所示。
消费者角色用例图。

图3-1 消费者角色用例图
管理员角色用例图。

图3-2管理员角色用例图
商家用户角色用例图。

3.5 系统流程分析
3.5.1程序操作流程
用户访问系统,可以选择进行注册或登录操作。注册成功后,用户可以使用注册的账号登录平台。登录后的用户可以进入系统功能界面,使用自己权限内的功能操作。程序操作流程图如图3-4所示。

图3-4程序操作流程图
3.5.2登录流程
用户访问系统,进入登录页面页面,入其用户名和密码,后端服务接收登录请求,验证用户提供的用户名和密码是否匹配数据库中存储的信息,验证通过即可登录成功。登录流程图如图3-5所示。

图3-5 登录流程图
3.5.3注册流程
未有账号的用户可进入注册界面进行注册操作,填写注册表格,包括用户名、密码、电子邮件等必要信息。后台系统验证并保存用户提交的信息。分配唯一用户标识符。注册成功后,用户可以使用账号密码进行登录。用户注册流程图如图3-6所示。

图3-6 注册流程图
第4章 系统设计
4.1系统体系结构
系统选择B/S结构(Browser/Server,浏览器/服务器结构)和基于Web服务两种模式。适合在互联网上进行操作,只要用户能连网,任何时间、任何地点都可以进行系统的操作使用。系统工作原理图如图4-1所示:

图4-1 系统工作原理图
4.2系统结构设计
系统的功能结构图如下图所示。

图4-2系统功能结构图
4.3数据库设计
在进行数据库设计时,概念设计帮助明确系统的整体结构和需求。在这一阶段,需要确定实体、属性以及它们之间的关系,为后续的数据库表设计奠定基础。接下来,将深入探讨数据库表设计的具体细节,实现更高效的数据存储和管理。
4.3.1概念设计
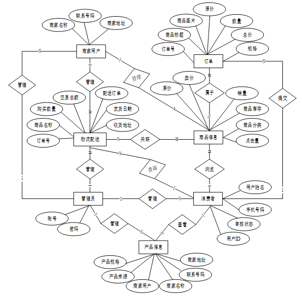
概念设计是数据库设计的第一步,其主要目标是对系统的数据需求进行全面的理解和抽象[8]。在这一阶段,通过建立实体-关系模型(ER模型)来识别系统中的关键实体、属性及其相互关系。概念设计的输出是一个清晰的ER图,作为后续数据库表设计的基础。以下将展示系统的全局E-R图。

图4-3系统总体ER图
4.3.2数据库表设计
这一阶段的重点是将概念模型转换为实际的数据库结构,包括表的创建、字段的定义及数据类型的选择。每个实体通常对应于数据库中的一张表,而实体的属性则转化为表的列[9]。以下是系统的数据库表设计展示。
| 编号 | 字段名 | 类型 | 长度 | 是否非空 | 是否主键 | 注释 |
| 1 | token_id | int | 是 | 是 | 临时访问牌ID | |
| 2 | token | varchar | 64 | 否 | 否 | 临时访问牌 |
| 3 | info | text | 65535 | 否 | 否 | 信息 |
| 4 | maxage | int | 是 | 否 | 最大寿命:默认2小时 | |
| 5 | create_time | timestamp | 是 | 否 | 创建时间 | |
| 6 | update_time | timestamp | 是 | 否 | 更新时间 | |
| 7 | user_id | int | 是 | 否 | 用户编号 |
表 4-2-address(收货地址)
| 编号 | 字段名 | 类型 | 长度 | 是否非空 | 是否主键 | 注释 |
| 1 | address_id | int | 是 | 是 | 收货地址 | |
| 2 | name | varchar | 32 | 否 | 否 | 姓名 |
| 3 | phone | varchar | 13 | 否 | 否 | 手机 |
| 4 | postcode | varchar | 8 | 否 | 否 | 邮编 |
| 5 | address | varchar | 255 | 是 | 否 | 地址 |
| 6 | user_id | mediumint | 是 | 否 | 用户ID | |
| 7 | create_time | timestamp | 是 | 否 | 创建时间 | |
| 8 | update_time | timestamp | 是 | 否 | 更新时间 | |
| 9 | default | tinyint | 是 | 否 | 默认判断 |
表 4-3-article(文章)
| 编号 | 字段名 | 类型 | 长度 | 是否非空 | 是否主键 | 注释 |
| 1 | article_id | mediumint | 是 | 是 | 文章id | |
| 2 | title | varchar | 125 | 是 | 是 | 标题 |
| 3 | type | varchar | 64 | 是 | 否 | 文章分类 |
| 4 | hits | int | 是 | 否 | 点击数 | |
| 5 | praise_len | int | 是 | 否 | 点赞数 | |
| 6 | create_time | timestamp | 是 | 否 | 创建时间 | |
| 7 | update_time | timestamp | 是 | 否 | 更新时间 | |
| 8 | source | varchar | 255 | 否 | 否 | 来源 |
| 9 | url | varchar | 255 | 否 | 否 | 来源地址 |
| 10 | tag | varchar | 255 | 否 | 否 | 标签 |
| 11 | content | longtext | 4294967295 | 否 | 否 | 正文 |
| 12 | img | varchar | 255 | 否 | 否 | 封面图 |
| 13 | description | text | 65535 | 否 | 否 | 文章描述 |
表 4-4-article_type(文章分类)
| 编号 | 字段名 | 类型 | 长度 | 是否非空 | 是否主键 | 注释 |
| 1 | type_id | smallint | 是 | 是 | 分类ID | |
| 2 | display | smallint | 是 | 否 | 显示顺序 | |
| 3 | name | varchar | 16 | 是 | 否 | 分类名称 |
| 4 | father_id | smallint | 是 | 否 | 上级分类ID | |
| 5 | description | varchar | 255 | 否 | 否 | 描述 |
| 6 | icon | text | 65535 | 否 | 否 | 分类图标 |
| 7 | url | varchar | 255 | 否 | 否 | 外链地址 |
| 8 | create_time | timestamp | 是 | 否 | 创建时间 | |
| 9 | update_time | timestamp | 是 | 否 | 更新时间 |
表 4-5-auth(用户权限管理)
| 编号 | 字段名 | 类型 | 长度 | 是否非空 | 是否主键 | 注释 |
| 1 | auth_id | int | 是 | 是 | 授权ID | |
| 2 | user_group | varchar | 64 | 否 | 否 | 用户组 |
| 3 | mod_name | varchar | 64 | 否 | 否 | 模块名 |
| 4 | table_name | varchar | 64 | 否 | 否 | 表名 |
| 5 | page_title | varchar | 255 | 否 | 否 | 页面标题 |
| 6 | path | varchar | 255 | 否 | 否 | 路由路径 |
| 7 | parent | varchar | 64 | 否 | 否 | 父级菜单 |
| 8 | parent_sort | int | 是 | 否 | 父级菜单排序 | |
| 9 | position | varchar | 32 | 否 | 否 | 位置 |
| 10 | mode | varchar | 32 | 是 | 否 | 跳转方式 |
