- 博客(95)
- 收藏
- 关注
原创 Caused by: org.springframework.beans.factory.NoSuchBeanDefinitionException: No qualifying bean of ty
Caused by: org.springframework.beans.factory.NoSuchBeanDefinitionException: No qualifying bean of type 'org.springframework.data.redis.core.RedisTemplate' available: expected at least 1 bean which qualifies as autowire c
2023-07-08 16:37:33
259
原创 FATAL { err: Error: Spawn failed at ChildProcess.<anonymous> (F:\Blog\node_modules\hexo-util
出现的错误像这样的 多提交几次就OK了
2022-06-29 11:39:07
3662
3
原创 hexo d FATAL duplicated mapping key at line 103, column -101: deploy:
hexo 踩坑:hexo d FATAL duplicated mapping key at line 103, column -101: deploy:修改配置文件在最下面写上这个
2022-06-22 16:05:29
382
原创 坚持写博客21天的第二天
1.硬件由(运算器,控制器,输入设备,输出设备,存储器)为了解决系统存储系统大容量 高速度 低成本 相互制约的矛盾用来做高速缓冲存储器DRAM的基本存储元通常只是使用一个晶体管,比SRAM的密度要高很多 用来做内存用的 一般用来组成大容量主存系统...
2022-06-09 17:09:28
139
原创 SpringBoot瑞吉项目开源 -01登陆页面
准备环境 login.html,request.js,loginCheckFilter,R,Employee登陆 点击登陆按钮 触发loginApi事件 通过异步 await /employee/login 请求方式为post访问到了之后 进入login 方法 1.将提交过来的密码进行MD5加密 2.根据username 查询数据库 3.然后对比密码 4.再查看员工状态 禁用返回异常 5.通过前面 则表示登陆成功如果直接访问index页面就会被LoginCheckFilter拦截 工作原理:设置.
2022-05-30 22:47:44
214
原创 Springboot项目中的前端页面对long值处理的精度缺失问题
遇到的情况就是:前端就是会把long值的后三位进行四舍五入 使精度缺失2.解决办法就是2.1在webmvcconfig中添加消息转化器(MappingJackson2HttpMessageConverter)2.2 要设置一下转化器的优先级(index = 0)2,3messageConvert中set方法 底层使用JackSon将Java对象转为json new JacksonObjectMapper()这里贴一下JacksonObjectMapper类的代码:package.
2022-05-27 18:41:43
669
原创 成功解决Caused by: org.yaml.snakeyaml.scanner.ScannerException: while scanning a simple key
Caused by: org.yaml.snakeyaml.scanner.ScannerException: while scanning a simple key键值对之间要用冒号隔开
2022-05-22 14:51:40
547
原创 最大子数组和 滑动窗口解
class Solution {//找到并返回数组nums的最大值public int maxOfNums(int[] nums){int maxAll = nums[0];for(int i=1;i<nums.length;i++)if(nums[i]>maxAll)maxAll=nums[i];return maxAll;}public int maxSubArray(int[] nums) {int l=0,r=0;//记录最大和int maxSum=maxOfNu
2022-05-17 12:51:40
508
原创 微信开发者工具创建的插件报错-Unhandled promise rejection TypeError: WebAssembly Instantiation...
微信开发者工具创建的插件报错-Unhandled promise rejection TypeError: WebAssembly Instantiation…刚刚创建出来的项目就报错了 我有点无语了 结果问题是JavaScript的版本问题调低点就行了
2022-05-15 22:14:45
495
原创 org.springframework.http.converter.HttpMessageNotReadableException: Required request body is missing
今天解决的bug 记录一下开始我是在前端使用get方式去请求获取所有数据问题是@RequestBody 它只能由Post方式去请求(离谱的是我不知道为啥postman就能用get方式去请求)postman中:当然还要个额外bug 就是之前写的是resp.data.list经过调试后发现离谱吧 幸好想了法子去调式它当然我看了今天的一个哥们写的很给力...
2022-05-13 18:30:47
768
原创 Spring + Mybaits+注解开发日期数据转化问题
提示:文章写完后,目录可以自动生成,如何生成可参考右边的帮助文档文章目录前言一、@JsonFormat data转字符串二、字符串转date1.写到要执行 BeanUtils.populate(goods,map);的地方前言提示:这里可以添加本文要记录的大概内容:最近在编写后台管理系统的时候发现 日期转化这个地方 遇到很多的bug提示:以下是本篇文章正文内容,下面案例可供参考一、@JsonFormat data转字符串在实体类中 写上@JsonFormat(pattern=.
