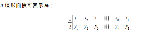
计算几何水题,利用了测量师公式。
就是这个神奇的东西:
改革春风吹满地
Time Limit: 2000/1000 MS (Java/Others) Memory Limit: 65536/32768 K (Java/Others)
Total Submission(s): 23424 Accepted Submission(s): 12134
Problem Description
“ 改革春风吹满地,
不会AC没关系;
实在不行回老家,
还有一亩三分地。
谢谢!(乐队奏乐)”
话说部分学生心态极好,每天就知道游戏,这次考试如此简单的题目,也是云里雾里,而且,还竟然来这么几句打油诗。
好呀,老师的责任就是帮你解决问题,既然想种田,那就分你一块。
这块田位于浙江省温州市苍南县灵溪镇林家铺子村,多边形形状的一块地,原本是linle 的,现在就准备送给你了。不过,任何事情都没有那么简单,你必须首先告诉我这块地到底有多少面积,如果回答正确才能真正得到这块地。
发愁了吧?就是要让你知道,种地也是需要AC知识的!以后还是好好练吧…
Input
输入数据包含多个测试实例,每个测试实例占一行,每行的开始是一个整数n(3<=n<=100),它表示多边形的边数(当然也是顶点数),然后是按照逆时针顺序给出的n个顶点的坐标(x1, y1, x2, y2… xn, yn),为了简化问题,这里的所有坐标都用整数表示。
输入数据中所有的整数都在32位整数范围内,n=0表示数据的结束,不做处理。
Output
对于每个测试实例,请输出对应的多边形面积,结果精确到小数点后一位小数。
每个实例的输出占一行。
Sample Input
3 0 0 1 0 0 1
4 1 0 0 1 -1 0 0 -1
0
Sample Output
0.5
2.0
Author
lcy
// ConsoleApplication1.cpp: 主项目文件。
#include "iostream"
#include "cstring"
#include "string.h"
#include "cstdio"
using namespace std;
struct node
{
int x;
int y;
};
int main()
{
int nedge;
while (scanf("%d", &nedge) != EOF)
{
if (nedge == 0)
return 0;
node point[200];
for (int i = 1; i <= nedge; i++)
{
scanf("%d%d", &point[i].x, &point[i].y);
}
double sum = 0;
for (int i = 1; i <= nedge - 1; i++)
{
sum += point[i].x*point[i + 1].y;
}
sum += point[nedge].x*point[1].y;
for (int i = 2; i <= nedge; i++)
{
sum =sum - point[i].x*point[i - 1].y;
}
sum =sum- point[1].x*point[nedge].y;
printf("%.1llf\n", sum / 2);
}
}
这篇博客介绍了一个计算几何的挑战性问题,即使用测量师公式计算多边形面积。通过提供示例输入和输出,以及详细解释算法过程,帮助读者理解并解决此类问题。代码示例展示了如何将理论应用于实践。
7805

被折叠的 条评论
为什么被折叠?