| 11 | add | tinyint | 是 | 否 | 是否可增加 | |
| 12 | del | tinyint | 是 | 否 | 是否可删除 | |
| 13 | set | tinyint | 是 | 否 | 是否可修改 | |
| 14 | get | tinyint | 是 | 否 | 是否可查看 | |
| 15 | field_add | text | 65535 | 否 | 否 | 添加字段 |
| 16 | field_set | text | 65535 | 否 | 否 | 修改字段 |
| 17 | field_get | text | 65535 | 否 | 否 | 查询字段 |
| 18 | table_nav_name | varchar | 500 | 否 | 否 | 跨表导航名称 |
| 19 | table_nav | varchar | 500 | 否 | 否 | 跨表导航 |
| 20 | option | text | 65535 | 否 | 否 | 配置 |
| 21 | create_time | timestamp | 是 | 否 | 创建时间 | |
| 22 | update_time | timestamp | 是 | 否 | 更新时间 |
表 4-6-business_user(商家用户)
| 编号 | 字段名 | 类型 | 长度 | 是否非空 | 是否主键 | 注释 |
| 1 | business_user_id | int | 是 | 是 | 商家用户ID | |
| 2 | merchant_name | varchar | 64 | 否 | 否 | 商家名称 |
| 3 | contact_number | varchar | 16 | 否 | 否 | 联系号码 |
| 4 | business_address | varchar | 64 | 否 | 否 | 商家地址 |
| 5 | examine_state | varchar | 16 | 是 | 否 | 审核状态 |
| 6 | user_id | int | 是 | 否 | 用户ID | |
| 7 | create_time | datetime | 是 | 否 | 创建时间 | |
| 8 | update_time | timestamp | 是 | 否 | 更新时间 |
表 4-7-cart(购物车)
| 编号 | 字段名 | 类型 | 长度 | 是否非空 | 是否主键 | 注释 |
| 1 | cart_id | int | 是 | 是 | 购物车ID | |
| 2 | title | varchar | 64 | 否 | 否 | 标题 |
| 3 | img | varchar | 255 | 是 | 否 | 图片 |
| 4 | user_id | int | 是 | 否 | 用户ID | |
| 5 | create_time | timestamp | 是 | 否 | 创建时间 | |
| 6 | update_time | timestamp | 是 | 否 | 更新时间 | |
| 7 | state | int | 是 | 否 | 状态:使用中,已失效 | |
| 8 | price | double | 是 | 否 | 单价 | |
| 9 | price_ago | double | 是 | 否 | 原价 | |
| 10 | price_count | double | 是 | 否 | 总价 | |
| 11 | num | int | 是 | 否 | 数量 | |
| 12 | goods_id | mediumint | 是 | 是 | 商品id | |
| 13 | type | varchar | 64 | 是 | 否 | 商品分类 |
| 14 | description | varchar | 255 | 否 | 否 | 描述 |
表 4-8-code_token(验证码)
| 编号 | 字段名 | 类型 | 长度 | 是否非空 | 是否主键 | 注释 |
| 1 | code_token_id | int | 是 | 是 | 验证码ID | |
| 2 | token | varchar | 255 | 否 | 否 | 令牌 |
| 3 | code | varchar | 255 | 否 | 否 | 验证码 |
| 4 | expire_time | timestamp | 是 | 否 | 失效时间 | |
| 5 | create_time | timestamp | 是 | 否 | 创建时间 | |
| 6 | update_time | timestamp | 是 | 否 | 更新时间 |
表 4-9-collect(收藏)
| 编号 | 字段名 | 类型 | 长度 | 是否非空 | 是否主键 | 注释 |
| 1 | collect_id | int | 是 | 是 | 收藏ID | |
| 2 | user_id | int | 是 | 是 | 收藏人ID | |
| 3 | source_table | varchar | 255 | 否 | 否 | 来源表 |
| 4 | source_field | varchar | 255 | 否 | 否 | 来源字段 |
| 5 | source_id | int | 是 | 否 | 来源ID | |
| 6 | title | varchar | 255 | 否 | 否 | 标题 |
| 7 | img | varchar | 255 | 否 | 否 | 封面 |
| 8 | create_time | timestamp | 是 | 否 | 创建时间 | |
| 9 | update_time | timestamp | 是 | 否 | 更新时间 |
表 4-10-comment(评论)
| 编号 | 字段名 | 类型 | 长度 | 是否非空 | 是否主键 | 注释 |
| 1 | comment_id | int | 是 | 是 | 评论ID | |
| 2 | user_id | int | 是 | 是 | 评论人ID | |
| 3 | reply_to_id | int | 是 | 否 | 回复评论ID | |
| 4 | content | longtext | 4294967295 | 否 | 否 | 内容 |
| 5 | nickname | varchar | 255 | 否 | 否 | 昵称 |
| 6 | avatar | varchar | 255 | 否 | 否 | 头像地址 |
| 7 | create_time | timestamp | 是 | 否 | 创建时间 | |
| 8 | update_time | timestamp | 是 | 否 | 更新时间 | |
| 9 | source_table | varchar | 255 | 否 | 否 | 来源表 |
| 10 | source_field | varchar | 255 | 否 | 否 | 来源字段 |
| 11 | source_id | int | 是 | 否 | 来源ID |
表 4-11-comparison_of_unit_price(单价对比)
| 编号 | 字段名 | 类型 | 长度 | 是否非空 | 是否主键 | 注释 |
| 1 | comparison_of_unit_price_id | int | 是 | 是 | 单价对比ID | |
| 2 | picture | varchar | 255 | 否 | 否 | 图片 |
| 3 | unit_price_yuan | varchar | 64 | 否 | 否 | 单价(元) |
| 4 | sales_volume_kg | varchar | 64 | 否 | 否 | 销量(斤) |
| 5 | title | varchar | 64 | 否 | 否 | 标题 |
| 6 | shop_name | varchar | 64 | 否 | 否 | 店铺名 |