2022-05-09 13:46:30
596
原创 Mybatis注解开发 sql动态查询 吸取教训
在这里插入图片描述我耗费了3个小时来解决这个问题 但是事与愿违 即使我写城这样任然不行 所以建议还是用配置文件吧 用注解或者配置文件分情况讨论 如果需要的sql语句比较简单就用注解 如果比较复杂的话就用 配置文件...
2022-05-06 21:24:01
196
原创 安装charles时 手机完成代理设置后连不了网 血泪建议
项目场景:提示:这里简述项目相关背景:最近有时间写下爬虫 所以就使用到了charles 但是 手机完成代理设置后连不了网 !!! 把我气的问题描述提示:这里描述项目中遇到的问题:---# 原因分析:> 提示:这里填写问题的分析:就是charles自己的bug 一般手机完成代理之后 charles里面应该会跳出个 allow 和 deny两个选项 但是有时没有 就离了个大谱了---# 解决方案:1.退出charles 2. 断开自己电脑wfil3. 进入c
2022-05-01 19:19:35
3559
2
原创 raise TypeError(f‘Object of type {o.__class__.__name__} ‘ TypeError: Object of type bytes is not
项目场景:提示:这里简述项目相关背景:隔了好久没有写过爬虫了 今天有兴趣来写下 今天在调试js代码的时候 不小心报了个错问题描述提示:这里描述项目中遇到的问题: raise TypeError(f'Object of type {o.__class__.__name__} 'TypeError: Object of type bytes is not JSON serializable }原因分析:提示:这里填写问题的分析:不符合传递参数的规律 其实我在写的这个js逆
2022-04-30 22:06:29
4725
原创 Eclipse的代码补全方法可以实现psvm和sout
先进入这个abcdefghijklmnopqrstuvwxyzABCDEFGHIJKLMNOPQRSTUVWXYZ.把上面那一串字符填上 最后的一个点也不能落下这个能很方便的帮助你解决你平时在IDEA习惯的psvm和sout
2022-04-02 14:05:47
3101
原创 os模块的常用方法总结
import os#os的全称为 operation system 切记不能使用from os import * 否则会覆盖原来的open()内置函数# 实际上是将传入的几个字符串用系统的分隔符连接起来,组合成一个新的字符串,所以一般的用法是将第一个参数作为父目录,之后每一个参数即使下一级目录,从而组合成一个新的符合逻辑的路径。# 但如果传入路径中存在一个“绝对路径”格式的字符串,且这个字符串不是函数的第一个参数,那么其他在这个参数之前的所有参数都会被丢弃,余下的参数再进行组合。更准确地说,只有最后一
2022-04-02 12:38:54
425
原创 让人头皮发麻的KMP的next函数 困扰我三四天后终于解决了
package _KMP;public class _字符串匹配 { public static void main(String[] args) { String s = "adadada"; String p = "ad"; int[] next = new int[p.length()]; getNext(next,p); //kmp int j=0; for (int i=0.
2022-03-31 20:59:25
245
原创 离散化的思想
package _离散化;import java.util.ArrayList;import java.util.Collections;import java.util.List;import java.util.Scanner;public class _求l到r区间的值 { private static class MyPair { public int x; public int y; public MyPair(int x,.
2022-03-24 22:17:49
122
原创 区间合并的思想
package _区间合并;import java.util.ArrayList;import java.util.Collections;import java.util.Comparator;import java.util.List;public class _合并区间 { public static void merge(List<int[]> list){ Collections.sort(list, Comparator.comparingIn.
2022-03-24 22:11:12
251
原创 位运算求整数中二进制1的个数
package _位运算;public class _位运算求整数中1的个数 { public static void main(String[] args) { int n = 4; int ans = 0; while (n!=0){ int tmp = n>>0&1; if (tmp==1){ ans++; }
2022-03-24 17:24:30
213
原创 位运算的位置互换
package _位运算左右移动;public class _位运算交换位置省空间 { public static void main(String[] args) { int n =3; int m =4; n = n^m; m = n^m; n = n^m;//太妙了 System.out.println(n); System.out.println(m); }}目
2022-03-24 17:22:50
467
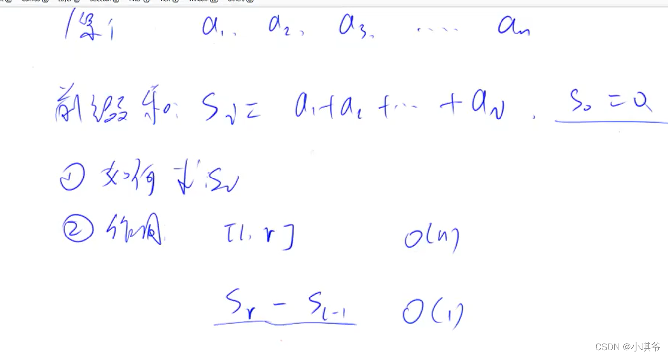
原创 前缀和思想

2022-03-24 17:10:14
133
原创 error: failed to push some refs to ‘github.com:English.git‘ hint: Updates w
问题描述:error: failed to push some refs to 'github.com:1qiqiqi/learing-Speaking-English.git'hint: Updates were rejected because the tip of your current branch is behindhint: its remote counterpart. Integrate the remote changes (e.g.hint: 'git pull ...') b
2022-03-24 11:48:40
159
原创 位运算的左移右移
package _位运算左右移动;public class _移动计数技巧 { public static void main(String[] args) { int n = 6; System.out.println("左移动:操作数*2^操作数"); System.out.println(6<<2); System.out.println(4<<2); System.out.print.
