学习小项目系列目录
项目1:SSM + Layui + Mysql8 公司测评系统
项目2:SpringBoot+Vue+ Mysql8 大学社团管理系统
项目3:搭建自用单点OOS服务
项目4:搭建一套自己的验证授权及资源访问服务
前言
本系列文章都是分享一些自己写的学习小项目,项目不完善,也有很多问题,欢迎有缘老师指教。所有内容仅提供学习使用,不能商用。感谢支持。希望在作为复习资料的用时也能帮助到在学习路上的你。
介绍
本大学社团管理系统采用前后端分离开发完成,实现了大学社团管理的基础功能,欢迎大家一起学习完善。
主要技术点
前台界面
- Vue.js 2
- vue-router
- vuex
- axios
- Element-ui
- echars
- es6
- yarn
后台服务
- SpringBoot v2.4.3
- Mybatis v2.3.4
- Maven3
- Mysql8.0
- WebSocket
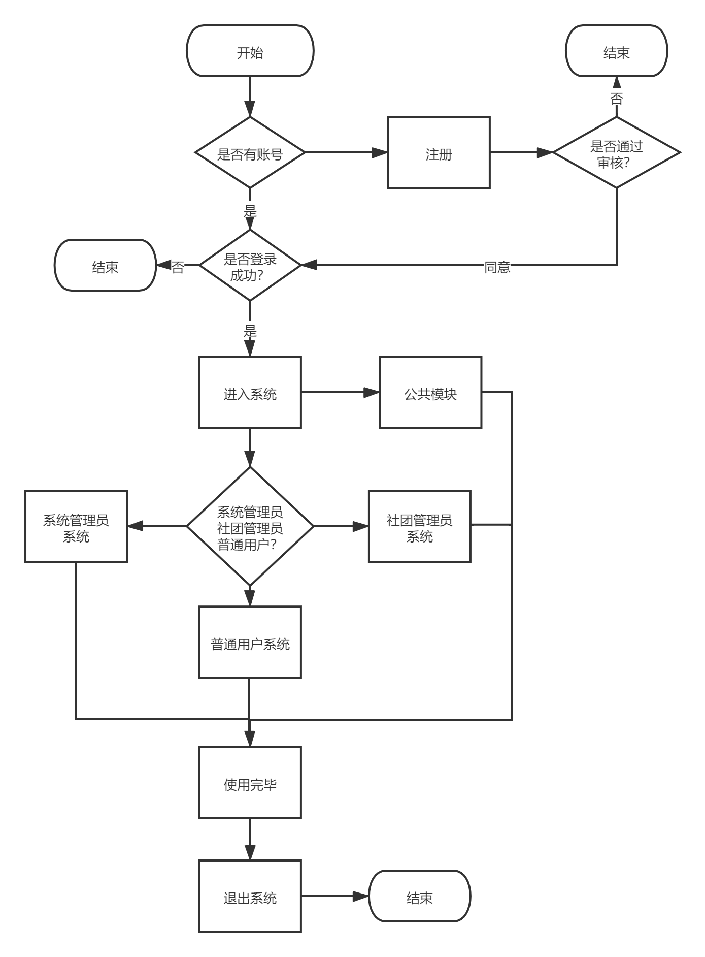
系统流程图

核心功能
- 首页
- 新闻
- 活动
- 社团风采
- 统计
- 优秀社团评选
- 通知公告
- 学生
- 个人信息
- 社团
- 加入社团
- 社团风采
- 活动
- 参加
- 公告
- 留言板
- 社团管理员
- 个人信息
- 社团
- 社团信息
- 招新
- 发布活动
- 成员管理
- 留言板
- 系统管理员
- 个人信息
- 通知公告
- 社团管理
- 基础管理
- 审批
- 活动管理
- 基础管理
- 审批
- 用户管理
- 基础管理
- 授权
- 密码重置
- 留言板
参与贡献
- dingwen 1981723769@qq.com
代码地址
前端
https://gitee.com/dingwen-gitee/community-management-web
后台
https://gitee.com/dingwen-gitee/community-management-service
项目概览
前端

后台

概览
登录

注册

首页



其他




数据库
SQL文件在后端工程sql目录下。

2551

被折叠的 条评论
为什么被折叠?



