网络流:最大流与最小割

网络流:最大流与最小割

想象一下城市中的供水系统:水源是水库,终点是居民区,中间的管道有不同容量限制。如何让最多的水从水库流向居民区?这就是最大流问题。而最小割则像是找出最经济的管道切断方案,使水库和居民区完全断开。今天我们就来探讨这两个密切相关的网络流问题。

一、网络流基础概念

让我们先理解一些基本概念,就像学习交通规则前要先认识道路标志一样。

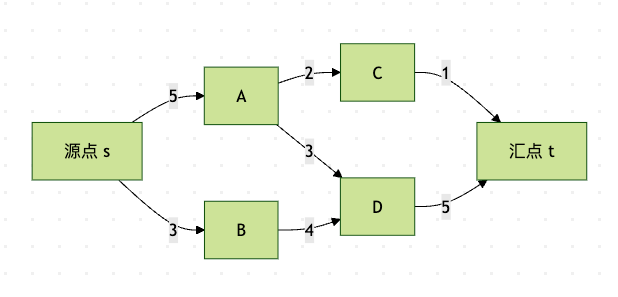
以上流程图展示了一个简单的网络流示例,其中s是源点,t是汇点,其他节点是中间节点,边上的数字表示容量。

在网络流理论中,我们通常用有向图G=(V,E)表示网络,其中:

  • V是顶点集,包含源点s和汇点t
  • E是边集,每条边(u,v)∈E有一个非负容量c(u,v)≥0
  • 如果(u,v)∉E,则c(u,v)=0

1.1 流的基本性质

一个流f是从V×V到实数集的函数,满足以下性质:

  1. 容量限制:对于所有u,v∈V,0 ≤ f(u,v) ≤ c(u,v)
  2. 反对称性:对于所有u,v∈V,f(u,v) = -f(v,u)
  3. 流量守恒:对于所有u∈V-{s,t},∑f(u,v)=0 (v∈V)

理解了这些基本概念后,我们来看最大流问题的定义。

二、最大流问题

最大流问题的目标是找到从源点s到汇点t的最大流量。就像我们想最大化供水系统中的水流量一样。

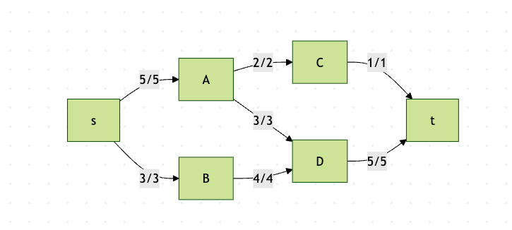
这个流程图展示了最大流的一个解,边上的x/y表示流量x和容量y,总流量为6。

2.1 Ford-Fulkerson方法

Ford-Fulkerson是解决最大流问题的经典方法,其核心思想是不断寻找增广路径。

// Ford-Fulkerson算法伪代码
1. 初始化流f为0
2. while (存在从s到t的增广路径p) {
3.     沿着p增加流f
4. }
5. return f
    

上述代码说明了Ford-Fulkerson算法的基本框架,关键在于如何寻找增广路径。

2.1.1 残量网络

残量网络G_f由可以容纳更多流的边组成。对于G中的每条边(u,v),在G_f中:

  • 如果f(u,v) < c(u,v),则有一条边(u,v)∈G_f,容量为c_f(u,v)=c(u,v)-f(u,v)
  • 如果f(u,v) > 0,则有一条边(v,u)∈G_f,容量为c_f(v,u)=f(u,v)

这是初始残量网络,与原网络相同,因为初始流量为0。

2.2 Edmonds-Karp算法

Edmonds-Karp是Ford-Fulkerson的具体实现,使用BFS寻找增广路径,保证多项式时间复杂度O(VE²)。

// Edmonds-Karp算法实现示例
def edmonds_karp(C, s, t):
    n = len(C)
    F = [[0] * n for _ in range(n)]
    
    while True:
        # BFS寻找增广路径
        parent = [-1] * n
        parent[s] = -2
        queue = [s]
        found = False
        
        while queue and not found:
            u = queue.pop(0)
            for v in range(n):
                if parent[v] == -1 and C[u][v] - F[u][v] > 0:
                    parent[v] = u
                    if v == t:
                        found = True
                        break
                    queue.append(v)
        
        if not found:
            break
            
        # 计算路径上的最小残量
        path_flow = float('inf')
        v = t
        while v != s:
            u = parent[v]
            path_flow = min(path_flow, C[u][v] - F[u][v])
            v = u
            
