通过分析 JDK 源代码研究 TreeMap 红黑树算法实现
了解 TreeMap 和 TreeSet 以及二者之间的关系
TreeMap实现SortedMap接口,能够把它保存的记录根据键排序,默认是按键值的升序排序,也可以指定排序的比较器,但用iterator遍历TreeMap时,得到的记录是排过序的。
如果使用排序的映射,建议使用TreeMap。
在使用TreeMap时,key必须实现Comparable接口或者在构造TreeMap传入自定义的Comparator,否则会在运行时抛出java.lang.ClassCastException类型的异常。
public class TreeSet<E> extends AbstractSet<E>
implements NavigableSet<E>, Cloneable, java.io.Serializable
{
// 使用 NavigableMap 的 key 来保存 Set 集合的元素
private transient NavigableMap<E,Object> m;
// 使用一个 PRESENT 作为 Map 集合的所有 value。
private static final Object PRESENT = new Object();
// 包访问权限的构造器,以指定的 NavigableMap 对象创建 Set 集合
TreeSet(NavigableMap<E,Object> m)
{
this.m = m;
}
public TreeSet() // ①
{
// 以自然排序方式创建一个新的 TreeMap,
// 根据该 TreeSet 创建一个 TreeSet,
// 使用该 TreeMap 的 key 来保存 Set 集合的元素
this(new TreeMap<E,Object>());
}
public TreeSet(Comparator<? super E> comparator) // ②
{
// 以定制排序方式创建一个新的 TreeMap,
// 根据该 TreeSet 创建一个 TreeSet,
// 使用该 TreeMap 的 key 来保存 Set 集合的元素
this(new TreeMap<E,Object>(comparator));
}
public TreeSet(Collection<? extends E> c)
{
// 调用①号构造器创建一个 TreeSet,底层以 TreeMap 保存集合元素
this();
// 向 TreeSet 中添加 Collection 集合 c 里的所有元素
addAll(c);
}
public TreeSet(SortedSet<E> s)
{
// 调用②号构造器创建一个 TreeSet,底层以 TreeMap 保存集合元素
this(s.comparator());
// 向 TreeSet 中添加 SortedSet 集合 s 里的所有元素
addAll(s);
}
//TreeSet 的其他方法都只是直接调用 TreeMap 的方法来提供实现
...
public boolean addAll(Collection<? extends E> c)
{
if (m.size() == 0 && c.size() > 0 &&
c instanceof SortedSet &&
m instanceof TreeMap)
{
// 把 c 集合强制转换为 SortedSet 集合
SortedSet<? extends E> set = (SortedSet<? extends E>) c;
// 把 m 集合强制转换为 TreeMap 集合
TreeMap<E,Object> map = (TreeMap<E, Object>) m;
Comparator<? super E> cc = (Comparator<? super E>) set.comparator();
Comparator<? super E> mc = map.comparator();
// 如果 cc 和 mc 两个 Comparator 相等
if (cc == mc || (cc != null && cc.equals(mc)))
{
// 把 Collection 中所有元素添加成 TreeMap 集合的 key
map.addAllForTreeSet(set, PRESENT);
return true;
}
}
// 直接调用父类的 addAll() 方法来实现
return super.addAll(c);
}
...
}
从上面代码可以看出,TreeSet的1号,2号构造器都是新建一个TreeMap作为实际存储Set元素的容器,而另外2个构造器则分别依赖于1号和2号构造器,由此可见,TreeSet底层实际使用的存储容器就是TreeMap。
与HashSet安全类似的是,TreeSet里绝大部分方法都是直接调用TreeMap的方法来实现的。
对于TreeMap而言,它采用一种被成为‘红黑树’的排序二叉树来保存Map中每个Entry
每个Entry都被当成‘红黑树’的一个节点对待。
public class TreeMapTest
{
public static void main(String[] args)
{
TreeMap<String , Double> map =
new TreeMap<String , Double>();
map.put("ccc" , 89.0);
map.put("aaa" , 80.0);
map.put("zzz" , 80.0);
map.put("bbb" , 89.0);
System.out.println(map);
}
}
当程序执行 map.put(“ccc” , 89.0); 时,系统将直接把 “ccc”-89.0 这个 Entry 放入 Map 中,这个 Entry 就是该”红黑树”的根节点。接着程序执行 map.put(“aaa” , 80.0); 时,程序会将 “aaa”-80.0 作为新节点添加到已有的红黑树中。
以后每向 TreeMap 中放入一个 key-value 对,系统都需要将该 Entry 当成一个新节点,添加成已有红黑树中,通过这种方式就可保证 TreeMap 中所有 key 总是由小到大地排列。例如我们输出上面程序,将看到如下结果(所有 key 由小到大地排列):
{aaa=80.0, bbb=89.0, ccc=89.0, zzz=80.0}
红黑树
红黑树是一种自平衡排序二叉树,树中每个节点的值,都大于或等于在它的左子树中的所有节点的值,并且小于或者等于在它的右子树中的所有节点的值,这确保红黑树运行时可以快速地在数中查找和定位的所需节点。
对于TreeMap而言,由于它底层采用一颗“红黑树”来保存集合中的Entry,这意味这TreeMap添加元素,取出元素的性能都比HashMap低,当TreeMap添加元素时,需要通过循环找到新增Entry插入位置,因此比较耗费性能。当从TreeMap中取出元素时,需要通过循环才能找到合适的Entry,也比较耗费性能。TreeMap 中的所有 Entry 总是按 key 根据指定排序规则保持有序状态,TreeSet 中所有元素总是根据指定排序规则保持有序状态。
为了理解TreeMap的底层实现,必须先介绍排序二叉树和红黑树这2中数据结构。其中红黑树又是一种特殊的排序二叉树。
排序二叉树是一种特殊结构的二叉树,可以非常方便地对数中所有节点进行排序和检索。
排序二叉树要么是一颗空二叉树,要么是具有下列性值的二叉树
如果它的左子树不空,则左子树所有节点的值均小于它根节点的值
如果它的右子树不空,则右子树上的值均大于它的根节点的值
它的左右子树也分别为排序二叉树
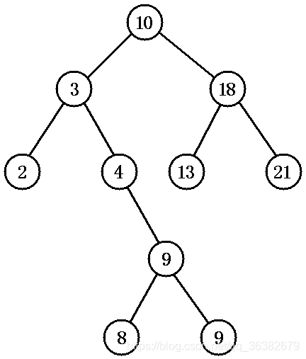
图 1. 排序二叉树