| 7 | origin | varchar | 64 | 否 | 否 | 产地 |
| 8 | resource_identifier | varchar | 64 | 否 | 否 | 资源标识符 |
| 9 | create_time | datetime | 是 | 否 | 创建时间 | |
| 10 | update_time | timestamp | 是 | 否 | 更新时间 |
表 4-12-consumer(消费者)
| 编号 | 字段名 | 类型 | 长度 | 是否非空 | 是否主键 | 注释 |
| 1 | consumer_id | int | 是 | 是 | 消费者ID | |
| 2 | user_name | varchar | 64 | 是 | 否 | 用户姓名 |
| 3 | mobile_phone_number | varchar | 16 | 是 | 否 | 手机号码 |
| 4 | examine_state | varchar | 16 | 是 | 否 | 审核状态 |
| 5 | user_id | int | 是 | 否 | 用户ID | |
| 6 | create_time | datetime | 是 | 否 | 创建时间 | |
| 7 | update_time | timestamp | 是 | 否 | 更新时间 |
表 4-13-goods(商品信息)
| 编号 | 字段名 | 类型 | 长度 | 是否非空 | 是否主键 | 注释 |
| 1 | goods_id | mediumint | 是 | 是 | 产品ID | |
| 2 | title | varchar | 125 | 否 | 否 | 标题 |
| 3 | img | text | 65535 | 否 | 否 | 封面图:用于显示于产品列表页 |
| 4 | description | varchar | 255 | 否 | 否 | 描述 |
| 5 | price_ago | double | 是 | 否 | 原价 | |
| 6 | price | double | 是 | 否 | 卖价 | |
| 7 | sales | int | 是 | 否 | 销量 | |
| 8 | inventory | int | 是 | 否 | 商品库存 | |
| 9 | type | varchar | 64 | 是 | 否 | 商品分类 |
| 10 | hits | int | 是 | 否 | 点击量 | |
| 11 | content | longtext | 4294967295 | 否 | 否 | 正文 |
| 12 | img_1 | text | 65535 | 否 | 否 | 主图1 |
| 13 | img_2 | text | 65535 | 否 | 否 | 主图2 |
| 14 | img_3 | text | 65535 | 否 | 否 | 主图3 |
| 15 | img_4 | text | 65535 | 否 | 否 | 主图4 |
| 16 | img_5 | text | 65535 | 否 | 否 | 主图5 |
| 17 | create_time | timestamp | 是 | 否 | 创建时间 | |
| 18 | update_time | timestamp | 是 | 否 | 更新时间 | |
| 19 | customize_field | text | 65535 | 否 | 否 | 自定义字段 |
| 20 | source_table | varchar | 255 | 否 | 否 | 来源表 |
| 21 | source_field | varchar | 255 | 否 | 否 | 来源字段 |
| 22 | source_id | int | 是 | 否 | 来源ID | |
| 23 | user_id | int | 否 | 否 | 添加人 |
表 4-14-goods_type(商品类型)
| 编号 | 字段名 | 类型 | 长度 | 是否非空 | 是否主键 | 注释 |
| 1 | type_id | int | 是 | 是 | 商品分类ID | |
| 2 | father_id | smallint | 是 | 否 | 上级分类ID | |
| 3 | name | varchar | 255 | 否 | 否 | 商品名称 |
| 4 | desc | varchar | 255 | 否 | 否 | 描述 |
| 5 | icon | varchar | 255 | 否 | 否 | 图标 |
| 6 | source_table | varchar | 255 | 否 | 否 | 来源表 |
| 7 | source_field | varchar | 255 | 否 | 否 | 来源字段 |
| 8 | create_time | timestamp | 是 | 否 | 创建时间 | |
| 9 | update_time | timestamp | 是 | 否 | 更新时间 |
表 4-15-hits(用户点击)
| 编号 | 字段名 | 类型 | 长度 | 是否非空 | 是否主键 | 注释 |
| 1 | hits_id | int | 是 | 是 | 点赞ID | |
| 2 | user_id | int | 是 | 否 | 点赞人 | |
| 3 | create_time | timestamp | 是 | 否 | 创建时间 | |
| 4 | update_time | timestamp | 是 | 否 | 更新时间 | |
| 5 | source_table | varchar | 255 | 否 | 否 | 来源表 |
| 6 | source_field | varchar | 255 | 否 | 否 | 来源字段 |
| 7 | source_id | int | 是 | 否 | 来源ID |
表 4-16-logistics_delivery(物流配送)
| 编号 | 字段名 | 类型 | 长度 | 是否非空 | 是否主键 | 注释 |
| 1 | logistics_delivery_id | int | 是 | 是 | 物流配送ID | |
| 2 | order_number | varchar | 64 | 否 | 否 | 订单号 |
| 3 | product_name | varchar | 64 | 否 | 否 | 商品名称 |
| 4 | purchase_quantity | varchar | 64 | 否 | 否 | 购买数量 |
| 5 | total_transaction_amount | double | 否 | 否 | 交易总额 | |
| 6 | the_date_of_issuance | date | 否 | 否 | 发货日期 | |
| 7 | delivery_number | varchar | 30 | 否 | 否 | 配送订单 |
| 8 | ordinary_users | int | 否 | 否 | 普通用户 | |
| 9 | shipping_address | varchar | 64 | 否 | 否 | 收货地址 |
| 10 | delivery_status | varchar | 64 | 否 | 否 | 配送状态 |
| 11 | signing_status | varchar | 64 | 否 | 否 | 签收状态 |
| 12 | recommend | int | 是 | 否 | 智能推荐 | |
| 13 | contact_name | varchar | 255 | 否 | 否 | 联系人名字 |
| 14 | merchant_id | int | 否 | 否 | 商家id | |
| 15 | create_time | datetime | 是 | 否 | 创建时间 | |
| 16 | update_time | timestamp | 是 | 否 | 更新时间 |
表 4-17-notice(公告)
