1 最优化问题与数学基础
-
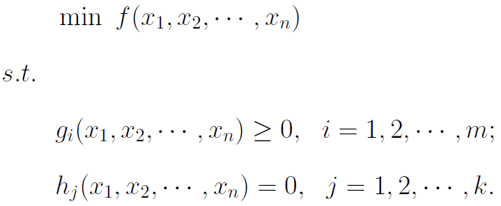
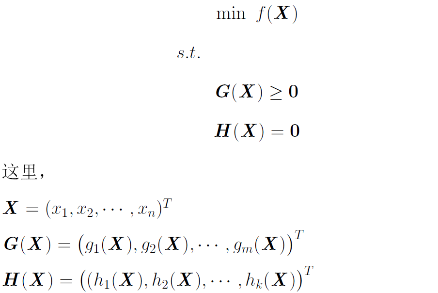
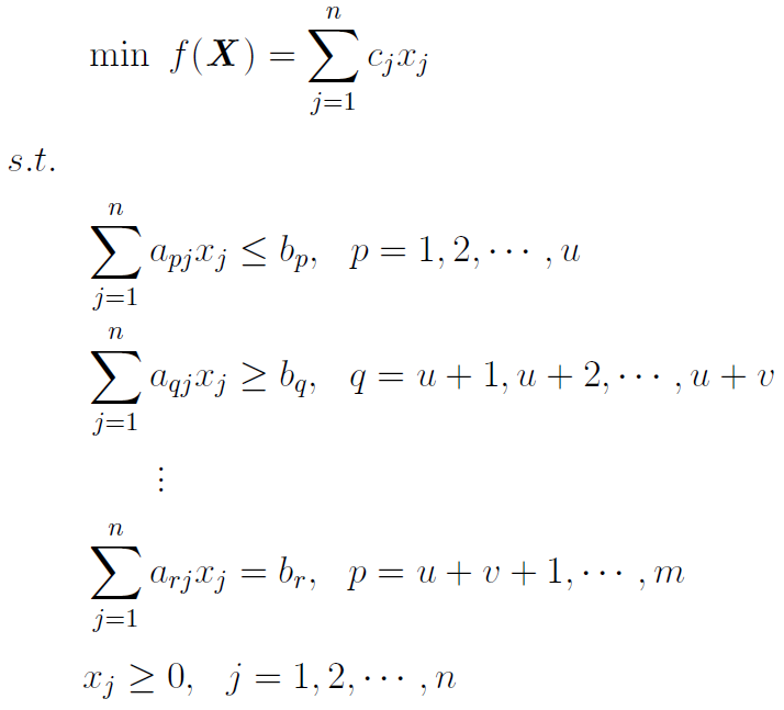
数学模型的一般形式:

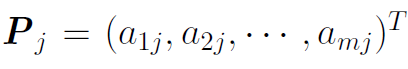
向量形式:(一般情况下,默认列向量)

-
目标函数是连续的单值函数的等值线性质:


-
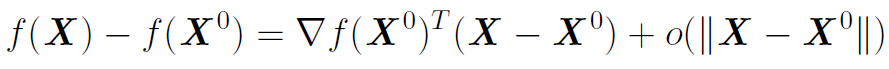
可微:
- 判断函数在点处可微,默认2范数


-
若可微,一阶偏导存在

-
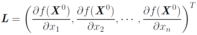
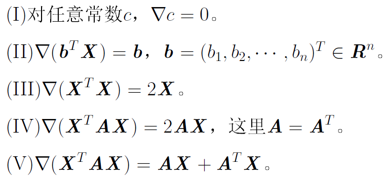
梯度
计算:

相关性质:

- 梯度方向是增长最快的方向
常用的梯度函数:

-
方向导数:函数沿指定方向的变化率
- 假设||P||=1

做题时使用方向向量时注意化成单位向量
-
方向讨论

-
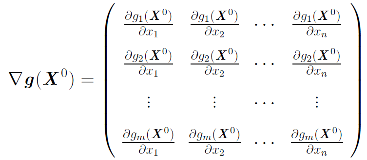
Jacobi矩阵

-
Hesse矩阵

常用计算:

-
最优性条件
-
驻点:一阶偏导为0
-
一阶必要条件:若是局部极小点,则一阶偏导为0
-
二阶必要条件:若是局部极小点,则Hesse矩阵半正定
-
二阶充分条件:是驻点且Hesse矩阵正定,则为严格局部极小点
-
-
凸集
判断凸集:任意有限个点的凸组合仍在D中

-
凸函数
-
几何上看:弦在弧上
-
题目:判断凸函数?
-
定义

-
利用凸组合形式(充要条件)

-
引入梯度(充要条件)

-
Hesse矩阵(充要条件):Hesse矩阵半正定
-
-
-
凸规划
-
定义

-
性质(第三点很重要)


-
最优解相关
-
唯一?