2022-03-23 17:54:10
155
原创 双指针思想
package _双指针;import java.util.Map;public class _一个数组中连续的不同子数组最长 {public static void main(String[] args) {int [] nums = {1,4,5,6,7,3,4,5,6,2,3,4,4,5};//双指针的模板int [] a = new int[nums.length];int res=0;for (int i =0,j=0;i<nums.length;i++){a[nums[.
2022-03-23 17:44:37
662
原创 高精度乘法思想
package _高精度;import java.util.Arrays;public class _乘法 {public static void main(String[] args) {String a = “345”;int[] a_num = new int[a.length()];for (int i = 0; i < a_num.length; i++) {a_num[i] = a.charAt(a_num.length - i - 1) - ‘0’;//很奇怪不知道为什么.
2022-03-21 18:30:09
218
原创 高精度减法思想
package _高精度;import java.util.Arrays;public class _减法 { public static void main(String[] args) { //取数 String a = "345", b = "324"; int[] a_num = new int[a.length()]; int[] b_num = new int[b.length()]; for (i.
2022-03-21 18:07:00
210
原创 二分法的模板
public class _二分模板 { public static void main(String[] args) { int[] nums = new int[]{1,2,6,6,6,6,7,9}; int l = 0,r = nums.length-1; int x=6; while (l<r){//6出现的第一次位置 int mid = 1+(r+l)/2;//加一防止死循环 .
2022-03-20 12:53:34
172
原创 归并排序的思想
public class MergeSort { public static void main(String[] args) { int [] nums = new int[]{1,2,7,6,6,6,6,9,11,22,33}; int[] temp = new int[nums.length]; System.out.println(1/2); Sort(nums,0,nums.length-1,temp); f.
2022-03-20 11:08:47
110
原创 快速排序的思想
import java.lang.reflect.Array;public class QuickSort { public static void main(String[] args) { int [] nums = new int[]{1,2,7,6,6,9,11,22,33,55,66,77}; quick_sort(nums,0,nums.length-1); for(int i:nums){ System.ou.
2022-03-19 22:54:32
229
原创 第二次提交文件 merge上次版本
项目场景:在一个文件中已经提交过一次的给GITHUB的代码,修改一次之后(创建一个新文件)再次提交给GITHUB,使其与上次版本合并方案方法很简单先连接好远程 git remote add origin git地址把远程代码拉过来 git pull origin master然后创建一个新的分支 git branch newbranchname切换到分支 git checkout newbranchname把文件添加到缓存区 git add .然后提交到版本库然后切回到master分
2022-03-19 00:04:53
379
原创 Updates were rejected because the tip of your current branch is behind
项目场景:今天学习torch的第二天 谁知我在git push -u origin master的时候报错了问题描述Updates were rejected because the tip of your current branch is behind---# 原因分析:可能是不能merge的原因吧 于是我就建立了分支---# 解决方案:在git push -u origin master前输入 git branch [name] git push -u origin [na
2022-03-14 10:33:05
133
原创 Failed to connect to github.com port 443 after 21505 ms: Timed out
Failed to connect to github.com port 443 after 21505 ms: Timed out
2022-03-13 13:10:52
402
原创 java.lang.ClassNotFoundException: com.mysql.cj.jdbc.Driver
项目场景:我用的是maven创建的web项目 讲到这个我真的好气 我花了将近2天的时间才解决问题描述原因分析:提示:这里填写问题的分析:错误原因是我没有引入jar包 我也不知道为啥引入网上下载的jar包不管用学长让我从maven管理的包中引入mysql-connect-jar包 于是我就弄好了解决方案:开始看网上的都说是什么版本不匹配 我的Mysql版本是于是我引入了mysql-connect8.0.11.jar版本的我看网上说要5版本的我就蒙圈了 我还以为是这个问题 于是
2022-03-10 14:42:53
1234
空空如也
空空如也
TA创建的收藏夹 TA关注的收藏夹
TA关注的人
RSS订阅