| 编号 | 字段名 | 类型 | 长度 | 是否非空 | 是否主键 | 注释 |
| 1 | notice_id | mediumint | 是 | 是 | 公告ID | |
| 2 | title | varchar | 125 | 是 | 否 | 标题 |
| 3 | content | longtext | 4294967295 | 否 | 否 | 正文 |
| 4 | create_time | timestamp | 是 | 否 | 创建时间 | |
| 5 | update_time | timestamp | 是 | 否 | 更新时间 |
表 4-18-order(订单)
| 编号 | 字段名 | 类型 | 长度 | 是否非空 | 是否主键 | 注释 |
| 1 | order_id | int | 是 | 是 | 订单ID | |
| 2 | order_number | varchar | 64 | 否 | 否 | 订单号 |
| 3 | goods_id | mediumint | 是 | 是 | 商品ID | |
| 4 | title | varchar | 255 | 否 | 否 | 商品标题 |
| 5 | img | varchar | 255 | 否 | 否 | 商品图片 |
| 6 | price | double | 是 | 否 | 价格 | |
| 7 | price_ago | double | 是 | 否 | 原价 | |
| 8 | num | int | 是 | 否 | 数量 | |
| 9 | price_count | double | 是 | 否 | 总价 | |
| 10 | norms | varchar | 255 | 否 | 否 | 规格 |
| 11 | type | varchar | 64 | 是 | 否 | 商品分类 |
| 12 | contact_name | varchar | 32 | 否 | 否 | 联系人姓名 |
| 13 | contact_email | varchar | 125 | 否 | 否 | 联系人邮箱 |
| 14 | contact_phone | varchar | 11 | 否 | 否 | 联系人手机 |
| 15 | contact_address | varchar | 255 | 否 | 否 | 收件地址 |
| 16 | postal_code | varchar | 9 | 否 | 否 | 邮政编码 |
| 17 | user_id | int | 是 | 否 | 买家ID | |
| 18 | merchant_id | mediumint | 是 | 否 | 商家ID | |
| 19 | create_time | timestamp | 是 | 否 | 创建时间 | |
| 20 | update_time | timestamp | 是 | 否 | 更新时间 | |
| 21 | description | varchar | 255 | 否 | 否 | 描述 |
| 22 | state | varchar | 16 | 是 | 否 | 订单状态:待付款,待发货,待签收,已签收,待退款,已退款,已拒绝,已完成 |
| 23 | remark | text | 65535 | 否 | 否 | 订单备注 |
| 24 | delivery_state | varchar | 16 | 否 | 否 | 发货状态:未配送,已配送 |
| 25 | vip_discount | double | 否 | 否 | 折扣 |
表 4-19-praise(点赞)
| 编号 | 字段名 | 类型 | 长度 | 是否非空 | 是否主键 | 注释 |
| 1 | praise_id | int | 是 | 是 | 点赞ID | |
| 2 | user_id | int | 是 | 是 | 点赞人 | |
| 3 | create_time | timestamp | 是 | 否 | 创建时间 | |
| 4 | update_time | timestamp | 是 | 否 | 更新时间 | |
| 5 | source_table | varchar | 255 | 否 | 否 | 来源表 |
| 6 | source_field | varchar | 255 | 否 | 否 | 来源字段 |
| 7 | source_id | int | 是 | 否 | 来源ID | |
| 8 | status | tinyint | 是 | 否 | 点赞状态:1为点赞,0已取消 |
表 4-20-product_information(产品信息)
| 编号 | 字段名 | 类型 | 长度 | 是否非空 | 是否主键 | 注释 |
| 1 | product_information_id | int | 是 | 是 | 产品信息ID | |
| 2 | product_specifications | varchar | 64 | 否 | 否 | 产品规格 |
| 3 | product_source | varchar | 64 | 否 | 否 | 产品来源 |
| 4 | business_user | int | 否 | 否 | 商家用户 | |
| 5 | merchant_name | varchar | 64 | 否 | 否 | 商家名称 |
| 6 | contact_number | varchar | 16 | 否 | 否 | 联系号码 |
| 7 | business_address | varchar | 64 | 否 | 否 | 商家地址 |
| 8 | hits | int | 是 | 否 | 点击数 | |
| 9 | collect_len | int | 是 | 否 | 收藏数 | |
| 10 | comment_len | int | 是 | 否 | 评论数 | |
| 11 | recommend | int | 是 | 否 | 智能推荐 | |
| 12 | cart_title | varchar | 125 | 否 | 否 | 标题 |
| 13 | cart_img | text | 65535 | 否 | 否 | 封面图 |
| 14 | cart_description | varchar | 255 | 否 | 否 | 描述 |
| 15 | cart_price_ago | double | 是 | 否 | 原价 | |
| 16 | cart_price | double | 是 | 否 | 卖价 | |
| 17 | cart_inventory | int | 是 | 否 | 商品库存 | |
| 18 | cart_type | varchar | 64 | 是 | 否 | 商品分类 |
| 19 | cart_content | longtext | 4294967295 | 否 | 否 | 正文 |
| 20 | cart_img_1 | text | 65535 | 否 | 否 | 主图1 |
| 21 | cart_img_2 | text | 65535 | 否 | 否 | 主图2 |
| 22 | cart_img_3 | text | 65535 | 否 | 否 | 主图3 |
| 23 | cart_img_4 | text | 65535 | 否 | 否 | 主图4 |
| 24 | cart_img_5 | text | 65535 | 否 | 否 | 主图5 |
| 25 | create_time | datetime | 是 | 否 | 创建时间 | |
| 26 | update_time | timestamp | 是 | 否 | 更新时间 |
表 4-21-product_presale(产品预售)
| 编号 | 字段名 | 类型 | 长度 | 是否非空 | 是否主键 | 注释 |
| 1 | product_presale_id | int | 是 | 是 | 产品预售ID | |
