java-springboot基于微信小程序的健康饮食推荐系统66vp29rn计算机毕业设计(配套有源码 程序 mysql数据库 论文)
本套源码可以在文本联xi,先看具体系统功能演示视频领取,可分享源码参考。
外卖高油高盐、网红减肥餐千篇一律,体检报告上的“超重”“脂肪肝”让打工人瑟瑟发抖,却苦于没时间、没精力、没专业知识去规划一日三餐。把营养师装进微信,用小程序完成“身体数据录入→口味偏好选择→智能算法推荐→一键加入买菜清单”的闭环,让健康饮食像点外卖一样简单。系统后端采用 SpringBoot + MySQL,前端 uni-app 一次编译多端运行,推荐引擎引入协同过滤 + 内容标签混合算法,吃得科学不再靠玄学。
功能全集
-
用户:注册/登录、找回密码、头像、性别、年龄、邮箱、手机、健康状况标签
-
健康档案:身高、体重、心率、血压、血糖、BMI 自动计算、历史曲线
-
健康问卷与试题:问卷名称、答卷时长、试题库(单选/多选/判断/填空/主观)、选项 JSON、分值、正确答案、解析、排序、答卷记录、得分、批卷状态
-
健康状况:自定义标签,用于菜品与食谱过滤
-
饮食记录:食物名称、种类、饮食时间、图片、数量、文字备注、关联用户
-
饮食信息:菜品名称、图片、蛋白质、脂肪、热量、营养价值、点击/评论/收藏统计
-
食谱类型:多级分类、图标、排序
-
食谱信息:名称、类型、分类、热量、食材、制作视频、详情、点击/评论/收藏统计
-
健康资讯:标题、简介、分类、发布人、头像、点击/点赞/踩/收藏、富文本内容
-
健康评估:评估名称、用户、健康状况、图片、评估结果、饮食建议、评估时间
-
意见反馈:留言内容/图片、回复内容/图片
-
收藏表:对饮食、食谱、资讯一键收藏
-
轮播图:跳转链接、权重排序
-
配置 & 管理:站点参数、管理员、token、菜单 JSON
一句话总结:从问卷测评到档案建立,从饮食记录到智能推荐,从菜谱视频到营养分析,全流程小程序搞定,让“吃得健康”变成像发朋友圈一样顺手。
注:以上是纯课题毕业设计功能介绍,并非实际开发完成,最终开发完成的毕业设计程序以下面的的环境软件、功能图和界面为准。
系统所需要的环境软件:idea、eclipse+mysql5.7、8.0+Navicat+JDK1.8+tomcat7.0
3.1 可行性分析
为满足用户的需求,本章分析系统开发的可行性,将从技术、操作社会等方面来判断,然后通过需求分析、用例分析和系统流程分析来确定健康饮食推荐系统的功能。
3.1.1 技术可行性分析
健康饮食推荐系统在使用电脑和信息分析系统这些设计没有硬性要求,电脑只要是可以正常使用的话,那么代码和页面设计就是可行的。要求高的主要是服务器,平台上传服务器一定要选择性价比高和安全性高的,打开网站一定要顺滑不卡顿,所以硬件也是可行的。
所以,从以上可行性分析可得,本系统的开发使没有问题的。
3.1.2 操作可行性分析
将根据管理系统中的用户体验和管理员的效率来分析该措施的可行性。管理人员和用户都可以通过简单的操作登录进对应的系统页面,方便用户搜索业务信息和管理人员管理数据,不需要特别懂电脑的人也可以轻松访问系统模块。该系统已完全投入使用。
3.1.3社会可行性
广义上讲,社会可行性包括道德方面、法律方面和社会方面,每一个方面都会影响制度的形成。这个系统是独立的,不具有任何信息传播的性质,更不涉及道德层面、法律层面;本系统也没有触发法,没有赌博、黄色等类型的信息,也符合国家法律,不会显示任何触发法信息;就社会而言,本系统是一个轻量级的健康饮食推荐系统,方便用户提供更好的服务。它将给人们带来快速有效的查询功能,也具有一定的贡献意义。总的来说,该系统在社会上也是可行的。
3.2 需求分析
本健康饮食推荐系统是为了提高用户查阅信息的效率和管理人员管理信息的工作效率,可以快速存储大量数据,还有信息检索功能,这大大的满足了用户和管理员这两者的需求。操作简单易懂,合理分析各个模块的功能,尽可能优化界面,让用户和管理员能使用环境更好的系统。
对比要实现的功能来分析出用户的需求,可以让用户在线对其进行添加、修改、查看、删除,这不仅满足了用户的需求,还大大的节省了时间。因此,管理员的需求也应当考虑一下,尽可能提高管理员的工作效率。
3.3 项目设计目标
本防系统采用MySQL数据库和java语言,SpringBoot框架进行开发而成,极大程度上的保证了系统的稳定性。
3.3.1 关于系统的基本要求
(1)功能要求:管理人员可以对Dashboard,用户,健康档案,饮食记录,健康状况,健康评估,饮食信息,食谱信息,食谱类型,意见反馈,健康问卷管理,试题管理,系统管理,用户资料等功能进行管理。
(2)性能:可以准确无误的在不同的操作系统中登录到用户或者管理员的相应界面进行轻松的操作。
(3)环境要求:支持不同的操纵系统和不同的平台,可用于Windows系列、Vista系统等多种操作系统。
3.3.2 开发目标
本健康饮食推荐系统的主要开发目标如下:
(1)减少后台管理人员的工作量,对用户的信息进行系统的管理;
(2)必须要方便快捷的查看搜索信息并管理信息;
(3)用户是具有多样性的,所以界面要设置的简单明了,操作更要方便快捷。
3.4 系统用例分析
健康饮食推荐系统综合网络空间开发设计要求。目的是将健康饮食推荐从传统管理方式转换为在网上管理,完成健康饮食推荐管理的方便快捷、安全性高、交易规范做了保障,目标明确。健康饮食推荐系统可以将功能划分为管理员功能和用户功能。
(1)、管理员关键功能包含对Dashboard,用户,健康档案,饮食记录,健康状况,健康评估,饮食信息,食谱信息,食谱类型,意见反馈,健康问卷管理,试题管理,系统管理,用户资料等进行管理。管理员用例图如下:

图3-1 管理员用例图
(2)、用户关键功能包含对健康档案,饮食记录,健康评估,我的收藏,意见反馈,修改密码等进行管理。用户用例图如下:

图3-2 用户用例图
3.5 系统流程分析
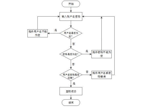
系统登录流程图如图所示3-3所示。

图3-3 系统登录流程图
用户和管理员可以添加信息,内容没有问题之后按下确定键就添加成功了。添加信息流程图如图3-4所示.

图3-4 添加信息流程图
用户可以选择把自己发布的信息删掉,选择要删除的文章确认之后,删除信息的操作就完成了。删除信息流程图如图3-5所示。

图3-5 删除信息流程图
3.6 本章小结
本章主要是对健康饮食推荐系统的可行性分析和所要实现的功能进行分析,在对一系列的系统可行性分析之后,又详细的讲述了项目的目标与原则,让人们深刻的了解健康饮食推荐系统的设计思想,之后重点对登录模块、添加模块和删除模块的流程进行了详细的图文介绍。
本章主要讲述的是健康饮食推荐系统的设计开发结构,简单介绍了开发流程与数据库设计的原则以及数据表的关系结构图,并且详细的展示了数据表的内部结构信息与属性。
4.1 系统体系结构
系统启动后,在登录界面,输入正确的账号密码,选择进入管理员界面或用户界面,管理员界面是用来管理页面与用户信息,用户界面可以正常的使用,系统登录结构图如图4-1所示。

图4-1 系统登录结构图
管理员模块属于是网站的后台,进入之后有大量的管理员功能,管理员也可以使用用户模块的功能,为了维护网站的稳定与页面的布局,将管理员模块的功能详细化后可以使用系统管理对页面进行布局修改。用户模块只可以修改个人信息,对健康档案,饮食记录,健康评估,我的收藏,意见反馈,修改密码等进行操作,健康饮食推荐系统总体结构图如图4-2所示。

图4-2 系统总体结构图
4.2 数据库设计原则
数据库设计之后,根据数据库关系,可以更加清晰地了解到数据库结构,每一个数据表之间的关系,再创建数据表。快速更改和查询对应的信息,有了数据库就不用在程序和代码中寻找。
4.3 E-R图设计
E-R图(Entity Relationship Diagram)是指用来表现数据库中实现实际世界建模的数据库概念模型。本系统将“健康资讯、收藏、饮食信息评论、用户、意见反馈、健康评估”等作为实体,它们的局部E-R图,如图4-3所示:

图4-3局部E-R图
第5章 系统实现
本章讲述的是系统对各个模块功能实现的效果图,对首页、管理员功能和用户功能分别进行了展示,页面布局清晰,操作简单快捷,基本实现了对用户和管理员对系统的需求。
5.1 小程序端功能的实现
5.1.1 登录界面的实现
在登录流程中,用户首先在Uni前端界面输入账号和密码。这些信息通过HTTP请求发送到Java后端。后端接收请求,通过与MySQL数据库交互验证用户凭证。如果认证成功,后端会返回给前端,允许用户访问系统。这个过程涵盖了从用户输入到系统验证和响应的全过程。登录界面如图5-1所示。

