自定义博客皮肤VIP专享

*博客头图:

格式为PNG、JPG,宽度*高度大于1920*100像素,不超过2MB,主视觉建议放在右侧,请参照线上博客头图

请上传大于1920*100像素的图片!

博客底图:

图片格式为PNG、JPG,不超过1MB,可上下左右平铺至整个背景

栏目图:

图片格式为PNG、JPG,图片宽度*高度为300*38像素,不超过0.5MB

主标题颜色:

RGB颜色,例如:#AFAFAF

Hover:

RGB颜色,例如:#AFAFAF

副标题颜色:

RGB颜色,例如:#AFAFAF

自定义博客皮肤

-+
  • 博客(251)
  • 资源 (3)
  • 收藏
  • 关注

原创 Spring Boot 从接口设计到业务编排

Spring Boot 在企业级项目中的真正价值,从来不是“自动装配”或者“快速启动”。这些只是工具层面的便利性,而项目能否真正落地,决定因素永远是:后端能否提供稳定、统一、可扩展的接口给前端调用业务逻辑是否清晰、可维护、便于扩展数据库访问是否规范、可靠、性能可控项目结构是否合理,后期迭代是否轻松换言之,一个优秀的 Spring Boot 项目,应该是一套围绕“业务目标”而构建的工程体系。

2025-12-04 15:52:33 720

原创 我们是不是过度神化了大模型?

当我们回望这场大模型浪潮,会发现它既是一场技术革命,也是一场认知误导。我们看到了语言的奇迹,却忽略了理解的幻觉;我们沉醉于AI的流畅表达,却忘记它仍是一台概率机器。真正的危险,不在于AI有多聪明,而在于我们有多愿意相信它聪明。

2025-10-13 13:40:25 1003

原创 我用100个案例学会了AI+Python提效

凌晨两点,我还在整理会议纪要。那一刻,我只想问一句——这些重复工作,机器为什么不能帮我做?在信息爆炸、任务繁重的今天,人力早已被日常琐碎消耗殆尽。而在AI与Python技术迅速普及的时代,真正高效的人,早已学会让工具替自己工作。

2025-10-13 11:36:45 791 1

原创 GPT-5 全面解析与 DeepSeek 实战对比:推理、工具调用、上下文与成本

GPT-5 发布,统一系统与推理能力显著升级:400K 上下文、minimal reasoning、verbosity、新的 Custom Tools 与并行工具链。本文以工程师视角对比 GPT-5 与 DeepSeek,并给出可复制的实战方案与选型策略。文末有萌新推荐书籍,不容错过!

2025-08-08 17:02:39 3886 1

原创 力扣热门算法题 214.最短回文串,221.最大正方形,233.数字1的个数

​力扣热门算法题 214.最短回文串,221.最大正方形,233.数字1的个数,每题做详细思路梳理,配套Python&Java双语代码, 2025.07.07 可通过leetcode所有测试用例。​

2025-07-11 16:15:18 711

原创 力扣热门算法题 204.计数质数,207.课程表,213.打家劫舍II

​力扣热门算法题 204.计数质数,207.课程表,213.打家劫舍II,每题做详细思路梳理,配套Python&Java双语代码, 2025.07.07 可通过leetcode所有测试用例。

2025-07-11 14:44:31 1051

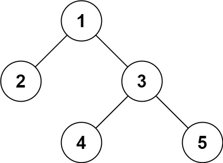
原创 彻底搞懂二叉树的前序、中序、后序遍历

在学习和使用数据结构时,二叉树是最基础、也最容易考察的结构之一。而遍历方式,则是二叉树应用的入口。所谓「遍历」,是指按照某种规则,依次访问树中的每一个节点。而在众多遍历方式中,前序、中序、后序遍历是最经典、最基础、也最常用的三种。

2025-07-10 17:15:15 2353

原创 力扣热门算法题 136.只出现一次的数字,139.单词拆分,141.环形链表

​力扣热门算法题 136.只出现一次的数字,139.单词拆分,141.环形链表,每题做详细思路梳理,配套Python&Java双语代码, 2025.07 可通过leetcode所有测试用例。​

2025-07-10 14:56:59 1104

原创 力扣热门算法题 127.单词接龙,128.最长连续序列,130.被围绕的区域

​力扣热门算法题 127.单词接龙,128.最长连续序列,130.被围绕的区域,每题做详细思路梳理,配套Python&Java双语代码, 2025.07.07 可通过leetcode所有测试用例。​