        # 更新流量
        v = t
        while v != s:
            u = parent[v]
            F[u][v] += path_flow
            F[v][u] -= path_flow
            v = u
    
    return sum(F[s][i] for i in range(n))
    

这段Python代码实现了Edmonds-Karp算法,使用BFS寻找增广路径,确保算法效率。

三、最小割问题

理解了最大流后,我们来看与之对偶的最小割问题。就像找到最经济的管道切断方案。

这个图中粉色区域表示一个割(S,T),其中S={s,A,B},T={C,D,t}。割的容量是c(A,C)+c(A,D)+c(B,D)=2+3+4=9。

3.1 最大流最小割定理

这个定理揭示了最大流和最小割之间的深刻联系:

最大流最小割定理:在任何流网络中,从s到t的最大流的值等于最小s-t割的容量。

这个定理告诉我们,网络的最大传输能力受限于最窄的"瓶颈"。就像水管系统的最大流量受限于最细的管道一样。

3.2 如何找到最小割

在Edmonds-Karp算法结束后,我们可以通过残量网络找到最小割:

def find_min_cut(C, F, s):
    n = len(C)
    visited = [False] * n
    queue = [s]
    visited[s] = True
    
    while queue:
        u = queue.pop(0)
        for v in range(n):
            if not visited[v] and C[u][v] - F[u][v] > 0:
                visited[v] = True
                queue.append(v)
    
    S = [i for i in range(n) if visited[i]]
    T = [i for i in range(n) if not visited[i]]
    return S, T
    

这段代码展示了如何在计算最大流后找到最小割,通过BFS在残量网络中找出从s可达的节点。

四、应用实例

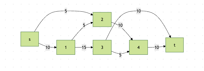
让我们通过一个实际例子来巩固理解。考虑以下网络:

这个网络流问题的最大流可以通过Edmonds-Karp算法求解,最小割可以通过最大流最小割定理找到。

4.1 求解步骤

  1. 初始化所有流量为0
  2. 找到第一条增广路径s→1→3→t,增加流量10
  3. 找到第二条增广路径s→2→4→t,增加流量5
  4. 找到第三条增广路径s→1→2→4→t,增加流量5
  5. 无法找到更多增广路径,算法终止

最终最大流为20,最小割为{(1,3), (2,4), (4,t)},容量也是20,验证了最大流最小割定理。

五、总结

通过今天的讨论,我们深入理解了网络流中的两个核心问题:

  1. 最大流问题:寻找从源点到汇点的最大流量
  2. 最小割问题:寻找使源汇点分离的最小容量边集
  3. 最大流最小割定理:这两个问题的解在数值上相等
  4. 解决方法:Ford-Fulkerson方法及其具体实现Edmonds-Karp算法

网络流算法在实际中有广泛应用,如交通规划、电力分配、网络带宽管理等。希望这篇文章能帮助大家理解这些重要概念,并在实际问题中加以应用。

文章目录结构总结:

  1. 网络流基础概念

  2. 最大流问题

    • Ford-Fulkerson方法
    • Edmonds-Karp算法
  3. 最小割问题

    • 最大流最小割定理
    • 如何找到最小割
  4. 应用实例

  5. 总结

评论
添加红包

请填写红包祝福语或标题

红包个数最小为10个

红包金额最低5元

当前余额3.43前往充值 >
需支付:10.00
成就一亿技术人!
领取后你会自动成为博主和红包主的粉丝 规则
hope_wisdom
发出的红包
实付
使用余额支付
点击重新获取
扫码支付
钱包余额 0

抵扣说明:

1.余额是钱包充值的虚拟货币,按照1:1的比例进行支付金额的抵扣。
2.余额无法直接购买下载,可以购买VIP、付费专栏及课程。

余额充值