计算机毕业设计ssm高校教师授课管理系统ees84540(配套有源码 程序 mysql数据库 论文)本套源码可以先看具体功能演示视频领取,文末有联xi 可分享
随着高等教育的不断发展,高校教师授课管理的需求日益增长。传统的授课管理方式存在诸多不便,如信息查询繁琐、课程安排不灵活、教学资源分散等,严重影响了师生的教学和学习体验。因此,开发一个高效、便捷的高校教师授课管理系统显得尤为重要。该系统旨在通过信息化手段,实现授课信息的快速查询、课程安排的灵活管理、教学资源的集中整合,为师生提供一个全面、便捷的教学管理平台。
系统功能介绍
高校教师授课管理系统具备以下功能:
-
用户注册与登录:用户可以注册账号并登录系统,享受个性化的服务。
-
系统首页:展示系统的主要功能和信息,提供快速导航。
-
教师管理:管理员可以添加、修改、删除和查询教师的信息,包括教师账号、姓名、性别、学院、专业、联系电话等。
-
学生管理:管理员可以添加、修改、删除和查询学生的信息,包括学号、姓名、性别、专业、学院、手机等。
-
课程信息管理:管理员可以添加、修改、删除和查询课程信息,包括课程名称、学院、专业、封面、开课时间、上课地点、课时、教师账号、教师姓名、点击次数、评论数、收藏数等。
-
学生选课管理:管理员可以查看和管理学生的选课信息,包括课程名称、学院、专业、封面、选课时间、教师账号、教师姓名、学号、姓名、审核回复、审核状态等。
-
咨询教师管理:管理员可以查看和管理学生的咨询信息,包括咨询标题、咨询时间、教师账号、教师姓名、学号、姓名、头像、回复内容等。
-
教学评价管理:管理员可以查看和管理教学评价信息,包括评价编号、课程名称、封面、教师账号、教师姓名、评价课程、教学质量、满意程度、评价时间、学号、姓名、专业、学院等。
-
教学资源管理:管理员可以添加、修改、删除和查询教学资源信息,包括资源名称、资源类型、资源文件、图片、上传时间、教师账号、点击次数、收藏数等。
-
资源类型管理:管理员可以添加、修改、删除和查询资源类型信息。
-
个人中心:用户可以查看和修改自己的个人信息,包括修改密码、查看选课信息、咨询教师、教学评价、我的收藏等。
系统设计与实现
本系统采用B/S架构,以Java语言作为主要开发语言,结合SSM(Spring、SpringMVC、MyBatis)框架,使用MySQL数据库进行数据管理。前端则采用HTML、CSS、JavaScript和Vue.js进行构建,这些技术使得用户界面的交互性和友好性得到了大大提升。系统分为前台用户界面和后台管理界面。前台用户界面主要提供课程信息查询、教学资源浏览、个人中心管理等功能,使用户能够方便地获取相关信息。后台管理界面则为管理员提供了强大的管理工具,包括教师管理、学生管理、课程信息管理、学生选课管理、咨询教师管理、教学评价管理、教学资源管理等,帮助管理员高效地管理高校教师授课工作。
功能总结
高校教师授课管理系统通过整合先进的技术,实现了高校教师授课管理的智能化、自动化和信息化。系统不仅提高了管理效率,还规范了管理流程,减少了人为错误。通过用户注册与登录、系统首页、教师管理、学生管理、课程信息管理、学生选课管理、咨询教师管理、教学评价管理、教学资源管理、资源类型管理、个人中心等功能,系统为高校教师授课提供了一个全面、高效的工作平台。同时,系统管理功能增强了系统的安全性和稳定性,确保了数据的完整性和保密性。总体而言,该系统是提升高校教师授课管理效率、优化管理流程的重要工具,具有重要的现实意义和应用价值。
注:完成的毕业设计程序以下面的的环境软件、功能图和界面为准。
系统所需要的环境软件:idea、eclipse+mysql5.7、8.0+Navicat+JDK1.8+tomcat7.0
一个用例图就能对应出系统中的一个功能过程,系统中完整的功能都是由许多不同的用例图所组成的。
系统用例图如图3-1、图3-2、图3-3所示。
图3-1 管理员用例图
图3-2学生用例图
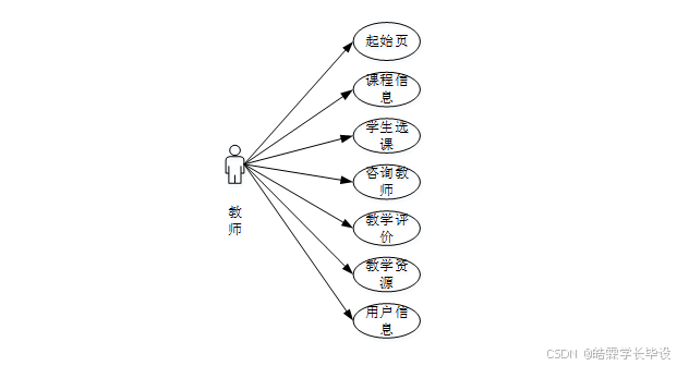
图3-3 教师用例图
一般个人学生、教师和管理员都需要登录才能进入高校教师授课管理系统,使用者登录时会在后台判断使用的权限类型,包括一般使用者和管理者,一般使用者只能对高校教师授课提供查阅和个别使用信息内容的查看,而管理者则能对多个信息内容提供使用。
整体系统的主要功能模块如图4-1:

图4-1 高校教师授课管理系统功能图
4.2 系统登录模块设计
用户在启动操作系统时会调用的一个模块。该模型通过用户输入的账号、密码来确定应用的类别,切换到该类应用的页面。
本模块的功能点包括:
1)确定账号与密码是否一致。
2)完全按照系统所规定使用权限的权限类型,直接通过登陆进入到系统权限的制定管理页面中即可进行授权使用。
登录模块流程图如图4-2:

管理静止网站时是由WEB客户端向Web传送静态页面,而Web客户端直接对所传送的静态页面进行管理。
实现动态网页数据库信息查询请求的最基本处理流程概括为:当一个WEB用户成功向动态网页服务器数据库发送信息请求成功后,对其动态页面库的一种主要的处理实现方法之一是,屏蔽掉其中所有动态HTML代码,只须使用一个动态的动态网页文件,由动态Web浏览器程序直接地在该数据库服务器上进行传递动态信息,然后再通过该数据库服务器的处理程序返回到信息集,由该Web应用服务器处理程序再一次将包含动态程序代码在内的动态页面,转化为一个静态页面信息并自动返回到网页浏览器。也就是网站在这个动态页里对网页信息自动进行检索并最终把这些信息自动返回传递到网站用户处的这个全自动化过程。
数据库查询示意图如图4-3:

图4-3 数据库查询示意图
数据库设计阶段目标表见表4-4:
表4-4 数据库设计阶段目标表
|
目标 | |
|
概念设计 |
了解功能需求,通过分析系统功能定义出系统有哪些实体联系图(即E-R图) |
|
逻辑设计 |
把E-R图转换成能处理的逻辑模型,检查是否满足第三范式的要求 |
|
物理设计 |
基于基本数据模型,生成适用于应用系统的物理结构 |
4.3.1 E-R图设计
根据以上分析,本系统中包含多个实体,根据他们以及他们的关系绘制出E-R图如下:
- 学生信息实体如下图4-5:

图4-5学生信息实体示例图
- 教师信息实体如下图4-5:

图4-5教师信息实体示例图
- 咨询教师实体如下图4-6:

图4-6咨询教师实体示例图
- 学生选课实体如下图4-7:

图4-7学生选课实体示例图
- 高校教师授课管理系统总体E-R图 如图4-6所示:

图4-7高校教师授课管理系统总体E-R图
- 系统实现
5.1 前台学生功能模块实现
当学生打开系统的网址后,首先看到的就是首页界面。在这里,学生能够看到高校教师授课管理系统的导航条显示系统首页、课程信息、教学资源、个人中心 。系统首页界面如图5-1所示:

图5-1系统首页界面
在注册流程中,学生在Vue前端填写必要信息(如学号、密码等)并提交。前端将这些信息通过HTTP请求发送到Java后端。后端处理这些信息,检查用户是否唯一,并将新学生数据存入MySQL数据库。完成后,后端向前端发送注册成功的确认,前端随后通知学生完成注册。这个过程实现了新用户的数据收集、验证和存储。如图5-2所示:

图5-2学生注册界面图
以下是学生注册的代码:
<script>
export default {
data() {
return {
ruleForm: {
},
pageFlag : '',
tableName:"",
rules: {},
};
},
mounted(){
this.pageFlag = this.$storage.get("pageFlag");
let table = this.$storage.get("loginTable");
this.tableName = table;
},
created() {
},
destroyed() {
},
methods: {
// 获取uuid
getUUID () {
return new Date().getTime();
},
close(){
this.$router.push({ path: "/login" });
},
yonghutouxiangUploadChange(fileUrls) {
this.ruleForm.touxiang = fileUrls;
},
// 多级联动参数
// 注册
login() {
var url=this.tableName+"/register";
if((!this.ruleForm.yonghuzhanghao) && `yonghu` == this.tableName){
this.$message.error(`用户账号不能为空`);
return
}
if((!this.ruleForm.yonghuxingming) && `yonghu` == this.tableName){
this.$message.error(`用户姓名不能为空`);
return
}
if((!this.ruleForm.mima) && `yonghu` == this.tableName){
this.$message.error(`密码不能为空`);
return
}
在登录流程中,学生首先在Vue前端界面输入账号和密码。这些信息通过HTTP请求发送到Java后端。后端接收请求,通过与MySQL数据库交互验证用户凭证。如果认证成功,后端会返回给前端,允许用户访问系统。这个过程涵盖了从用户输入到系统验证和响应的全过程。如图5-3所示:

图5-3 学生登录界面
以下是学生登录的代码:
mounted() {
let menus = menu.list();
this.menus = menus;
for (let i = 0; i < this.menus.length; i++) {
if (this.menus[i].hasBackLogin=='是') {
this.roles.push(this.menus[i])
}
}
},
created() {
this.getRandCode()
},
destroyed() {
},
components: {
},
methods: {
//注册
register(tableName){
this.$storage.set("loginTable", tableName);
this.$storage.set("pageFlag", "register");
this.$router.push({path:'/register'})
},
// 登陆
login() {
if (!this.rulesForm.username) {
this.$message.error("请输入用户名");
return;
}
if (!this.rulesForm.password) {
this.$message.error("请输入密码");
return;
}
if(this.roles.length>1) {
if (!this.rulesForm.role) {
this.$message.error("请选择角色");
return;
}
let menus = this.menus;
for (let i = 0; i < menus.length; i++) {
if (menus[i].roleName == this.rulesForm.role) {
this.tableName = menus[i].tableName;
}
}
} else {
this.tableName = this.roles[0].tableName;
this.rulesForm.role = this.roles[0].roleName;
}
学生点击课程信息,在课程信息页面的搜索栏输入课程名称等信息,进行查询,还可以查看课程名称、学院、专业、封面、开课时间、上课地点、课时、教师账号、教师姓名、点击次数,如有需要可以点击咨询教师或者评论等操作;如图5-4所示:

图5-4课程信息页面
学生点击教学资源,在教学资源页面的搜索栏输入资源名称、教师姓名等信息,进行查询,还可以查看资源名称、资源类型、资源文件、图片、上传时间、教师账号、点击次数、收藏数,如有需要可以点击下载或者评论等操作;如图5-5所示:

图5-5教学资源页面
学生点击个人中心,在个人中心页面可以修改个人信息、密码修改,还可以对学生选课、咨询教师、教学评价、我的收藏进行详细操作,如图5-6所示。

图5-6个人中心界面图
5.2后台管理员功能模块实现
本模块主要是使用者可以通过高校教师授课管理系统的首页进入该系统。用户输入正确的账号名和密码,一旦输入信息有错,将在系统显示错误提示,同时严禁系统用户做出其他动作。如果注册信息正确无误,系统就会按照使用者的身份信息做出有关权利的判定,学生进入前台系统,管理者则进入后台系统。管理员登录主页面如图5-7所示:

图5-7管理员登录主页面
管理员进入系统主页面,主要功能包括对起始页、学生、教师、学院信息、专业信息、课程信息、学生选课、咨询教师、教学评价、教学资源、资源类型、轮播图管理、用户信息等进行操作。管理员主页面如图5-8所示:

图5-8管理员主界面
学生信息功能在视图层(view层)进行交互,比如点击“新增”按钮或填写学生信息表单。这些学生信息动作被视图层捕获并作为请求发送给相应的控制器层(control1er层)。控制器接收到这些请求后,调用服务层(service层)以执行相关的业务逻辑,例如验证输入数据的有效性和与数据库的交互。服务层处理完这些逻辑后,进一步与数据访问对象层(DAO层)交互,后者负责具体的数据操作如搜索、新增、更新或删除学生信息,并将操作结果返回给控制器。最终,控制器根据这些结果更新视图层,以便学生信息功能可以看到最新的信息或相应的操作反馈。在学生信息页面的输入栏中输入学号、姓名、专业、学院进行搜索,可以查看到学生信息详细信息,并根据需要进行改动或者删除等操作。如图5-9所示:

图5-9学生界面
教师信息功能在视图层(view层)进行交互,比如点击“新增”按钮或填写教师信息表单。这些教师信息动作被视图层捕获并作为请求发送给相应的控制器层(control1er层)。控制器接收到这些请求后,调用服务层(service层)以执行相关的业务逻辑,例如验证输入数据的有效性和与数据库的交互。服务层处理完这些逻辑后,进一步与数据访问对象层(DAO层)交互,后者负责具体的数据操作如搜索、新增、更新或删除教师信息,并将操作结果返回给控制器。最终,控制器根据这些结果更新视图层,以便教师信息功能可以看到最新的信息或相应的操作反馈。在教师信息页面的输入栏中输入教师姓名、学院、专业进行搜索,可以查看到教师信息详细信息,并根据需要进行改动或者删除等操作。如图5-10所示:

图5-10教师界面
管理员点击课程信息,在课程信息页面对课程名称、学院、专业、封面、开课时间、上课地点、课时、教师账号、教师姓名、点击次数、评论数、收藏数等信息,可以查看评论或删除课程信息等操作。如图5-11所示:

图5-11课程信息界面
管理员点击学生选课,在学生选课页面对课程名称、学院、专业、封面、选课时间、教师账号、教师姓名、学号、姓名、审核回复、审核状态等信息,可以搜索或删除学生选课等操作。如图5-12所示:

图5-12学生选课界面
管理员点击咨询教师,在咨询教师页面对商咨询标题、咨询时间、教师账号、教师姓名、学号、姓名、头像、审核回复等信息,可以搜索或删除咨询教师等操作。如图5-13所示:

图5-13咨询教师界面
管理员点击教学评价,在教学评价页面对评价编号、课程名称、封面、教师账号、教师姓名、评价课程、教学质量、满意程度、评价时间、学号、姓名、专业、学院等信息,可以查询或删除教学评价等操作。如图5-14所示:

图5-14教学评价界面
管理员点击教学资源,在教学资源页面对资源名称、资源类型、资源文件、图片、上传时间、教师账号、点击次数、收藏数等信息,可以搜索或删除教学资源等操作。如图5-15所示:

图5-15教学资源界面
源码无偿分享,文未领取

被折叠的 条评论
为什么被折叠?