2025-07-10 14:28:02 1176

原创 力扣热门算法题 168.Excel表列名称,172.阶乘后的零,173.二叉搜索树迭代器

​力扣热门算法题 168.Excel表列名称,172.阶乘后的零,173.二叉搜索树迭代器,每题做详细思路梳理,配套Python&Java双语代码, 2025.07.07 可通过leetcode所有测试用例。​

2025-07-09 14:04:12 1172

原创 力扣热门算法题 164. 最大间距,165.比较版本号,166.分数到小数

摘要 164. 最大间距 题目要求对无序数组排序后找出相邻元素的最大差值,且需线性时间完成。使用桶排序思想:计算最小值和最大值,确定桶大小和数量,将元素分配到桶中,最后比较相邻非空桶的最小值与前一桶的最大值之差。Python和Java实现均通过初始化桶数组并遍历求解。 165. 比较版本号 比较两个版本号字符串,按修订号逐项对比。分割版本号后,将修订号转为整数,补齐较短版本,从左到右比较。若修订号相等且长度不同,缺失部分视为0。Python用split和int转换,Java用split和parseInt,通

2025-07-09 13:45:48 1037

原创 漫谈深度伪造(Deepfake)技术

近年来,深度伪造(Deepfake)技术迅猛发展,以惊人的真实度重构人物语言与影像,广泛应用于娱乐、广告乃至政治传播,但也频繁伴随诈骗、隐私泄露与名誉毁损。该技术依赖于人工智能中的生成模型,通过深度学习重构目标人物面部图像与音频,形成以假乱真的视频内容。本质上,Deepfake 是以图像/音频生成算法为内核,在 GAN(生成对抗网络)等基础模型的支持下,通过大规模数据训练模型“模仿”目标对象。由于生成内容的真实性日益提高,普通人难以肉眼识别真伪,其潜在风险日益凸显,尤其在个人隐私、安全、舆论操控、金融欺

2025-07-07 11:17:29 3291 1

原创 大模型原理、架构与落地

近年来,大模型(Large Language Models,LLMs)在人工智能领域迅猛发展,从GPT-3到GPT-4、Claude、Gemini、文心一言、GLM等模型相继发布,大模型已逐渐走出实验室,迈向产业落地。本文将从技术原理、模型架构、训练技巧、推理优化到实际应用进行系统剖析,帮助读者深入掌握大模型相关知识,全面提升AI实战能力。

2025-06-10 16:45:05 1126

原创 零基础起步:基于GpuGeek的文本生成模型实战

在自然语言处理(NLP)领域,文本生成任务广泛应用于问答系统、智能摘要、内容创作等方向。本文将带领读者使用GpuGeek平台,从注册、上传数据到实例部署与训练,完整构建一个基于GPT2模型的文本生成系统,实战掌握AI模型的云端开发流程。

2025-05-14 12:04:05 9806 56

原创 基于GpuGeek平台的深度学习项目

在深度学习项目的开发过程中,计算资源的选择对模型训练效率和成本控制至关重要。本文将以图像分类项目为例,详细解析如何利用GpuGeek平台的高性价比GPU资源和丰富的镜像市场,完成从数据预处理到模型部署的全流程,帮助读者高效推进深度学习项目。

2025-05-14 11:44:42 9927 58

原创 拆解 Prompt 工程:五大场景驱动 DeepSeek 超越 ChatGPT

同样的模型、不一样的答案,差距往往发生在一行 Prompt 里。本文围绕五大高频实战场景,给出可直接复制的 DeepSeek 提问框架,并穿插《DeepSeek 行业应用大全》中 66 个行业模板精华,帮助读者迅速跑赢 ChatGPT。🌟

2025-05-07 17:02:21 1842

原创 DeepSeek 入门:从注册到首轮对话全流程

DeepSeek 作为定位「国民级 AI」的大语言模型,正试图让中文人工智能能力触手可及。很多读者第一次打开网页却卡在注册、提示词或插件配置细节。本篇将以全流程拆解方式,帮助大家十分钟上手并完成首轮高质量对话,为后续深度应用打下基础。文末有重磅推荐!!!