对排序二叉树,若按中序遍历就可以得到由小到大的有序序列。如图 1 所示二叉树,中序遍历得:
{2,3,4,8,9,9,10,13,15,18}
创建排序二叉树的步骤,也就是不断地向排序二叉树添加节点的过程,向排序二叉树添加节点的步骤如下
1 以根节点当前节点开始搜索
2 拿新节点的值和当前节点的值比较
3如果新节点的值更大,则以当前节点的右子节点作为新的当前节点,如果新节点的值更小,则以当前节点的左子节点作为新的当前节点。
4 重复2,3 两个步骤,知道搜索到合适的叶子节点为止。
5 将新节点添加为第4步找到的叶子节点的子节点,如果新节点更大,则添加为右子节点,否则添加为左子节点。
掌握上面理论之后,下面我们来分析 TreeMap 添加节点(TreeMap 中使用 Entry 内部类代表节点)的实现,TreeMap 集合的 put(K key, V value) 方法实现了将 Entry 放入排序二叉树中,下面是该方法的源代码
public V put(K key, V value)
{
// 先以 t 保存链表的 root 节点
Entry<K,V> t = root;
// 如果 t==null,表明是一个空链表,即该 TreeMap 里没有任何 Entry
if (t == null)
{
// 将新的 key-value 创建一个 Entry,并将该 Entry 作为 root
root = new Entry<K,V>(key, value, null);
// 设置该 Map 集合的 size 为 1,代表包含一个 Entry
size = 1;
// 记录修改次数为 1
modCount++;
return null;
}
int cmp;
Entry<K,V> parent;
Comparator<? super K> cpr = comparator;
// 如果比较器 cpr 不为 null,即表明采用定制排序
if (cpr != null)
{
do {
// 使用 parent 上次循环后的 t 所引用的 Entry
parent = t;
// 拿新插入 key 和 t 的 key 进行比较
cmp = cpr.compare(key, t.key);
// 如果新插入的 key 小于 t 的 key,t 等于 t 的左边节点
if (cmp < 0)
t = t.left;
// 如果新插入的 key 大于 t 的 key,t 等于 t 的右边节点
else if (cmp > 0)
t = t.right;
// 如果两个 key 相等,新的 value 覆盖原有的 value,
// 并返回原有的 value
else
return t.setValue(value);
} while (t != null);
}
else
{
if (key == null)
throw new NullPointerException();
Comparable<? super K> k = (Comparable<? super K>) key;
do {
// 使用 parent 上次循环后的 t 所引用的 Entry
parent = t;
// 拿新插入 key 和 t 的 key 进行比较
cmp = k.compareTo(t.key);
// 如果新插入的 key 小于 t 的 key,t 等于 t 的左边节点
if (cmp < 0)
t = t.left;
// 如果新插入的 key 大于 t 的 key,t 等于 t 的右边节点
else if (cmp > 0)
t = t.right;
// 如果两个 key 相等,新的 value 覆盖原有的 value,
// 并返回原有的 value
else
return t.setValue(value);
} while (t != null);
}
// 将新插入的节点作为 parent 节点的子节点
Entry<K,V> e = new Entry<K,V>(key, value, parent);
// 如果新插入 key 小于 parent 的 key,则 e 作为 parent 的左子节点
if (cmp < 0)
parent.left = e;
// 如果新插入 key 小于 parent 的 key,则 e 作为 parent 的右子节点
else
parent.right = e;
// 修复红黑树
fixAfterInsertion(e); // ①
size++;
modCount++;
return null;
}
上面程序中粗体字代码就是实现”排序二叉树”的关键算法,每当程序希望添加新节点时:系统总是从树的根节点开始比较 —— 即将根节点当成当前节点,如果新增节点大于当前节点、并且当前节点的右子节点存在,则以右子节点作为当前节点;如果新增节点小于当前节点、并且当前节点的左子节点存在,则以左子节点作为当前节点;如果新增节点等于当前节点,则用新增节点覆盖当前节点,并结束循环 —— 直到找到某个节点的左、右子节点不存在,将新节点添加该节点的子节点 —— 如果新节点比该节点大,则添加为右子节点;如果新节点比该节点小,则添加为左子节点。
TreeMap 的删除节点
当程序从排序二叉树中删除一个节点之后,为了让它依然保持为排序二叉树,程序必须对该排序二叉树进行维护。维护可分为如下几种情况:
(1)被删除的节点是叶子节点,则只需将它从其父节点中删除即可。
(2)被删除节点 p 只有左子树,将 p 的左子树 pL 添加成 p 的父节点的左子树即可;被删除节点 p 只有右子树,将 p 的右子树 pR 添加成 p 的父节点的右子树即可。
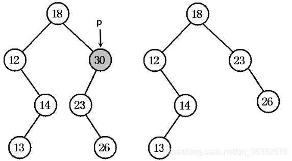
(3)若被删除节点 p 的左、右子树均非空,有两种做法:
- 将 pL 设为 p 的父节点 q 的左或右子节点(取决于 p 是其父节点 q 的左、右子节点),将 pR 设为 p 节点的中序前趋节点 s 的右子节点(s 是 pL 最右下的节点,也就是 pL 子树中最大的节点)。
- 以 p 节点的中序前趋或后继替代 p 所指节点,然后再从原排序二叉树中删去中序前趋或后继节点即可。(也就是用大于 p 的最小节点或小于 p 的最大节点代替 p 节点即可)。
被删除节点只有左子树
被删除节点只有右子树

