Basic structure of a binary tree:
public class TreeNode {
int val;
TreeNode left;
TreeNode right;
TreeNode() {};
TreeNode(int val) {this.val = val}
TreeNode(int val, TreeNode left, TreeNode right) {
this.val = val;
this.left = left;
this.right = right;
}
}
Inorder Traversal means that we will make its order as left-root-right
Description
Given the root of a binary tree, return the inorder traversal of its nodes’ values.
Example 1:

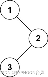
Input: root = [1,null,2,3]
Output: [1,3,2]
Example2:
Input: root = []
Output: []
Example3:
Input: root = [1]
Output: [1]
Constraints:
- The number of nodes in the tree is in the range [0, 100].
- -100 <= Node.val <= 100
Method(Recursion)
class Solution {
public List<Integer> inorderTraversal(TreeNode root){
List<Integer> res = new ArrayList<>();
inorder(root, res);
return res;
}
public void inorder(TreeNode root, List<Integer> res){
if(root == null) {return;}
inorder(root.left, res);
res.add(root.val);
inorder(root.right, res);
}
}
O(n)
O(n)
Method(Iterate)
the only difference between recursion and iterate is that iterate make the stack clearer to be used.
class Solution {
public List<Integer> InorderTraversal(TreeNode root){
List<Integer> res = new ArrayList<>();
Deque<TreeNode> deq = new Linkedlist<>();
while(root != null || !deq.isEmpty()){
while(root != null){
deq.push(root);
root = root.left;
}
root = deq.pop();
res.add(root.val);
root = root.right;
}
return res;
}
}
本文介绍了一种常见的二叉树遍历方法——中序遍历,并提供了递归和迭代两种实现方式。通过实例展示了如何获取二叉树节点值的中序遍历结果。
621

被折叠的 条评论
为什么被折叠?