| 2 | picture | varchar | 255 | 否 | 否 | 图片 |
| 3 | unit_price_yuan | varchar | 64 | 否 | 否 | 单价(元) |
| 4 | sales_volume_kg | varchar | 64 | 否 | 否 | 销量(斤) |
| 5 | title | varchar | 64 | 否 | 否 | 标题 |
| 6 | shop_name | varchar | 64 | 否 | 否 | 店铺名 |
| 7 | origin | varchar | 64 | 否 | 否 | 产地 |
| 8 | resource_identifier | varchar | 64 | 否 | 否 | 资源标识符 |
| 9 | hits | int | 是 | 否 | 点击数 | |
| 10 | praise_len | int | 是 | 否 | 点赞数 | |
| 11 | collect_len | int | 是 | 否 | 收藏数 | |
| 12 | comment_len | int | 是 | 否 | 评论数 | |
| 13 | recommend | int | 是 | 否 | 智能推荐 | |
| 14 | create_time | datetime | 是 | 否 | 创建时间 | |
| 15 | update_time | timestamp | 是 | 否 | 更新时间 |
表 4-22-proportion_of_origin(产地占比)
| 编号 | 字段名 | 类型 | 长度 | 是否非空 | 是否主键 | 注释 |
| 1 | proportion_of_origin_id | int | 是 | 是 | 产地占比ID | |
| 2 | picture | varchar | 255 | 否 | 否 | 图片 |
| 3 | unit_price_yuan | varchar | 64 | 否 | 否 | 单价(元) |
| 4 | sales_volume_kg | varchar | 64 | 否 | 否 | 销量(斤) |
| 5 | title | varchar | 64 | 否 | 否 | 标题 |
| 6 | shop_name | varchar | 64 | 否 | 否 | 店铺名 |
| 7 | origin | varchar | 64 | 否 | 否 | 产地 |
| 8 | resource_identifier | varchar | 64 | 否 | 否 | 资源标识符 |
| 9 | create_time | datetime | 是 | 否 | 创建时间 | |
| 10 | update_time | timestamp | 是 | 否 | 更新时间 |
表 4-23-shops_proportion(店铺占比)
| 编号 | 字段名 | 类型 | 长度 | 是否非空 | 是否主键 | 注释 |
| 1 | shops_proportion_id | int | 是 | 是 | 店铺占比ID | |
| 2 | picture | varchar | 255 | 否 | 否 | 图片 |
| 3 | unit_price_yuan | varchar | 64 | 否 | 否 | 单价(元) |
| 4 | sales_volume_kg | varchar | 64 | 否 | 否 | 销量(斤) |
| 5 | title | varchar | 64 | 否 | 否 | 标题 |
| 6 | shop_name | varchar | 64 | 否 | 否 | 店铺名 |
| 7 | origin | varchar | 64 | 否 | 否 | 产地 |
| 8 | resource_identifier | varchar | 64 | 否 | 否 | 资源标识符 |
| 9 | create_time | datetime | 是 | 否 | 创建时间 | |
| 10 | update_time | timestamp | 是 | 否 | 更新时间 |
表 4-24-slides(轮播图)
| 编号 | 字段名 | 类型 | 长度 | 是否非空 | 是否主键 | 注释 |
| 1 | slides_id | int | 是 | 是 | 轮播图ID | |
| 2 | title | varchar | 64 | 否 | 否 | 标题 |
| 3 | content | varchar | 255 | 否 | 否 | 内容 |
| 4 | url | varchar | 255 | 否 | 否 | 链接 |
| 5 | img | varchar | 255 | 否 | 否 | 轮播图 |
| 6 | hits | int | 是 | 否 | 点击量 | |
| 7 | create_time | timestamp | 是 | 否 | 创建时间 | |
| 8 | update_time | timestamp | 是 | 否 | 更新时间 |
表 4-25-upload(文件上传)
| 编号 | 字段名 | 类型 | 长度 | 是否非空 | 是否主键 | 注释 |
| 1 | upload_id | int | 是 | 是 | 上传ID | |
| 2 | name | varchar | 64 | 否 | 否 | 文件名 |
| 3 | path | varchar | 255 | 否 | 否 | 访问路径 |
| 4 | file | varchar | 255 | 否 | 否 | 文件路径 |
| 5 | display | varchar | 255 | 否 | 否 | 显示顺序 |
| 6 | father_id | int | 否 | 否 | 父级ID | |
| 7 | dir | varchar | 255 | 否 | 否 | 文件夹 |
| 8 | type | varchar | 32 | 否 | 否 | 文件类型 |
表 4-26-user(用户账户)
| 编号 | 字段名 | 类型 | 长度 | 是否非空 | 是否主键 | 注释 |
| 1 | user_id | int | 是 | 是 | 用户ID | |
| 2 | state | smallint | 是 | 否 | 账户状态:(1可用|2异常|3已冻结|4已注销) | |
| 3 | user_group | varchar | 32 | 否 | 否 | 所在用户组 |
| 4 | login_time | timestamp | 是 | 否 | 上次登录时间 | |
| 5 | phone | varchar | 11 | 否 | 否 | 手机号码 |
| 6 | phone_state | smallint | 是 | 否 | 手机认证:(0未认证|1审核中|2已认证) | |
| 7 | username | varchar | 16 | 是 | 否 | 用户名 |
| 8 | nickname | varchar | 16 | 否 | 否 | 昵称 |
| 9 | password | varchar | 64 | 是 | 否 | 密码 |
| 10 | | varchar | 64 | 否 | 否 | 邮箱 |
| 11 | email_state | smallint | 是 | 否 | 邮箱认证:(0未认证|1审核中|2已认证) | |
| 12 | avatar | varchar | 255 | 否 | 否 | 头像地址 |
| 13 | open_id | varchar | 255 | 否 | 否 | 针对获取用户信息字段 |
| 14 | create_time | timestamp | 是 | 否 | 创建时间 |
表 4-27-user_group(用户组)
| 编号 | 字段名 | 类型 | 长度 | 是否非空 | 是否主键 | 注释 |
| 1 | group_id | mediumint | 是 | 是 | 用户组ID | |