被删除节点既有左子树,又有右子树

被删除节点既有左子树,又有右子树

TreeMap 删除节点的方法由如下方法实现:
private void deleteEntry(Entry<K,V> p)
{
modCount++;
size--;
// 如果被删除节点的左子树、右子树都不为空
if (p.left != null && p.right != null)
{
// 用 p 节点的中序后继节点代替 p 节点
Entry<K,V> s = successor (p);
p.key = s.key;
p.value = s.value;
p = s;
}
// 如果 p 节点的左节点存在,replacement 代表左节点;否则代表右节点。
Entry<K,V> replacement = (p.left != null ? p.left : p.right);
if (replacement != null)
{
replacement.parent = p.parent;
// 如果 p 没有父节点,则 replacemment 变成父节点
if (p.parent == null)
root = replacement;
// 如果 p 节点是其父节点的左子节点
else if (p == p.parent.left)
p.parent.left = replacement;
// 如果 p 节点是其父节点的右子节点
else
p.parent.right = replacement;
p.left = p.right = p.parent = null;
// 修复红黑树
if (p.color == BLACK)
fixAfterDeletion(replacement); // ①
}
// 如果 p 节点没有父节点
else if (p.parent == null)
{
root = null;
}
else
{
if (p.color == BLACK)
// 修复红黑树
fixAfterDeletion(p); // ②
if (p.parent != null)
{
// 如果 p 是其父节点的左子节点
if (p == p.parent.left)
p.parent.left = null;
// 如果 p 是其父节点的右子节点
else if (p == p.parent.right)
p.parent.right = null;
p.parent = null;
}
}
}
// ②
if (p.parent != null)
{
// 如果 p 是其父节点的左子节点
if (p == p.parent.left)
p.parent.left = null;
// 如果 p 是其父节点的右子节点
else if (p == p.parent.right)
p.parent.right = null;
p.parent = null;
}
}
}
本文深入探讨了Java集合框架中TreeMap与TreeSet的实现原理,重点解析了红黑树这一自平衡二叉查找树的数据结构,以及它是如何支撑TreeMap的高效排序和查找操作。文章详细分析了TreeMap的插入、删除操作,并解释了红黑树的性质和维护机制。
1062

被折叠的 条评论
为什么被折叠?



