程序员预备役.
码龄4年
关注
提问 私信
  • 博客:10,625
    动态:1
    10,626
    总访问量
  • 14
    原创
  • 83,459
    排名
  • 506
    粉丝
  • 学习成就
IP属地以运营商信息为准,境内显示到省(区、市),境外显示到国家(地区)
IP 属地:广东省
  • 加入CSDN时间: 2020-06-30
博客简介:

qq_49040163的博客

查看详细资料
  • 原力等级
    成就
    当前等级
    2
    当前总分
    177
    当月
    4
个人成就
  • 获得31次点赞
  • 内容获得2次评论
  • 获得48次收藏
创作历程
  • 2篇
    2024年
  • 12篇
    2023年
成就勋章
创作活动更多

AI大模型如何赋能电商行业,引领变革?

如何使用AI技术实现购物推荐、会员分类、商品定价等方面的创新应用?如何运用AI技术提高电商平台的销售效率和用户体验呢?欢迎分享您的看法

186人参与 去创作
  • 最近
  • 文章
  • 代码仓
  • 资源
  • 问答
  • 帖子
  • 视频
  • 课程
  • 关注/订阅/互动
  • 收藏
搜TA的内容
搜索 取消

Mobaxterm中将常用命令设置成快捷操作的方法

Mobaxterm中有一个录制宏的功能,可以将你在终端的操作录制下来,方便下次做同样操作可以一键操作,也可以做成快捷键一键完成多条指令的输入操作
原创
发布博客 2024.10.22 ·
726 阅读 ·
6 点赞 ·
0 评论 ·
4 收藏

git 命令自动补全

1.先执行 source /usr/share/bash-completion/completions/git 试看是否能自动补全。1)在根目录下增加 .bash_profile 文件。2.将该命令写进根目录的 .bashrc 文件中。3. 执行source ~/.bashrc 即可。
原创
发布博客 2024.06.05 ·
326 阅读 ·
2 点赞 ·
1 评论 ·
1 收藏

LVGL如何自定义键盘

如何使用LVGL自定义用户键盘
原创
发布博客 2023.10.13 ·
1682 阅读 ·
5 点赞 ·
0 评论 ·
13 收藏

HEAD detached from xxx报错

这种情况是因为目前我们已经处于游离分支的状态。那为什么会在游离分支呢?明明原来一直是在master分支上做项目啊?原来是在要回退版本的时候使用了git checkout 版本号的命令 使得 HEAD处于游离分支状态(正确的应使用 git reset 版本号 --hard 做版本回退出现这种情况的解决方法就是 git branch -a 查看分支然后git checkout +分支 切回到原来的分支上原来的分支是master就是 git checkout master
原创
发布博客 2023.05.11 ·
255 阅读 ·
0 点赞 ·
0 评论 ·
0 收藏

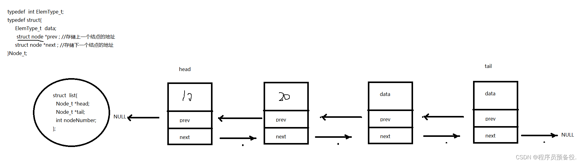
带头节点的双向链表

C语言实现带头节点的双向链表(实现增删查改)
原创
发布博客 2023.04.26 ·
165 阅读 ·
0 点赞 ·
0 评论 ·
1 收藏

QT中制作音乐播放器

MPlayer是一款开源多媒体播放器,以GNU通用公共许可证发布。此款软件可在各主流操作系统使用,例如Linux和其他类Unix系统、Windows及Mac OS X系统。MPlayer建基于命令行界面,在各操作系统也可选择安装不同的图形界面。mplayer的另一个大的特色是广泛的输出设备支持。
原创
发布博客 2023.04.23 ·
502 阅读 ·
1 点赞 ·
0 评论 ·
3 收藏

QT跨平台实现

3、安装完成后,在安装的目录/opt/Qt5.14.2/Tools/QtCreator/bin下会生成一个qtcreator文件,该文件就是一个IDE集成 开发环境,创建工程和编译及运行工程,跟windows下操作完成一样。第四步:在qt工程目录下,以绝对路径的方式来执行qmake命令,不要在任意的路径下来执行qmake,因为,linux操作系统下,本身也支持qt。在qt中,一套源码可以实现跨平台,将源码 在不同平台上进行编译,得到目标平台下所要运行的可执行程序。下载 linux环境下的QT安装包。
原创
发布博客 2023.04.23 ·
4308 阅读 ·
14 点赞 ·
0 评论 ·
25 收藏

工程管理文件Makefile

1、什么叫做Makefile ??Makefile 文件 称之为工程管理文件, 用来管理 一个工程 中所有的文件,包括 源文件 头文件 库文件.....2、目的 主要是为了简化编译的复杂度
原创
发布博客 2023.04.15 ·
133 阅读 ·
0 点赞 ·
0 评论 ·
0 收藏

动静态库编译

静态库 和动态库的区别1、静态库(*.a) 是在 gcc编译的时候 把静态库放到一起 进行编译 ,最后生成可执行的二进制文件(文件比较大)2、动态库 在gcc编译的时候 仅仅 是 记录 了动态库的存放位置,在执行的时候才去 固定的路径下调用该库文件
原创
发布博客 2023.04.15 ·
417 阅读 ·
0 点赞 ·
0 评论 ·
0 收藏

关于cpp文件不能引用cdx_list.h头文件报错问题

由此可以想到new在c++中是一个关键字,有可能参数于c++关键字冲突导致错误。在.cpp文件中引用了#include 文件,编译时报错。#include 文件是c中关于链表的增删查改的操作。首先看到报错的第一个地方是new这个参数。试过使用exter"C"的方式引用头文件还是报错。将new改成new1避免与关键字冲突。
原创
发布博客 2023.04.06 ·
165 阅读 ·
0 点赞 ·
0 评论 ·
0 收藏

Linux系统git项目管理工具的使用

如上图可知,文件夹内新添了example.txt文件 且example.txt文件中内容已修改。1)修改文件:vi example.txt ---> 在examp.txt文件中添加内容。2)可通过版本号回到指定版本,命令:git reset --hard 对应版本号。查看绑定的邮箱:git config --global usr.email。可查看文件改动内容,命令:git diff example.txt。回到上一个版本,命令:git reset --hard HEAD^
原创
发布博客 2023.03.29 ·
258 阅读 ·
0 点赞 ·
0 评论 ·
0 收藏

C语言const关键字

如果我们没定义常变量,我们需要将100修改为200,需要将代码出现的所有100依次修改为200,而如果我们定义了常变量,我们只需要修改常变量的值为200即可,这样就增加了代码的可维护性。const是一个修饰符,加在变量的左边,其本质上仍是一个变量,const用来给这个变量加上一个const不变的属性,使其称为常变量,表示这个变量的值一旦初始化就不能再修改。1)修饰数组表明数组的每个单元都是const int,、无法修改,所以必须通过初始化进行赋值,否则写出来后就无法进行赋值了。//不能通过指针修改i的值。
原创
发布博客 2023.03.29 ·
85 阅读 ·
0 点赞 ·
0 评论 ·
0 收藏

使用TF挂载程序到开发板

mount:使用TF挂载程序到开发板
原创
发布博客 2023.03.28 ·
278 阅读 ·
0 点赞 ·
1 评论 ·
0 收藏

程序中报错:undefined reference

如何解决程序中undefined reference的函数报错
原创
发布博客 2023.03.28 ·
1305 阅读 ·
3 点赞 ·
0 评论 ·
0 收藏