图5-1 小程序登录界面
5.1.2 注册界面的实现
在注册流程中,用户在Uni前端填写必要信息(如用户名、密码等)并提交。前端将这些信息通过HTTP请求发送到Java后端。后端处理这些信息,检查用户名是否唯一,并将新用户数据存入MySQL数据库。完成后,后端向前端发送注册成功的确认,前端随后通知用户完成注册。这个过程实现了新用户的数据收集、验证和存储。注册界面如图5-2所示。

图5-2 小程序注册界面
5.1.3 小程序首页功能的实现
小程序首页是用户注册登录后进入的第一个界面,用户可通过小程序端首页导航栏进入到相应的网页查看信息进行详情操作。小程序首页界面如图5-3所示。

图5-3 小程序首页界面图
食谱信息:在食谱信息界面可以查看到食谱名称、食谱类型、分类、热量、评论数、收藏数、食材、食谱详情等信息,并根据需要进行评论或收藏操作。食谱信息详情如图5-4所示。

图5-4食谱信息详情界面图
5.1.4 用户功能
用户登录成功后,点击“我的”进入我的页面,在我的页面可以对健康档案,饮食记录,健康评估,我的收藏,意见反馈,修改密码等进行详细操作。用户功能界面如图5-5所示。

图5-5用户功能界面图
5.2 系统管理员功能的实现
在登录流程中,用户首先在Uni前端界面输入用户名和密码。这些信息通过HTTP请求发送到Java后端。后端接收请求,通过与MySQL数据库交互验证用户凭证。如果认证成功,后端会返回给前端,允许用户访问系统。这个过程涵盖了从用户输入到系统验证和响应的全过程。管理员登录界面如图5-6所示。

图5-6管理员登录界面图
管理员登录进入小程序可以对Dashboard,用户,健康档案,饮食记录,健康状况,健康评估,饮食信息,食谱信息,食谱类型,意见反馈,健康问卷管理,试题管理,系统管理,用户资料等功能进行详细操作,管理员主界面如图5-7所示。

图5-7管理员功能界面图
用户功能在视图层(view层)进行交互,比如点击“搜索、新增或删除”按钮或填写用户表单。这些用户表单动作被视图层捕获并作为请求发送给相应的控制器层(controller层)。控制器接收到这些请求后,调用服务层(service层)以执行相关的业务逻辑,例如验证输入数据的有效性和与数据库的交互。服务层处理完这些逻辑后,进一步与数据访问对象层(DAO层)交互,后者负责具体的数据操作如查看、修改或删除用户信息,并将操作结果返回给控制器。最终,控制器根据这些结果更新视图层,以便用户功能可以看到最新的信息或相应的操作反馈;如图5-8所示。

图5-8用户界面图
管理员点击健康档案管理。在健康档案界面进行删除健康档案列表,并根据需要对健康档案详情信息进行查看、修改或删除操作;如图5-9所示。

图5-9健康档案界面图
管理员点击健康状况。在健康状况界面输入健康状况进行搜索、新增或删除健康状况列表,并根据需要对健康状况详情信息进行修改或删除操作;如图5-10所示。

图5-10健康状况界面图
管理员点击食谱信息。在食谱信息界面输入食谱名称和选择食谱类型进行搜索、新增或删除食谱信息列表,并根据需要对食谱详情信息进行查看、修改、查看评论或删除操作;如图5-11所示。

图5-11食谱信息界面图
管理员点击意见反馈。在意见反馈界面输入用户名进行搜索或删除意见反馈列表,并根据需要对意见反馈详情信息进行查看、回复或删除操作;如图5-12所示。

图5-12意见反馈界面图
管理员点击试题管理。在试题管理界面输入健康问卷和试题进行搜索、新增或删除试题管理列表,并根据需要对试题管理详情信息进行修改或删除操作;如图5-13所示。

图5-13试题管理界面图
管理员点击系统管理。在健康资讯界面输入标题进行搜索、新增或删除健康资讯列表,并根据需要对健康资讯详情信息进行查看、修改或删除操作,还可以对健康资讯分类和轮播图管理进行详细操作;如图5-14所示:

图5-14系统管理界面图
5.3 本章小结
本章讲述了健康饮食推荐系统的实现,并把用户和管理员两大功能模块用图片的形式展示出来并一一解读了其中的功能。设计的页面简洁,布局清晰,操作十分快捷,极大程度的节约了操作时间。
源码无偿分享,文未领取
988

被折叠的 条评论
为什么被折叠?