-
最优解判定(充要条件)对可行集中的任意X

-
-
2 线性规划和单纯形法
2.1 数学模型形式
-
一般线性规划形式

-
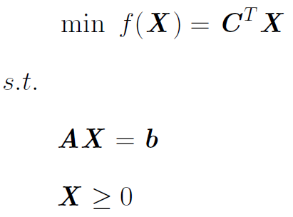
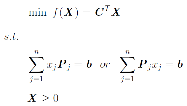
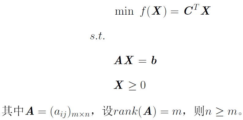
标准形式

矩阵形式:

另一种形式:


-
转化为标准形式

如果是 ≤ {\le} ≤则(+)松弛变量
如果是 ≥ {\ge} ≥则(-)剩余变量
R:两个自由变量相减
2.2 基本概念名词

基、基本解(非基变量全为零)、可行解、基可行解(所有分量非负的基本解)、最优基可行解、最优基

顶点、极点
2.3 解的性质
-
判断可行解是基可行解

-
可行解是顶点

-
若线性规划有最优解,则必在其可行集S的顶点处取得
2.4 单纯形法
-
基本思想
从线性规划的某一个顶点出发,沿着使目标函数值下降的方向寻找下一个顶点
即,从顶点到顶点
-
最优解判别准则

- 写成分量形式:


实际上只要验证非基变量所对应的判别数
- 无解情况:

- 最优解形式:设A是行满秩


-
换基运算:本质从一个基可行解(顶点)迭代出(转到)另一个基可行解(顶点)
关键是:主元、进基列、出基列的选择
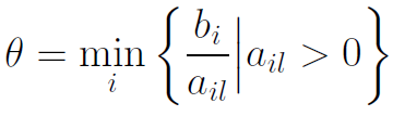
- 主元


基变量取相应的b,非基变量全部取0,则得到一个初始的基可行解
-
进基列的选择(常用2&3)

-
具体的表格绘制
-
绘制初始单纯形表格

注:基变量所对应的判别数为0
-
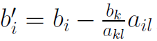
进行换基运算,这里的判别数也通过行处理变化进行运算更新
-
整体运算过程:

-
2.5 初始基可行解的确定方法
主要原因:系数矩阵A未必刚好有一个m阶的单位矩阵,因此没有现成的初始基可行解。=》引入人工变量,即构造初始基可行解
2.5.1 两阶段方法
首先,重写一个辅助线性规划:


同时,根据构造的辅助线性规划,可以判断原规划是否有可行解:
根据公式:

-
g*>0:原规划无可行解
-
g*=0
-
基变量全在x中,则基可行解是原规划的初始基可行解
-
基变量不全在x中


-
第一阶段,在得到原规划的初始基可行解时,辅助构造的线性规划表格的最后一行的判别数行不用管
第二阶段,写出原规划对应的表格,进行进一步的计算
2.5.2 大M法
-
基本思想

-
最优解分析

-
在改写目标函数时,由于松弛变量也可以当做人工变量看待,所以不用再加一个人工变量,同时,目标函数的M的乘积项中也不用带这个松弛变量。M作为一个值很大的正常数正常运算即可。
-
单纯形法的改进中,为了避免循环,对进基列的选择进行了修改:


3 对偶线性规划
原线性规划及其对偶线性规划的最优解之间存在着某种联系。
-
原规划及其对偶形式(对称形式)
规划1:

规划2:

-
混合形式变换规则表

-
对偶定理
已知

-
弱对偶性

-
均有最优解的充要条件:都有可行解
-
最优性:

-
强对偶性:



-
-
对偶线性规划的解之间的关系

-
对偶单纯形法:从一个正则解到另一个正则解,为了解决b<0的情况

4 无约束最优化计算方法
核心迭代公式:
X k + 1 = X k + t k P k {X^{k+1}=X^k+t_kP^k} Xk+1=Xk+tkPk
算法收敛:

收敛准则即迭代更新差小于给定精度
4.1 下降迭代算法
4.1.1 一般格式

那么,后面的讨论就是确定步长和下降方向的规则
4.1.2 一维搜索



4.1.3 收敛速度

- 0 < β < 1 {0< \beta <1} 0<β<1, β {\beta} β线性收敛
- β = 0 {\beta = 0} β=0,超线性收敛
- β = 1 {\beta = 1} β=1,次线性收敛