2025-05-07 16:43:53 1334 2

原创 【金仓数据库征文】从 HTAP 到 AI 加速,KingbaseES 的未来之路

国产数据库早已实现 “可替代”,但要真正与国际头部厂商掰手腕,必须在 HTAP(Hybrid‑Transaction/Analytical Processing)与 AI 加速 两条技术赛道上实现跨越。KingbaseES 自 V8R3 调整为多进程架构后,历经 V8R6、KSOne 等产品层迭代,正在形成覆盖事务、分析、向量检索的一体化数据平台。本文基于官网文档、社区实践案例与作者内部测试数据,系统梳理 KingbaseES 的 HTAP 架构、关键特性和性能现状,进一步提出面向 AI 场景的向量引擎

2025-04-23 15:51:07 28205 60

原创 【金仓数据库征文】从Oracle到KingbaseES的语法兼容与迁移

随着“信创”战略的深入推进,国产数据库逐渐成为IT系统的重要组成部分。KingbaseES(金仓数据库)凭借其良好的Oracle兼容性和日益完善的生态,成为金融、政务等核心行业国产化替代的重要选项。本文将从语法兼容性分析出发,系统梳理从Oracle迁移至KingbaseES的全过程,分享迁移中遇到的典型问题与实战解决方案,帮助读者顺利完成系统国产化落地。

2025-04-23 15:13:29 28931 53

原创 玩转代理 IP :实战爬虫案例

在现代互联网环境下,爬虫不仅是数据获取的利器,也成为应对网站反爬机制的技术博弈。而在这场博弈中,"代理 IP" 是核心武器之一。本文将以高匿名的代理ip为核心,结合 Python 实战、代理策略设计、高匿技巧与反封锁优化,全面拆解代理 IP 技术的实际应用路径,并通过完整案例实现一个稳定、高效、抗封锁的爬虫系统。

2025-04-10 17:00:02 2692 9

原创 数据采集爬虫三要素:User-Agent、随机延迟、代理ip

做爬虫的朋友都懂:你刚打开一个页面,还没来得及发第二个请求,服务器已经把你当成了“可疑流量”。403、429、验证码、JS挑战……这些“欢迎仪式”你是不是也经常收到?防爬策略越来越猛,采集工程师越来越秃。

2025-04-10 14:59:06 3714 5

原创 原理剖析 + 实战教程 + 资源优化总结大模型微调实战:LoRA / QLoRA / PEFT 全解析,教你低成本玩转大模型微调

随着大语言模型(LLM)在自然语言处理各领域取得突破性进展,越来越多开发者和企业开始关注模型的微调方式。然而,全参数微调不仅成本高昂、资源要求极高,还容易引发过拟合与知识遗忘等问题。为此,LoRA、QLoRA、PEFT 等轻量级微调技术迅速崛起,成为大模型落地实践的热门选择。

2025-04-10 13:24:02 2122 5

原创 1.5万字彻底讲透Transformer:从Attention原理到大模型训练实战

Transformer是现代深度学习的核心架构之一,广泛应用于自然语言处理、计算机视觉等领域。本文将从Attention原理讲起,逐步拆解Transformer架构,结合BERT、GPT等主流模型,通过实战示例讲透大模型训练的完整流程。

2025-03-28 10:29:03 2164 1

原创 爬虫不“刑”教程

在大数据时代,信息的获取至关重要,而网络爬虫正是帮助我们从互联网上获取海量数据的重要工具。无论是数据分析、人工智能训练数据,还是商业情报收集,爬虫技术都能发挥重要作用。本篇文章将全面解析 Python 爬虫的各个方面,从基础知识到高级应用,带领读者掌握爬虫开发的核心技能。

2025-03-03 17:30:33 3084 4

原创 混个眼熟,来见见SQL中那些不常见的关键字

在日常SQL开发中,我们经常使用SELECT、UPDATE、DELETE、INSERT等常见关键字,但SQL标准中还有许多不常见却非常实用的关键字,这些关键字在特定场景下可以极大地优化查询性能或提供额外功能。本文将介绍一些鲜为人知但值得掌握的SQL关键字,并通过查询示例加深理解。

2025-02-13 17:17:02 2013 8

原创 金三银四冲刺力扣热门算法题!50. Pow(x, n)

