2.1 系统的概念与分类
一、系统的基本概念
1、定义
系统(system):由若干相互作用和相互依赖的事物组合而成的,具有稳定功能的整体。如太阳系、通信系统、控制系统、经济系统、生态系统等
通信系统
为传送消息而装设的全套技术设备(包括传输信道)。
2、系统理论

重点讨论系统的分析,分析是综合的基础.
二、系统的分类






2.2 线性时不变系统的特性
1、线性系统与非线性系统
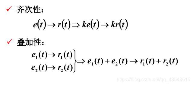
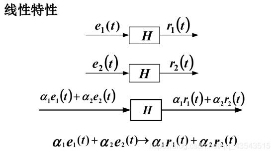
线性系统:指具有齐次性和叠加性的系统。





2、时变系统与时不变系统
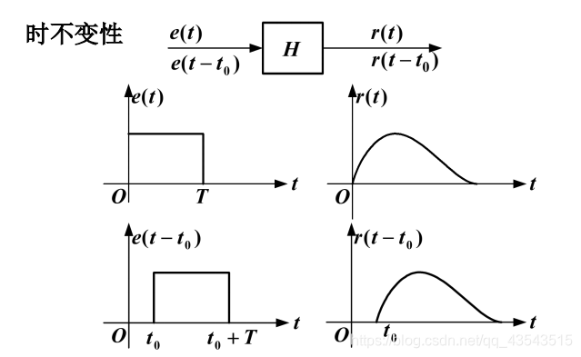
一个系统,在零初始条件下,其输出响应与输入信号施加于系统的时间起点无关称为时不变系统,否则称为时变系统。
分析: 判断一个系统是否为时不变系统,只需判断当输入激励e(t)变为e(t-t0)时,相应的输出响应r(t)是否也变为 r(t-t0)。由于系统的时不变特性只考虑系统的零状态响应,因此在判断系统的非时变特性时,不涉及系统的初始状态
若系统既是线性的又是时不变的,则称为线性时不变系统( linear time-invariant system ),简称为LTI系统。
3、因果系统与非因果系统
因果系统是指当且仅当输入信号激励系统时,才会出现输出(响应)的系统。也就是说,因果系统的输出(响应)不会出现在输入信号激励系统以前的时刻。
系统的这种特性称为因果特性

2.3 连续系统的描述及其响应
一、系统数学模型
数学模型:系统物理特性的数学抽象,以数学表达式或具有理想特性的符号组合图形来表征系统特性。

建立数学模型的注意事项:
建模必须在给定条件下进行,遵循“体现主要因素,忽略次要因素”的原则;
模型在保证精确度的前提下应尽量简单;
不同的系统可能得到形式完全相同的模型;
数学模型的形式:
输入输出描述:N阶微分方程或N阶差分方程(方程的阶次就是系统的阶次);
状态空间描述:N个一阶微分方程组或N个一阶差分方程组;
方框图描述:由若干运算单元相互连接来表示系统的功能;
物理系统的模型
•许多实际系统可以用线性系统来模拟。
•若系统的参数不随时间而改变,则该系统可以用线性常系数微分方程来描述。












三、零输入响应和零状态响应
零输入响应:没有外加激励信号的作用,只由起始状态(起始时刻系统储能)所产生的响应。
零状态响应:不考虑原始时刻系统储能的作用(起始状态等于零),由系统的外加激励信号产生的响应。

2.4 冲激响应与阶跃响应





二、阶跃响应
系统在单位阶跃信号作用下的零状态响应,称为单位阶跃响应,简称阶跃响应
2、阶跃响应与冲激响应的关系

2.5 卷积及其应用





三、利用卷积计算系统的零状态响应





















被折叠的 条评论
为什么被折叠?