| 2 | display | smallint | 是 | 否 | 显示顺序 | |
| 3 | name | varchar | 16 | 是 | 否 | 名称 |
| 4 | description | varchar | 255 | 否 | 否 | 描述 |
| 5 | source_table | varchar | 255 | 否 | 否 | 来源表 |
| 6 | source_field | varchar | 255 | 否 | 否 | 来源字段 |
| 7 | source_id | int | 是 | 否 | 来源ID | |
| 8 | register | smallint | 否 | 否 | 注册位置 | |
| 9 | create_time | timestamp | 是 | 否 | 创建时间 | |
| 10 | update_time | timestamp | 是 | 否 | 更新时间 |
第5章 系统实现
5.1.1用户注册
用户注册:输入账号、设置密码、确认密码、昵称、邮箱、选择用户身份、用户姓名、用户性别、联系电话等用户个人信息,点击注册按钮进行注册,用户注册界面如下图所示。
图5-1用户注册界面图
5.1.2用户登录
为确保系统安全性,系统操作员只有在登录界面输入正确的用户名、密码、权限以及验证码,单击“登录”按钮后才能够进入本系统的主界面。登录界面如下图所示。
图5-2登录界面
登录代码如下:
/**
*
* @param data
* @param httpServletRequest
* @return
*/
@PostMapping("login")
public Map<String, Object> login(@RequestBody Map<String, String> data, HttpServletRequest httpServletRequest) {
log.info("[执行登录接口]");
String username = data.get("username");
String email = data.get("email");
String phone = data.get("phone");
String password = data.get("password");
List resultList = null;
Map<String, String> map = new HashMap<>();
if(username != null && "".equals(username) == false){
map.put("username", username);
resultList = service.selectBaseList(service.select(map, new HashMap<>()));
}
else if(email != null && "".equals(email) == false){
map.put("email", email);
resultList = service.selectBaseList(service.select(map, new HashMap<>()));
}
else if(phone != null && "".equals(phone) == false){
map.put("phone", phone);
resultList = service.selectBaseList(service.select(map, new HashMap<>()));
}else{
return error(30000, "账号或密码不能为空");
}
if (resultList == null || password == null) {
return error(30000, "账号或密码不能为空");
}
//判断是否有这个用户
if (resultList.size()<=0){
return error(30000,"用户不存在");
}
User byUsername = (User) resultList.get(0);
Map<String, String> groupMap = new HashMap<>();
groupMap.put("name",byUsername.getUserGroup());
List groupList = userGroupService.selectBaseList(userGroupService.select(groupMap, new HashMap<>()));
if (groupList.size()<1){
return error(30000,"用户组不存在");
}
UserGroup userGroup = (UserGroup) groupList.get(0);
//查询用户审核状态
if (!StringUtils.isEmpty(userGroup.getSourceTable())){
String res = service.selectExamineState(userGroup.getSourceTable(),byUsername.getUserId());
if (res==null){
return error(30000,"用户不存在");
}
if (!res.equals("已通过")){
return error(30000,"该用户审核未通过");
}
}
//查询用户状态
if (byUsername.getState()!=1){
return error(30000,"用户非可用状态,不能登录");
}
String md5password = service.encryption(password);
if (byUsername.getPassword().equals(md5password)) {
// 存储Token到数据库
AccessToken accessToken = new AccessToken();
accessToken.setToken(UUID.randomUUID().toString().replaceAll("-", ""));
accessToken.setUser_id(byUsername.getUserId());
Duration duration = Duration.ofSeconds(7200L);
redisTemplate.opsForValue().set(accessToken.getToken(), accessToken,duration);
// 返回用户信息
JSONObject user = JSONObject.parseObject(JSONObject.toJSONString(byUsername));
user.put("token", accessToken.getToken());
JSONObject ret = new JSONObject();
ret.put("obj",user);
return success(ret);
} else {
return error(30000, "账号或密码不正确");
}
}
5.1.3产品信息
支持多维度查询与浏览,包括分类筛选、价格排序、产地过滤等。每个商品包含详细介绍、图片、评价等,方便用户了解商品详情。界面展示如下图所示。
图5-3产品信息界面
5.1.4商城管理
商城管理模块为消费者提供完整的购物流程支持,包括购物车、订单与地址管理等功能。“我的购物车”用于临时存放已选商品,支持商品数量调整、删除及统一结算操作,方便用户集中处理购买行为;“我的订单”记录全部交易信息,用户可随时查询订单状态、查看详情并申请售后服务,保障交易透明与售后便利;“我的地址”则支持多地址管理功能,可进行新增、修改、删除及默认地址设置,提升收货过程的灵活性与效率。界面如下图所示。
图5-4商城管理界面
5.1.5产品预售
产品预售功能面向具有周期性或季节性的农产品,提供提前预定服务,消费者可在商品上架前进行下单,保障货源充足并满足计划性采购需求。系统融合K-means聚类矩阵算法,对用户历史行为、偏好特征与商品属性进行聚类分析,根据相似消费群体的数据模式进行个性化推荐,提升预售商品的匹配度与用户选购效率。界面如下图所示。
