Given the root of a binary search tree and the lowest and highest boundaries as low and high, trim the tree so that all its elements lies in [low, high]. Trimming the tree should not change the relative structure of the elements that will remain in the tree (i.e., any node's descendant should remain a descendant). It can be proven that there is a unique answer.
Return the root of the trimmed binary search tree. Note that the root may change depending on the given bounds.
Example 1:

Input: root = [1,0,2], low = 1, high = 2 Output: [1,null,2]
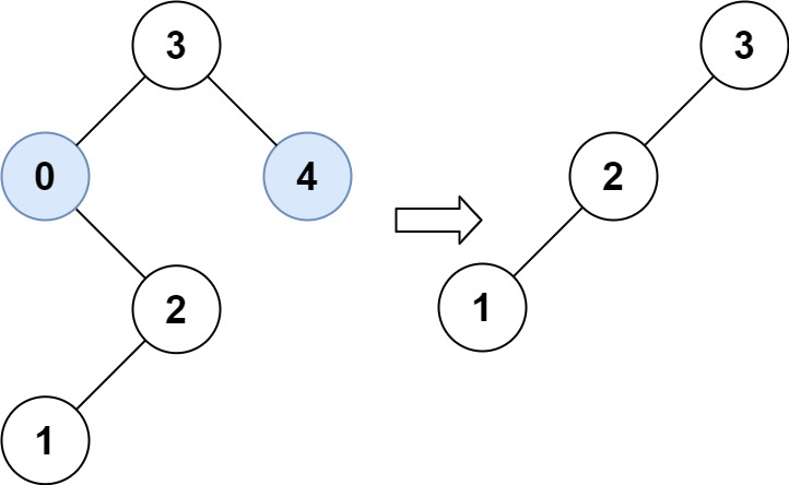
Example 2:

Input: root = [3,0,4,null,2,null,null,1], low = 1, high = 3 Output: [3,2,null,1]
Constraints:
- The number of nodes in the tree is in the range
[1, 10^4]. 0 <= Node.val <= 10^4- The value of each node in the tree is unique.
rootis guaranteed to be a valid binary search tree.0 <= low <= high <= 10^4
【C++】
/**
* Definition for a binary tree node.
* struct TreeNode {
* int val;
* TreeNode *left;
* TreeNode *right;
* TreeNode() : val(0), left(nullptr), right(nullptr) {}
* TreeNode(int x) : val(x), left(nullptr), right(nullptr) {}
* TreeNode(int x, TreeNode *left, TreeNode *right) : val(x), left(left), right(right) {}
* };
*/
class Solution {
public:
TreeNode* trimBST(TreeNode* root, int low, int high) {
if (root == nullptr) {return root;}
if (root->val > high) {return trimBST(root->left, low ,high);}
else if (root->val < low) {return trimBST(root->right, low, high);}
root->left = trimBST(root->left, low, high);
root->right = trimBST(root->right, low, high);
return root;
}
};
【Java】
/**
* Definition for a binary tree node.
* public class TreeNode {
* int val;
* TreeNode left;
* TreeNode right;
* TreeNode() {}
* TreeNode(int val) { this.val = val; }
* TreeNode(int val, TreeNode left, TreeNode right) {
* this.val = val;
* this.left = left;
* this.right = right;
* }
* }
*/
class Solution {
public TreeNode trimBST(TreeNode root, int low, int high) {
if (root == null) {return root;}
if (root.val > high) {return trimBST(root.left, low ,high);}
else if (root.val < low) {return trimBST(root.right, low, high);}
root.left = trimBST(root.left, low, high);
root.right = trimBST(root.right, low, high);
return root;
}
}
LeetCode 669 修剪二叉搜索树
本文介绍如何解决LeetCode上的669题:修剪二叉搜索树。通过递归方法,确保所有节点的值位于指定范围内,并保持相对结构不变。提供C++和Java实现代码。
https://leetcode.com/problems/trim-a-binary-search-tree/
507

被折叠的 条评论
为什么被折叠?