本题要求实现 pow(x, n),即计算 x 的 n 次幂 x^n。提供python、Java、C三语答案解析

2025-02-12 10:45:34 1242 3

原创 金三银四冲刺力扣热门算法题!134. 加油站问题

本题要求找出能够绕环路一圈的起始加油站编号,或者返回 -1 表示无法完成一圈。提供python、Java、C三语答案解析

2025-02-11 13:54:34 631 1

原创 金三银四冲刺力扣热门算法题!380. O(1) 时间插入、删除和获取随机元素

本题要求实现一个数据结构 RandomizedSet,它需要支持以下操作,并且所有操作的 平均 时间复杂度必须是 O(1)

2025-02-11 13:25:02 1135

原创 10 个进阶 Python 编程技巧

Python 作为一门强大的编程语言,不仅适用于初学者,同时也为进阶开发者提供了丰富的高级特性和优化技巧。如果你已经掌握了 Python 的基础语法,希望进一步提升代码质量、优化性能,甚至编写更 Pythonic(符合 Python 习惯)的代码,那么本篇文章将为你提供 10 个实用的 Python 进阶技巧。

2025-02-10 15:01:47 767 1

原创 提升 Python 能力的 10 个小技巧

Python 作为一门强大且易学的编程语言,广泛应用于数据科学、人工智能、自动化、Web 开发等多个领域。然而,想要从 Python 初学者成长为高效的开发者,不仅需要掌握基础语法,还需要不断优化编程思维,提高代码质量,熟练使用工具。本文总结了 10 个实用的小技巧,帮助你更快提升 Python 编码能力,让代码更简洁、高效、可读性更强。        

2025-02-10 14:43:36 1248

原创 Python 入门:文件操作、读写、管理

在计算机程序开发中,文件操作是非常重要的部分。无论是处理文本文件(如 .txt、.csv、.json)还是二进制文件(如 .jpg、.pdf),掌握 Python 的文件操作能力能极大地提高数据处理和存储的效率。

2025-02-08 14:31:25 596 1

原创 Python 入门:函数与模块

函数是 Python 代码的基本组织单位,它允许我们将常用的代码封装在一个独立的块中,并在需要时调用,而不需要重复编写相同的代码。而模块则是由多个 Python 文件组成的结构化代码集合,它允许我们对代码进行更好的管理,并且可以与他人共享。

2025-02-08 14:29:27 909 1

原创 Python 入门:条件判断与循环语句

在编程中,我们经常需要根据不同的条件执行不同的操作(如 if-else 语句),或者重复执行某些代码(如 for 和 while 循环)。这些控制流语句让程序变得更加灵活和高效,使得我们能够编写更加智能的程序。

2025-02-08 13:32:38 971 1

原创 Python 入门:基础语法与数据类型

理解 Python 的基础语法是编写代码的第一步,而掌握数据类型和变量则是 Python 编程的基础。数据类型决定了变量可以存储的数据种类,而变量则是编程中的基本单元。无论是数学计算、字符串处理,还是数据存储和处理,都离不开数据类型。

2025-02-08 11:58:42 801

原创 搞懂数据库事务性

数据库是现代应用的关键支柱,而“事务”更是数据库赖以保证一致性与正确性的核心机制。很多读者在使用MySQL、PostgreSQL等关系型数据库时,仅停留在“BEGIN、COMMIT、ROLLBACK”的表面操作,对事务背后的原理与实现细节了解不多。本文将从ACID特性、隔离级别、多版本并发控制(MVCC)到常见陷阱、优化策略等方面,深度剖析数据库的事务性,帮助大家在实际开发和运维中做到心中有数、下手不慌。

2025-02-07 14:13:12 1712 3

原创 编程语言里变量都有存储地址,而数据库为什么偏偏“不关心”每条数据的地址?

在学习C语言编程时,大家会接触到“每个变量都有自己的存储地址”这一概念:通过指针可以访问变量在内存中的地址。然而,到了数据库领域,明明是用来存储海量数据的系统,却似乎对每条数据的具体存储地址“无动于衷”。究竟是什么原因,让数据库与C语言的思路截然不同?