图5-5产品预售界面
5.2.1后台首页统计
在商家用户后台,可直观查看多项销售数据统计,包括单价对比、店铺占比、产地占比等关键指标。系统通过图表形式展示各类统计信息,帮助商家掌握自身产品在同类市场中的价格位置,了解不同店铺及产地的销售占比,便于进行价格调整、供货优化与市场定位分析,从而提升经营策略的科学性与销售决策的准确性。界面如下图所示。
图5-6后台首页统计界面图
5.2.2商城管理
商家用户可通过后台对产品信息进行全面管理,包括商品的上架、编辑、库存数量调整及价格设定,确保销售内容及时更新与准确呈现;分类列表功能支持自定义商品分类,便于优化展示结构与提升搜索效率;订单列表模块可实时查看用户订单信息,处理订单状态与交易详情;订单配送功能用于填写物流信息、更新配送进度,保障发货流程顺畅,实现订单处理的完整闭环。界面如下图所示。
图5-7产品信息界面图
图5-8订单列表界面图
5.3.1系统用户
系统用户主要是对新用户的添加和旧用户的删除。新用户的添加主要是指添加用户名称并确定其密码;旧用户的删除也是从下拉菜单中找到对应的用户名称将其删除。不论是新用户添加还是旧用户的删除,这个权限只有管理员具有。系统用户界面如下图所示。
图5-9系统用户界面
5.3.2产品预售管理
用于配置各类农产品的预售计划,管理员可设定预售时间、数量及发布状态。系统结合K-means聚类矩阵算法,对历史预售数据与用户预订行为进行聚类分析,辅助判断高需求产品与潜在热门品类,优化预售资源分配。界面如下图所示。
图5-10产品预售管理界面
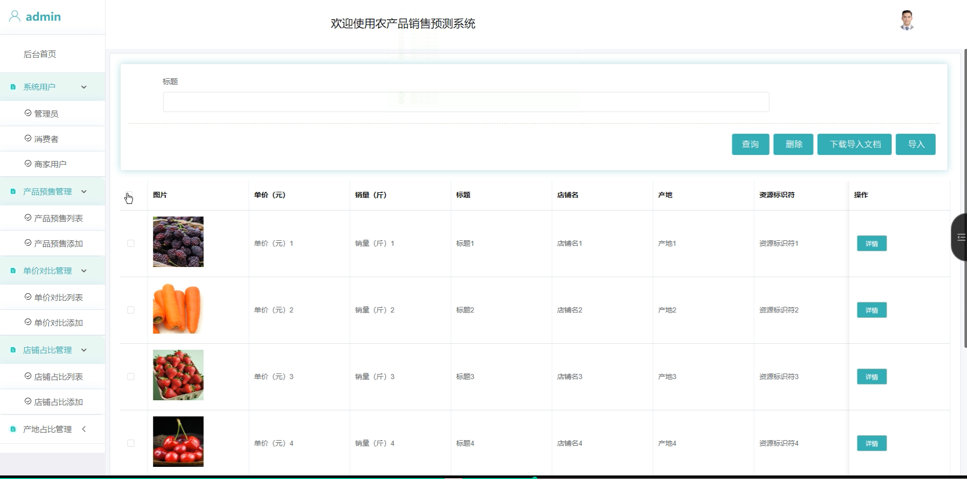
5.3.3单价对比管理
对不同商品在平台内外的销售价格进行横向对比,展示价格走势与波动情况。系统可基于聚类结果对相似商品进行价格归类,提升比价分析的针对性和效率。界面如下图所示。
图5-11单价对比管理界面
5.3.4店铺占比管理
统计各商家在平台总销售中的比例,帮助平台运营方识别头部商家与发展潜力商户,优化平台资源配置策略。店铺占比管理界面如下图所示。
图5-12店铺占比管理界面
5.3.5资源管理
管理员在资源管理页面查看所有把新闻资讯文章,支持新增、编辑和删除操作。点击“新增”填写标题、内容并上传图片,选择分类后发布。可批量删除过期文章。界面如下图所示。
图5-13资源管理界面
资源管理代码如下:
@PostMapping("/add")
@Transactional
public Map<String, Object> add(HttpServletRequest request) throws IOException {
service.insert(service.readBody(request.getReader()));
return success(1);
}
public Map<String, Object> addMap(Map<String,Object> map){
service.insert(map);
return success(1);
}
5.3.6轮播图
管理员点击“轮播图管理”这一菜单,可以管理系统首页的轮播图信息,提供系统宣传和通知功能。界面如下图所示。
图5-14轮播图界面
图片/文件/视频等的上传方法通过MultipartFile,代码如下:
@PostMapping("/upload")
public Map<String, Object> upload(@RequestParam("file") MultipartFile file) {
log.info("进入方法");
if (file.isEmpty()) {
return error(30000, "没有选择文件");
}
try {
//判断有没路径,没有则创建
String filePath = System.getProperty("user.dir") + "/src/main/resources/static/";
File targetDir = new File(filePath);
if (!targetDir.exists() && !targetDir.isDirectory()) {
if (targetDir.mkdirs()) {
log.info("创建目录成功");
} else {
log.error("创建目录失败");
}
}
String fileName = file.getOriginalFilename();
File dest = new File(filePath + fileName);
log.info("文件路径:{}", dest.getPath());
log.info("文件名:{}", dest.getName());
file.transferTo(dest);
JSONObject jsonObject = new JSONObject();
jsonObject.put("url", "/api/upload/" + fileName);
return success(jsonObject);
} catch (IOException e) {
log.info("上传失败:{}", e.getMessage());
}
return error(30000, "上传失败");
}
5.3.7公告消息
管理员点击“公告消息”这一菜单,可以发布、删除或编辑公告消息,并可以对公告消息进行分类管理。如下图所示。
图5-15公告消息界面
第6章 系统测试
6.1 测试目的
测试的主要目的是确保系统的功能和性能满足预期的需求,同时识别和修复潜在的缺陷。通过系统测试,可以验证各个功能模块的正确性和稳定性,确保系统在不同使用场景下的表现符合设计要求。测试目的包括确认系统功能的完整性、验证数据处理的准确性、评估系统的性能和安全性。测试还可以提高用户满意度,保证用户在使用系统时获得流畅和可靠的体验。通过全面的测试,可以降低后期维护成本,减少系统上线后出现故障的风险,从而保障系统的长期稳定运行。
6.2测试方法
在本系统中,测试方法主要依赖于测试用例的设计与执行。测试用例是根据系统需求文档编写的,覆盖所有功能模块及其边界情况。每个测试用例包含输入数据、预期结果和实际结果的对比,以验证系统的功能是否按预期工作。
常见的测试用例包括功能测试用例、边界测试用例和异常测试用例[10]。功能测试用例针对系统的各项功能进行验证;边界测试用例则侧重于输入数据的边界条件,验证系统在极端情况下是否能够稳定运行;异常测试用例则用于验证系统在处理错误输入或异常情况时的反应。本文选择功能测试用例进行系统测试。
在测试执行过程中,记录每个用例的执行结果,并根据实际结果与预期结果的对比,判断系统是否存在缺陷。通过系统化的测试用例执行,可以有效提高测试的覆盖率和效率,为系统的最终上线提供保障。
6.3测试用例
6.3.1创建数据测试
在系统中,创建功能也是基础功能之一,因此创建功能的测试很有代表性。在此章节主要列举在创建时各种情况下系统结果的测试。由于系统涉及创建功能操作过多,因此将多处统称创建功能。
创建数据用例如下表所示。
表6-1 创建数据测试用例
| 测试用例编号 | YL_01 | |
| 测试用例名称 | 系统使用者进行创建数据 | |
| 测试用例描述 | 使用者输入要创建的数据 | |
| 系统入口 | 浏览器 | |
| 步骤 | 预期结果 | 实际结果 |
| 输入完整并且格式正确的数据 | 提示“创建成功”,并显示所有数据 | 预期结果 |
| 核心位置数据但非必要位置不输入数据 | 提示“创建成功”,并显示所有数据 | 预期结果 |
| 核心数据位置不输入数据 | 提示“创建失败” | 预期结果 |
6.3.2修改数据测试
在系统中,修改功能是系统主要实现功能,因此修改功能的测试很有代表性。在此章节主要列举在修改时各种情况下系统结果的测试。由于系统涉及修改功能操作过多,因此将多处数据表记录修改和状态修改统称修改功能。
