计算机毕业设计ssm霍兰德职业测评系统az2wr3b5(配套有源码 程序 mysql数据库 论文)本套源码可以先看具体功能演示视频领取,文末有联xi 可分享
随着互联网技术的飞速发展,职业测评系统在帮助个人进行职业规划方面发挥着越来越重要的作用。霍兰德职业测评系统,由美国职业指导专家约翰·霍兰德(John Holland)根据其职业类型理论编制,旨在帮助个人了解自身的职业兴趣,从而选择适合的职业道路。这一系统认为个人的兴趣爱好与职业特征之间存在明显的内在对应关系,通过测试可以匹配到合适的职业岗位上。近年来,随着互联网技术的发展,研究者们试图结合现代技术设计并实现职业兴趣在线测评系统,以促进职业选择的最佳决策。
系统功能
-
用户注册与登录:用户可以通过填写必要信息注册账号,并通过用户名和密码登录系统。
-
人格类型浏览:用户可以浏览系统中的各类人格类型,包括人格类型描述、封面、发布日期、点击次数、收藏数等信息。
-
职业推荐浏览:用户可以浏览系统中的各类职业推荐,包括人格类型、职业类型、图片、发布日期、点击次数、评论数、收藏数等信息。
-
进行测评:用户可以进行霍兰德职业测评,系统会根据用户的答案生成测评报告,包括人格类型、职业推荐等。
-
在线咨询:用户可以进行在线咨询,向管理员或专家提问,获取职业规划建议。
-
个人中心管理:用户可以管理自己的个人信息,包括修改密码、查看考试记录、我的收藏等。
-
管理员功能:
-
用户管理:管理员可以添加、修改、删除用户信息。
-
人格类型管理:管理员可以添加、修改、删除人格类型信息。
-
职业类型管理:管理员可以添加、修改、删除职业类型信息。
-
职业推荐管理:管理员可以添加、修改、删除职业推荐信息。
-
进行测评管理:管理员可以添加、修改、删除测评信息。
-
问题选项管理:管理员可以添加、修改、删除问题选项信息。
-
系统管理:管理员可以进行系统配置和管理,如轮播图管理、在线咨询管理等。
-
考试记录管理:管理员可以查看、修改、删除考试记录信息。
-
功能总结
霍兰德职业测评系统是一个功能全面、用户友好的在线平台,旨在帮助个人了解自身的职业兴趣,从而选择适合的职业道路。系统不仅提供了用户注册与登录功能,还支持人格类型、职业推荐的浏览,以及进行测评、在线咨询等操作,方便用户快速找到并了解所需的职业信息。个人中心功能进一步增强了信息管理的便利性。对于管理员,系统提供了强大的管理功能,包括用户管理、人格类型管理、职业类型管理、职业推荐管理、进行测评管理、问题选项管理、系统管理、考试记录管理等,确保系统的高效组织和执行。通过这些功能,霍兰德职业测评系统能够显著提升职业规划的效率,减少时间和资源的浪费,帮助用户更好地进行职业选择和规划。
注:完成的毕业设计程序以下面的的环境软件、功能图和界面为准。
系统所需要的环境软件:idea、eclipse+mysql5.7、8.0+Navicat+JDK1.8+tomcat7.0
用例图,即以用户视角来描述本霍兰德职业测评系统的功能,前面已经分析了本霍兰德职业测评系统的总体设计,讨论了各个方面的需求。下面,将以管理员和用户为例。
管理员的用例图,如图3-1所示。

图3-1管理员用例图
用户的用例图,如图3-2所示。

图3-2 用户用例图
3.3系统流程设计
3.3.1 系统开发流程
霍兰德职业测评系统的设计和开发,首先要对用户的实际使用需求和具体情况进行细致的分析,分析出系统要完成的全部功能,然后再针对整个系统的工作流程和功能进行设计,力求每个模块都能够达到用户的要求,最后通过测试来解决问题,保证系统的稳定和正常的运转,本系统的开发流程如图3-3所示。

图3-3系统开发流程图
3.3.2 用户登录流程
登录流程实现了管理员和其他用户的登录,在登录页面需要用户填写自己的信息,前端页面会将信息传递给后端接口,然后查询数据库确定该身份有效后登录成功,否则此用户登录失败,需要重新填写信息,进行再次验证,如图3-4所示。

图3-4登录流程图
3.3.3 系统操作流程
系统操作流程分析是软件开发过程中的一个关键环节,它是整个系统整体的运行过程,必须保证其中的每一个步骤都是确定的,这样一个规范的流程图可以使开发者易于理解,快速的投入到接口开发中,从而提升系统开发效率。
同时,流程图还能减少开发者对系统操作流程产生歧义和降低沟通的成本,系统操作流程如图3-5所示。