2025-02-07 13:28:11 1420 2

原创 SQL 中的谓词逻辑

在 SQL 查询语言中,谓词(Predicate)是用于 评估条件并返回布尔值(TRUE、FALSE 或 UNKNOWN) 的表达式。谓词在 SQL 语句中被广泛应用,尤其是在 WHERE、HAVING、JOIN、CASE 语句中,用于筛选数据、定义逻辑和执行条件操作。

2025-02-06 14:41:53 1470

原创 SQL 中不能轻视的 HAVING 子句

SQL 是一种强大的数据库查询语言,它允许我们在大量数据中搜索、计算和汇总信息。在查询中,对数据进行过滤是常见的需求,当我们在过滤时,常用 WHERE 和 HAVING。这两者的区别看似简单,但在实际应用中并不容易分清。

2025-02-06 14:33:45 3150

原创 SQL条件分支中的大讲究

在SQL中,条件分支用于根据不同的条件执行不同的操作,适用于数据查询、数据更新以及存储过程等场景。合理使用SQL条件分支,可以优化数据操作流程,提高代码的可读性和可维护性。

2025-02-06 13:47:21 939

原创 ARP地址解析协议的原理与应用

在计算机网络通信中,IP 地址是网络层的核心地址,而 MAC 地址是数据链路层的关键标识符。由于设备在本地网络(LAN)中通信时依赖 MAC 地址,而 IP 地址是逻辑分配的,两者并不能直接互通。因此,需要一种机制将 IP 地址解析为 MAC 地址,这就是 ARP(Address Resolution Protocol,地址解析协议)的作用。ARP 是以太网环境下的必备协议,决定了本地网络通信是否能顺利进行。

2025-02-05 16:47:30 853 1

从0到1搭建推荐系统 - 数据驱动的算法与架构设计(带数据集)

item_features_data_expanded

2025-01-15

从0到1搭建推荐系统 - 数据驱动的算法与架构设计(带数据集)

user_item_data_expanded

2025-01-15

从0到1搭建推荐系统 - 数据驱动的算法与架构设计(带数据集)

user_profiles_data_expanded

2025-01-15

销售记录数据,包括订单ID、产品种类、销售额、利润、客户区域等

Order_ID: 订单编号 Product_Category: 产品类别(例如电子产品、家具、服装等) Sales_Amount: 销售金额(范围 10 至 500) Profit: 利润(可能为负数) Region: 销售区域(北、南、东、西) Order_Date: 订单日期(涵盖 2023 年)

2024-12-31

从零开始学习构建自己的机器学习模型 - 带垃圾短信识别实战

垃圾短信数据集

2024-12-06

学生信息管理系统-python3.6

系统包含: 1 录入学生信息 2 查找学生信息 3 删除学生信息 4 修改学生信息 5 排序 6 统计学生总人数 7 显示所有学生信息 0 退出系统 通过学生信息管理系统的治理,大大的提高了工作效率和人才的利用率,使之制造了更大价值;减少了工作人员,同时减少了学校开支;人才利用率的提高,适应了信息时代的网络化治理要求。

2023-01-03

超市销售数据分析.csv

数据挖掘、数据统计、数据库应用甚至练习表格操作均可,CSV格式绿色环保,可转文本可转表格,易于操作,4.2w条数据,来源于生活,更便于统计,更容易发现数据规律(我自己只找过两三个指标)。 数据字段:顾客编号 大类编码 大类名称 中类编码 中类名称 小类编码 小类名称 销售日期 销售月份 商品编码 规格型号 商品类型 单位 销售数量 销售金额 商品单价 是否促销。 数据样例: 0 12 蔬果 1201 蔬菜 120109 其它蔬菜 20150101 201501 DW-1201090311 生鲜 个 8 4 2 否 实际数据四万余条,是整齐的,好看好用,Excel打开也能直接用。

2022-07-30

大数据开发相关技术面试题

文件共有七部分组成,分别是spark、hive、Hbase、flink、zookeeper、Hadoop、kafka。包含了各部分组件的基础概念,寻常提问方向,通过大量前人实际总结归纳整理。从理论基础开始,拥抱大数据。

2022-07-30

数据仓库面试题.pdf

一文带你速通数据仓库,作为大数据的发展基础,数据库已不再适合装载海量数据,新的概念数据仓库应运而生,而伴随一起的,还有大量的数据仓库相关技术岗位,了解数据仓库面试重点,归纳梳理重点问题,基础理论牢记于心,助力你拿下心仪offer!

2022-07-30

空空如也

TA创建的收藏夹 TA关注的收藏夹

TA关注的人

提示
确定要删除当前文章?
取消 删除