修改数据用例如下表所示。
表6-2 修改数据测试用例
| 测试用例编号 | YL_02 | |
| 测试用例名称 | 系统使用者进行修改数据 | |
| 测试用例描述 | 使用者对可修改的数据项进行修改 | |
| 系统入口 | 浏览器 | |
| 步骤 | 预期结果 | 实际结果 |
| 将现有数据修改成正确的数据 | 提示“修改成功”,并显示所有数据 | 预期结果 |
| 将现有数据修改成错误的数据 | 提示“修改失败” | 预期结果 |
6.3.3查询数据测试
在系统中,查询功能是使用系统使用最多也是最基础的功能,因此查询功能的测试很有代表性。在此章节主要列举在查询时各种情况下系统结果的测试。
查询数据用例如下表所示。
表6-3 查询数据测试用例
| 测试用例编号 | YL_03 | |
| 测试用例名称 | 系统使用者进行查询数据 | |
| 测试用例描述 | 全部查询以及输入关键词查询 | |
| 系统入口 | 浏览器 | |
| 步骤 | 预期结果 | 实际结果 |
| 界面自动查询全部 | 显示对应所有记录 | 预期结果 |
| 输入已存在且能匹配成功的关键字 | 显示所查询到的数据 | 预期结果 |
| 输入不存在的关键字 | 显示数据界面为空 | 预期结果 |
6.4测试结果
在本次测试的过程主要针对所有功能下的添加操作,修改操作和删除操作,并以真实数据一一进行相关功能项目的输入,最终能够保证每个项目涉及的功能都是能够正常运行,因此能够保证本次设计的,已实现的功能能够正常运行并且相关数据库的信息也同样保证正确。
第7章 总结
本文基于Hadoop框架设计并实现了一个农产品销售预测系统,旨在为农业电商平台提供高效的销售数据分析与管理工具。系统通过对农产品交易数据的整合与建模,辅助实现市场趋势分析、供需结构优化及个性化商品推荐,提升平台运营效率与用户服务质量。
在技术实现方面,系统充分发挥了Hadoop在分布式计算方面的处理优势,支持大规模销售数据的并行处理与聚合分析。后端采用MySQL数据库进行数据持久化存储,保障了数据管理的结构性与查询效率。通过实时数据更新机制,系统可动态反映市场变化,支持平台在销售高峰期和区域波动中的快速响应。
系统平台根据角色权限划分,设计了管理员、商家用户与消费者三类使用界面。管理员可通过后台首页查看系统概况,并对系统用户、产品预售、价格对比、店铺与产地占比、轮播图内容、公告信息、资讯资源及商城模块进行全面管理,确保平台运营的稳定性与数据的有序性。商家用户端支持商品上架、分类管理、订单处理与物流配送等功能,帮助商家实现商品全流程管理。消费者端功能涵盖首页浏览、公告与资讯查看、产品检索、购物下单、预售参与、账户维护及个人中心互动等,全面支持其购买行为与使用体验。
在销售数据分析方面,系统引入K-means聚类矩阵算法,对消费者行为、产品属性与交易记录进行聚类处理,形成精准的用户画像与商品分类,从而实现个性化推荐与供需结构优化。聚类结果还用于辅助单价对比、产地占比等模块的数据分析,提高图表展示的精度与决策参考价值。
系统开发过程中,也面临了如数据实时处理能力、多源数据整合与系统稳定性优化等问题。未来建设可从引入更多数据维度、优化聚类算法性能、加强用户交互体验等方面着手,持续提升系统的智能化水平与实用价值。
本文提出的基于Hadoop与聚类算法的农产品销售预测系统,在提升农产品市场分析能力、优化销售流程、增强用户服务体验等方面展现出良好的应用前景与行业推广价值。
致 谢
经历了几个月的毕业设计之旅,遭遇了无数难题与挑战,几经波折后,近乎要摧毁我当初选择这个题目的信心。好在我的导师一直坚持对我悉心支持,并对此套系统提出了诸多改善意见,解决了我所遇到的众多难题,系统也得以在这样的境况下圆满完成。老师给予了我正确的指导和极大的帮助,这不仅仅使我获得了足够多的开发经验,更使我在系统设计过程中少走了许多的弯路,巩固了以前所学的知识,提高了应用能力,这使我对以后的工作也信心满满。
敬业的工作态度都给予了我极大的鼓励与帮助。对于提出的问题和遇到的困难都给予细心的解答和真诚的帮助,再次表示衷心的感谢。我还要对学院及系里的各位领导、老师们表示谢意,在这次毕业论文期间给我们提供了良好的学习和生活环境,并给予软硬件的支持,使得我的系统设计工作及论文撰写工作更加顺畅、便利。最后我还要感谢所有为我的毕业设计提出指导意见的各位老师、同学。
参考文献
- 张立辉.Hadoop大数据集群部署及数据存储项目化教程[M].化学工业出版社:202403.225.
- 周宪章,彭阳.Hadoop大数据技术原理与应用[M].重庆大学出版社:202305.205.
- 刘江涛,王亮亮,吴庆茹,等.基于B/S模式的铁路勘测设计案例信息化管理系统设计与实现[J].铁路计算机应用,2021,30(03):32-35.
- 张丹丹,李弘.基于B/S架构的办公管理系统设计与开发[J].铁路通信信号工程技术,2024,21(09):44-48+106.
- 李艳杰.MySQL数据库下存储过程的综合运用研究[J].现代信息科技,2023,7(11):80-82+88.
- 池瑞楠,张良均.Python网络爬虫技术[M].人民邮电出版社:202310.389.
- 纪娜,张笑.网络爬虫开发[M].上海交通大学出版社:202311.288.
- 周晓玉,崔文超.基于Web技术的数据库应用系统设计[J].信息与电脑(理论版),2023,35(09):189-191.
- 马艳艳,吴晓光.计算机软件与数据库的设计策略分析[J].电子技术,2024,53(05):104-105.
- 李俊萌.计算机软件测试技术与开发应用策略分析[J].信息记录材料,2023,24(03):50-52.
- Liang J .Teaching Reform and Exploration of Python Programming Course Based on Knowledge Graph[J].Journal of Educational Research and Policies,2025,7(1):24-29.
- Wang S ,Deng C ,Zhu J .Exploration of the Application of Flipped Classroom in Computer Programming Python Language[J].Journal of Intelligence and Knowledge Engineering,2024,2(4):
- Lei L .A Probe Into the Mixed Teaching Reform of Python Language Programming[J].Journal of Electronic Research and Application,2024,8(6):66-71.
- 彭正锋.基于微信小程序的社区生鲜农产品销售平台的设计与实现[D].云南农业大学,2024.DOI:10.27458/d.cnki.gynyu.2024.000722.
- 张菁,石天恩,李秋,等.基于大数据分析的农产品销售预测系统设计与实现[J].辽宁师范大学学报(自然科学版),2024,47(01):50-58.
- 唐逢胤.基于语义分析的农产品信息汇聚系统设计与实现[D].重庆三峡学院,2024.DOI:10.27883/d.cnki.gcqsx.2024.000391.
- 范斐斐,何子怡,张越,等.基于PHP的农产品销售系统的设计与实现[J].无线互联科技,2023,20(08):91-94.
- 王慧.宁夏特色农产品销售系统设计与实现[J].软件,2023,44(03):150-153.
- 陈瑞瑞.基于关联规则Apriori算法的农产品销售管理系统设计[J].信息与电脑(理论版),2022,34(10):94-96.
- 邓林.基于Java的农产品销售系统的研究与设计[J].电脑知识与技术,2022,18(12):43-45.DOI:10.14004/j.cnki.ckt.2022.0625.
点赞+收藏+关注博主,私信领取本源代码+数据库
765

被折叠的 条评论
为什么被折叠?