4.2 精确一维搜索
4.2.1 黄金分割法
-
基本思想
不断缩小搜索区间且区间的搜索比不变




-
具体缩小

4.2.2 Fibonacci法



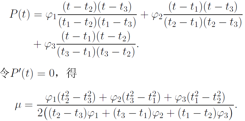
4.2.3 三点二次插值法


收敛性定理:保证算法的下降性,要求每次搜索方向与负梯度方向成锐角
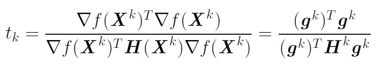
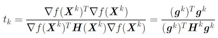
4.3 最速下降法
核心公式:

-
基本算法

-
最速下降算法下,搜索呈锯齿状前行
-
最优步长的确定:(也可以直接用一维搜索的算法,求导等于0得到)

-
k+1次的迭代:

-
最速下降法相邻两次迭代的方向互相垂直

4.4 牛顿法
-
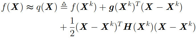
基本思想
用一个二次函数去近似一个目标函数,然后精确地求出这个二次函数的极小点

先写出目标函数某点的Taylor公式二次展开,然后求导等于零,认为Hesse矩阵正定,则求出极小点的新的近似作为下一次的迭代值。

-
牛顿迭代公式

-
具体算法(无需求Hesse矩阵的逆)

4.5 共轭方向法
-
思想,均是执行精确一维搜索

-
共轭概念


4.5.1 FR共轭梯度法
通过负梯度来构造共轭向量组,相应的共轭方向法叫共轭梯度法
-
具体算法

其中 t k {t_k} tk仍是用一维搜索推导得到的。

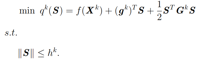
4.6 信赖域方法(限步长方法)
信赖域的方法:自适应改变步长上界,并在使得步长上界尽可能大的同时,尽量保持二次模型与目标函数的一致程度。
-
模型问题

其中, h k {h^k} hk是步长上界,用于定义点 X k {X^k} Xk的邻域:

-
步长上界 h k {h^k} hk的选择定义
-
第k步的实际下降量

-
第k步的预测下降量

-
上面两者的比值衡量二次模型近似目标函数的程度:

评价:

-
-
具体算法

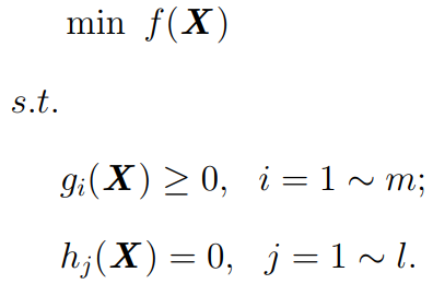
5 约束最优化方法
约束最优化问题模型:



5.1 最优性条件
5.1.1 可行下降方向相关概念
- 可行域:满足约束条件的点所构成的集合
- 可行方向:从可行域中的一个点出发,如果在一个非零向量P上存在一定步长使得线段上的点都在可行域内,这个非零向量P就是可行方向
- 下降方向:在一定步长范围内,沿着某个非零向量P上走,能使得函数值减小
- 可行下降方向:非零向量P既是可行方向又是下降方向

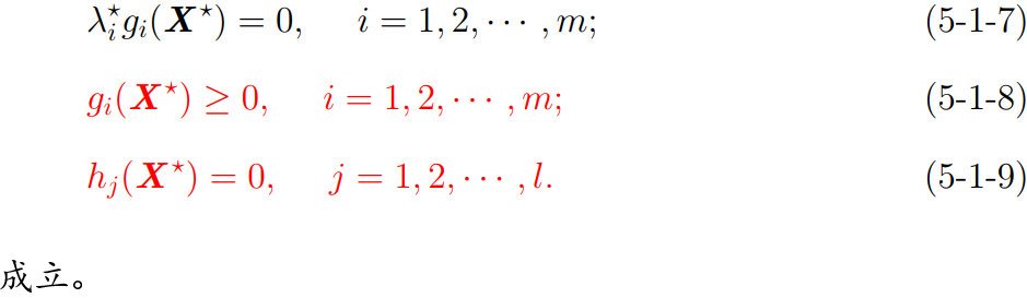
5.1.2 一阶必要条件(已知局部极小点且正则点)


上述五个条件又叫KKT条件,满足这个条件的点就叫KKT(K-T)点
因此,证明KKT点,即是证明存在 λ ∗ & μ ∗ {\lambda^* \& \mu^*} λ∗&μ∗满足那五个条件。
5.1.3 二阶充分条件(判断严格局部最小点)
存在 λ ∗ & μ ∗ {\lambda^* \& \mu^*} λ∗&μ∗:

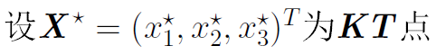
利用KT点求解最优解
-
假设KT点

-
列出等式



-
解等式,得到 λ ∗ & μ ∗ {\lambda^* \& \mu^*} λ∗&μ∗,反带入等式,解出具体的KT点的值
-
此时只能得到局部极小点,若要得到严格局部最小点,则利用二阶充分条件,即判断:

或者利用二阶充分条件的定义:

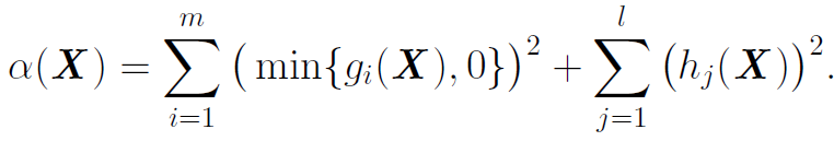
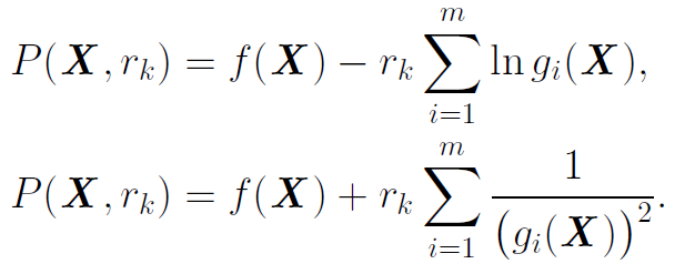
5.2 惩罚函数

5.3 外点惩罚函数
-
构造惩罚函数



-
具体算法

5.4 内点惩罚函数


5.5 乘子法
感觉不会考 有点复杂
5.6 Rosen梯度投影法
-
形式

-
下降可行方向的确定(利用投影矩阵)
-
投影矩阵





-
可行方向(充要条件)






-
进而判断可行下降方向

-
-
确定步长上界


-
具体算法



感觉老师ppt上面讲的流程也不是很清楚,可以参考傅英定的最优化理论与方法的相关内容。
总结感想
- 凸函数、凸规划有很多性质,因此在现实中希望把一些问题转为凸优化问题
- 任意一个线性规划都能转化为标准形式,因此,可以转向对标准形式的研究
- 在基变量等名词理解和公式推导的过程中,让我想起线代中的列向量空间,理解有异曲同工之妙
- 单纯形法是一种理想的情况,在有现成的初始基可行解的条件下进行操作,本质就是从一个基可行解到另一个基可行解,目标是为了让目标函数值下降,直至最小
- 两阶段方法和大M法则是解决了单纯形法在没有现成的初始基可行解的情况。此时,很容易想到,人为构造辅助的初始基可行解,再利用换基操作,将基变量均换成非辅助变量即可。
- 对偶单纯形法:从一个正则解到另一个正则解,为了解决b<0的情况
- 无约束条件下的单变量函数最优化问题是解非线性优化问题
- 无约束最优化计算方法实际上就是对步长和下降方向的规则的讨论:一维搜索则是对最优步长进行讨论;精确一维搜索则是对搜索区间进行讨论;最速下降法是一维搜索的升级版,即每次都会求解相应的最优步长和下降方向;牛顿法在迭代点附近用二次函数逼近,形式简单,但需要计算Hesse矩阵,计算量大;通过负梯度来构造共轭向量组,相应的共轭方向法叫共轭梯度法;FR共轭梯度法对下降搜索方向做出了改变;信赖域的方法是基于牛顿法的函数近似思想对其进行改进,即在一定步长范围内,近似函数才能逼近,所以要动态调整步长上界。
uestc2021年最优化考试:
- 分别用外点法和内点法求最优值
- 单纯形法,对偶规划,KKT点,所有的可行(下降)方向
- FR共轭梯度投影法(除了求解相关问题,并判断它是否是局部最优解,还要分析写出它的特点和缺陷)
- Rosen梯度投影,前两问计算很简单,几乎给了所有公式,然后就是按照步骤继续算下去。
- 填空题,如果好好复习的话都不难,比如,黄金分割法、两阶段法的有解条件,方向导数等。不过最后考了一个信赖域的题目。
本文详细探讨了最优化问题的数学基础,包括线性规划的单纯形法、对偶线性规划,以及无约束最优化的计算方法如下降迭代、精确搜索和牛顿法。讲解了约束最优化的KKT条件、惩罚函数和多种求解策略,如乘子法和Rosen梯度投影。涉及的算法和技术标签包括:线性规划、单纯形法、对偶、下降法、共轭方向法和最速下降法。
2928

被折叠的 条评论
为什么被折叠?