图3-5系统操作流程图
3.3.4 添加信息流程
系统的正常运行离不开数据的支撑,因此,在本系统中添加了数据插入功能,数据库中数据的缺失,会直接影响到数据的查询结果,查询结果错误又会导致逻辑处理出现偏差,最终导致系统性错误或故障,所以在对系统进行数据添加操作时,必须要对数据进行合法性校验,确定此条数据是否有惟一的主关键字和字段是否允许为空等等,若数据库表中不允许某字段为空,而程序没有进行该字段非空逻辑校验,那么就会出现数据存储失败,可能因此造成严重系统后果。添加信息流程如图3-6所示。

图3-6添加信息流程图
3.3.5 修改信息流程
因为使系统的使用者是人,所以难免会有疏忽,从而造成系统输入的信息有误。或者由于其他原因导致数据发生改变,使得必须对系统内的数据进行相应的调整,所以在程序运行中,数据的修改操作是不可缺少的重要环节。
在进行数据更新时,必须要有一个惟一的主关键字,以便数据库能够查询到相应的数据;另外,还必须遵守数据插入过程的操作规范,以确保数据的正确性。修改信息流程图如图3-7所示。

图3-7修改信息流程图
3.3.6 删除信息流程
删除操作在系统中并非是必须的,可根据用户及系统的需要来决定是否添加删除功能,删除操作就是使用delete语句将数据库中的某一匹配数据删除,因为此操作会导致用户数据丢失,所以为了避免使用者误按删除键,应在用户点击删除按钮时添加一个提示确认弹窗,当用户确定要删除时,再进行数据库的操作,并且在删除操作完成后要对用户进行反馈。删除信息流程图如图3-8所示。

图3-8 删除信息流程图
4系统设计
4.1系统功能结构图
系统功能结构图是系统设计阶段,系统功能结构图只是这个阶段一个基础,整个系统的架构决定了系统的整体模式,是系统的根据。霍兰德职业测评系统的整个设计结构如图4-1所示。

图4-1系统功能结构图
4.2系统数据库设计
对于霍兰德职业测评系统而言,数据库中最核心的数据就是信息,并且有许多其他关联数据都储存于数据库中。随着时间推移,将发布大量信息于本系统中,届时数据库中也将蕴藏海量数据。一个优秀的数据库设计方案能在保证系统能够高效处理大量数据的同时保证系统的安全性。因此,在本霍兰德职业测评系统设计方案中将数据库的设计摆在重要位置,将数据库设计视为系统设计的重要内容。
4.2.1数据库E-R图
E-R图,是通过用户的想法将一些数据形成一种关系结构,这种关系结构也可视为一种概念模型,而数据库的数据处理可以通过概念模型表现直观反映出来。由于E-R图是从用户的角度设立的模型,因此系统E-R图具有很强的实践意义。
进行测评E-R图如图4-2所示:

图4-2进行测评E-R图
用户信息E-R图如图4-3所示:

图4-3用户信息E-R图
人格类型E-R图如图4-4所示:

图4-4人格类型E-R图
职业推荐E-R图如图4-5所示:

图4-5职业推荐E-R图
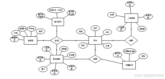
霍兰德职业测评系统总体E-R图如图4-6所示:

图4-6霍兰德职业测评系统总体E-R图
5 霍兰德职业测评系统的设计与实现部分
5.1注册登录界面
用户需要输入正确的用户名和密码后才可以登录系统并正常使用。如果是第一次使用的新用户,应当先进行账户的注册。注册和登录的界面应当设置便捷的跳转按钮。当用户输入的信息不正确时应当进行相应的提示。如登录时输入的账户有误,应当提示用户该账户不存在。同样的,操作时应该提供积极的反馈,避免用户重复操作。如新用户注册账户时,如果注册成功应该提示“注册成功”的消息栏。
当用户成功登录后,应该进入到系统的导航界面。
登陆界面利用表单输入,点击登录按钮会将表单通过相关接口提交给后台,后台验证通过会返回用户的对应Token信息,将Token信息存储到浏览器Session Stroge中,保证浏览器可以判断用户是否未登录状态。反之,如果该用户不存在,后台会返回对应的提示信息。
注册界面由用户名,密码组成,填写完整后通过相关接口提交,后台会将该用户信息存入Mysql数据库中,建立相关的表结构,返回注册成功code。
5.2前台用户功能模块
当游客打开系统的网址后,首先看到的就是首页界面。在这里,游客能够看到霍兰德职业测评系统的导航条显示系统主页、人格类型、职业推荐、进行测评、在线咨询、个人中心等。系统首页界面如图5-1所示:

图5-1 系统首页界面
当用户进入前台系统进行相关操作前必须先注册登录,在注册页面填写用户账号、密码等信息,前端将这些信息通过HTTP请求发送到Java后端。后端处理这些信息,检查用户名是否唯一,并将新用户数据存入MySQL数据库。完成后,后端向前端发送注册成功的确认,前端随后通知用户完成注册。这个过程实现了新用户的数据收集、验证和存储。用户注册界面如图5-2所示:

图5-2 用户注册界面
以下是用户注册代码:
<script> export default { data() { return { ruleForm: { }, pageFlag : '', tableName:"", rules: {}, }; }, mounted(){ this.pageFlag = this.$storage.get("pageFlag"); let table = this.$storage.get("loginTable"); this.tableName = table; }, created() { }, destroyed() { }, methods: { // 获取uuid getUUID () { return new Date().getTime(); }, close(){ this.$router.push({ path: "/login" }); }, yonghutouxiangUploadChange(fileUrls) { this.ruleForm.touxiang = fileUrls; }, // 多级联动参数 // 注册 login() { var url=this.tableName+"/register"; if((!this.ruleForm.yonghuzhanghao) && `yonghu` == this.tableName){ this.$message.error(`用户账号不能为空`); return } if((!this.ruleForm.yonghuxingming) && `yonghu` == this.tableName){ this.$message.error(`用户姓名不能为空`); return } if((!this.ruleForm.mima) && `yonghu` == this.tableName){ this.$message.error(`密码不能为空`); return } if((this.ruleForm.mima!=this.ruleForm.mima2) && `yonghu` == this.tableName){ this.$message.error(`两次密码输入不一致`); return } if(`yonghu` == this.tableName && this.ruleForm.lianxidianhua&&(!this.$validate.isMobile(this.ruleForm.lianxidianhua))){ this.$message.error(`联系电话应输入手机格式`); return } if(this.ruleForm.touxiang!=null) { this.ruleForm.touxiang = this.ruleForm.touxiang.replace(new RegExp(this.$base.url,"g"),""); } this.$http({ url: url, method: "post", data:this.ruleForm }).then(({ data }) => { if (data && data.code === 0) { this.$message({ message: "注册成功", type: "success", duration: 1500, onClose: () => { this.$router.replace({ path: "/login" }); } }); } else { this.$message.error(data.msg); } }); } } };
用户登录,用户在登录页面通过填写账号、密码,完成登录,在登录流程中,用户首先在Vue前端界面输入用户名和密码。这些信息通过HTTP请求发送到Java后端。后端接收请求,通过与MySQL数据库交互验证用户凭证。如果认证成功,后端生成一个令牌(如JWT)并返回给前端,允许用户访问系统。这个过程涵盖了从用户输入到系统验证和响应的全过程。如图5-3所示:

图5-3用户登录页面
以下是用户登录代码:
mounted() { let menus = menu.list(); this.menus = menus; for (let i = 0; i < this.menus.length; i++) { if (this.menus[i].hasBackLogin=='是') { this.roles.push(this.menus[i]) } } }, created() { this.getRandCode() }, destroyed() { }, components: { }, methods: { //注册 register(tableName){ this.$storage.set("loginTable", tableName); this.$storage.set("pageFlag", "register"); this.$router.push({path:'/register'}) }, // 登陆 login() { if (!this.rulesForm.username) { this.$message.error("请输入用户名"); return; } if (!this.rulesForm.password) { this.$message.error("请输入密码"); return; } if(this.roles.length>1) { if (!this.rulesForm.role) { this.$message.error("请选择角色"); return; } let menus = this.menus; for (let i = 0; i < menus.length; i++) { if (menus[i].roleName == this.rulesForm.role) { this.tableName = menus[i].tableName; } } } else { this.tableName = this.roles[0].tableName; this.rulesForm.role = this.roles[0].roleName; } this.$http({ url: `${this.tableName}/login?username=${this.rulesForm.username}&password=${this.rulesForm.password}`, method: "post" }).then(({ data }) => { if (data && data.code === 0) { this.$storage.set("Token", data.token); this.$storage.set("role", this.rulesForm.role); this.$storage.set("sessionTable", this.tableName); this.$storage.set("adminName", this.rulesForm.username); this.$router.replace({ path: "/index/" }); } else { this.$message.error(data.msg); } }); }, getRandCode(len = 4){ this.randomString(len) }, randomString(len = 4) { let chars = [ "a", "b", "c", "d", "e", "f", "g", "h", "i", "j", "k", "l", "m", "n", "o", "p", "q", "r", "s", "t", "u", "v", "w", "x", "y", "z", "A", "B", "C", "D", "E", "F", "G", "H", "I", "J", "K", "L", "M", "N", "O", "P", "Q", "R", "S", "T", "U", "V", "W", "X", "Y", "Z", "0", "1", "2", "3", "4", "5", "6", "7", "8", "9" ] let colors = ["0", "1", "2","3", "4", "5", "6", "7", "8", "9", "a", "b", "c", "d", "e", "f"] let sizes = ['14', '15', '16', '17', '18'] let output = []; for (let i = 0; i < len; i++) { // 随机验证码 let key = Math.floor(Math.random()*chars.length) this.codes[i].num = chars[key] // 随机验证码颜色 let code = '#' for (let j = 0; j < 6; j++) { let key = Math.floor(Math.random()*colors.length) code += colors[key] } this.codes[i].color = code // 随机验证码方向 let rotate = Math.floor(Math.random()*60) let plus = Math.floor(Math.random()*2) if(plus == 1) rotate = '-'+rotate this.codes[i].rotate = 'rotate('+rotate+'deg)' // 随机验证码字体大小 let size = Math.floor(Math.random()*sizes.length) this.codes[i].size = sizes[size]+'px' } }, } };
用户点击人格类型,在人格类型页面的输入栏填写人格类型进行搜索,然后还可以查看人格类型、封面、发布日期、点击次数、收藏数等信息。还可以进行点赞等操作;如图5-4所示:

图5-4人格类型页面
用户点击职业推荐,在职业推荐页面的输入栏填写职业类型,进行搜索,然后还可以查看人格类型、职业类型、图片、发布日期、点击次数、评论数、收藏数等;还可以进行点赞等操作;如图5-5所示:

图5-5职业推荐页面
在个人中心页面可以输入个人详细信息,进行修改密码信息等操作,还可以对修改密码、考试记录、我的收藏进行操作。如图5-6所示。

图5-6个人中心界面
5.3后台管理员功能模块
后台管理员登录,在登录页面选择需要登录的角色,在正确输入用户名和密码后,点击登录操作;如图5-7所示。

图5-7后台管理员登录界面
管理员进入系统主页面,主要功能包括对系统首页、用户、人格类型、职业类型、职业推荐、进行测评管理、问题选项管理、系统管理、考试记录、个人资料等进行操作。管理员主页面如图5-8所示:

图5-8 管理员主界面
用户信息功能在视图层(view层)进行交互,比如点击“新增”按钮或填写用户信息表单。这些用户信息动作被视图层捕获并作为请求发送给相应的控制器层(control1er层)。控制器接收到这些请求后,调用服务层(service层)以执行相关的业务逻辑,例如验证输入数据的有效性和与数据库的交互。服务层处理完这些逻辑后,进一步与数据访问对象层(DAO层)交互,后者负责具体的数据操作如搜索、新增或删除用户信息,并将操作结果返回给控制器。最终,控制器根据这些结果更新视图层,以便用户信息功能可以看到最新的信息或相应的操作反馈。在用户信息页面的输入栏中输入用户账号、用户姓名进行搜索,可以查看到用户详细信息,并根据需要进行修改或者删除等操作;如图5-9所示:

图5-9用户管理界面
管理员点击人格类型:在人格类型页面,可以对人格类型、封面、发布日期、点击次数、收藏数等信息,进行搜索、新增或者删除人格类型等操作,如图5-10所示:

图5-10人格类型界面
管理员点击职业类型:在职业类型页面,可以对职业类型等信息,进行搜索、新增或者删除职业类型等操作,如图5-11所示:

图5-11职业类型界面
管理员点击职业推荐:在职业推荐页面,可以对人格类型、职业类型、图片、发布日期、点击次数、评论数、收藏数等信息,进行搜索或者新增、删除职业推荐等操作,如图5-12所示:

图5-12职业推荐界面
管理员点击进行测评管理:在进行测评管理页面,可以对进行测评名称、考试时长(分钟)、进行测评状态等信息,进行搜索、新增或者删除等操作,如图5-13所示:

图5-13进行测评管理界面
管理员点击问题选项管理:在问题选项管理页面,可以对进行测评、问题选项名称、类型等信息,进行搜索、新增或者删除问题选项等操作,如图5-14所示:

图5-14问题选项管理界面
管理员点击系统管理:在系统管理页面,可以对轮播图管理、在线咨询等信息,进行详情操作,如图5-15所示:

图5-15系统管理界面
源码无偿分享,文未领取
307

被折叠的 条评论
为什么被折叠?



