难度评级:简单
给你二叉树的根节点 root ,返回它节点值的 前序 遍历。
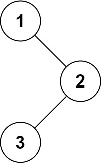
示例 1:
输入:root = [1,null,2,3] 输出:[1,2,3]
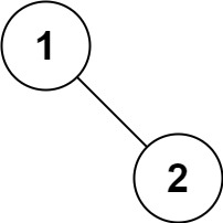
示例 2:
输入:root = [1,null,2] 输出:[1,2]
题解思路:DFS与递归,或者采用栈(非递归)
本文采用的是递归DFS实现,先序遍历表现形式为根-左-右,基本思路为通过调用函数,判断当前节点是否为空,为空结束当层递归,回到上层,非空输出根节点;分别先后遍历左子树与右子树即可。
题解代码如下:
/**
* Definition for a binary tree node.
* struct TreeNode {
* int val;
* TreeNode *left;
* TreeNode *right;
* TreeNode() : val(0), left(nullptr), right(nullptr) {}
* TreeNode(int x) : val(x), left(nullptr), right(nullptr) {}
* TreeNode(int x, TreeNode *left, TreeNode *right) : val(x), left(left), right(right) {}
* };
*/
class Solution {
public:
vector<int> res; // 定义返回vector
void prime_dfs(TreeNode* root){
if (root == NULL){ // 判空
return;
}
res.push_back(root->val); // 输出根节点
prime_dfs(root->left); // 遍历左子树
prime_dfs(root->right); // 遍历右子树
}
vector<int> preorderTraversal(TreeNode* root) {
prime_dfs(root);
return res;
}
};


1214

被折叠的 条评论
为什么被折叠?



