给你一个二叉树的根节点 root , 检查它是否轴对称。
示例 1:

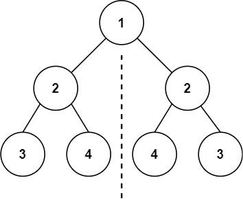
输入:root = [1,2,2,3,4,4,3]
输出:true
示例 2:

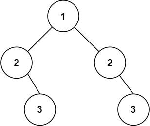
输入:root = [1,2,2,null,3,null,3]
输出:false
思路:
用递归方式,定义 compare(TreeNode leftNode, TreeNode rightNode) ,该函数用于比较 leftNode 与 rightNode 是否对称。
c++
/**
* Definition for a binary tree node.
* struct TreeNode {
* int val;
* TreeNode *left;
* TreeNode *right;
* TreeNode() : val(0), left(nullptr), right(nullptr) {}
* TreeNode(int x) : val(x), left(nullptr), right(nullptr) {}
* TreeNode(int x, TreeNode *left, TreeNode *right) : val(x), left(left), right(right) {}
* };
*/
class Solution {
public:
bool isSymmetric(TreeNode* root) {
if(root == nullptr) {
return true;
}
return compare(root->left,root->right);
}
bool compare(TreeNode* leftNode, TreeNode* rightNode) {
if(leftNode == nullptr && rightNode == nullptr) {
return true;
} else if(leftNode == nullptr || rightNode == nullptr){
return false;
}
if(leftNode->val != rightNode->val) {
return false;
}
return compare(leftNode->left,rightNode->right) && compare(leftNode->right,rightNode->left);
}
};

本文介绍了一种使用递归方法判断二叉树是否轴对称的有效算法。通过比较左右子树节点值来实现对称性的判断。
510

被折叠的 条评论
为什么被折叠?



