给定一个链表的头节点 head ,返回链表开始入环的第一个节点。 如果链表无环,则返回 null。
如果链表中有某个节点,可以通过连续跟踪 next 指针再次到达,则链表中存在环。 为了表示给定链表中的环,评测系统内部使用整数 pos 来表示链表尾连接到链表中的位置(索引从 0 开始)。如果 pos 是 -1,则在该链表中没有环。注意:pos 不作为参数进行传递,仅仅是为了标识链表的实际情况。
不允许修改 链表。
示例 1:

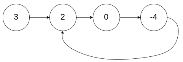
输入:head = [3,2,0,-4], pos = 1
输出:返回索引为 1 的链表节点
解释:链表中有一个环,其尾部连接到第二个节点。
示例 2:

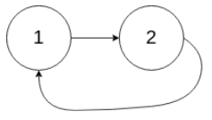
输入:head = [1,2], pos = 0
输出:返回索引为 0 的链表节点
解释:链表中有一个环,其尾部连接到第一个节点。
示例 3:

输入:head = [1], pos = -1
输出:返回 null
解释:链表中没有环。
提示:
链表中节点的数目范围在范围 [0, 104^44] 内
-105^55 <= Node.val <= 105^55
pos 的值为 -1 或者链表中的一个有效索引
进阶:你是否可以使用 O(1) 空间解决此题?
快慢指针法,慢指针slow每走一步,快指针fast走两步,当两者能相遇时,说明链表存在环。如下图所示:
假设环外的长度为a,slow进入环后,走了b的距离与fast相遇,此时fast已经走了n圈,相遇时,fast走过的距离为a + (b + c) * n + b,而slow走过的距离为a + b,存在以下等式:
a+(b+c)∗n+b=2(a+b)a+(b+c)*n+b=2(a+b)a+(b+c)∗n+b=2(a+b)
化简后得到:
a=(n−1)(b+c)+ca=(n-1)(b+c)+ca=(n−1)(b+c)+c
这意味着链表头到环的入口的距离,正好等于n-1圈加上c的距离,因此我们可以让head指针指向链表头,slow指针指向相遇点,这样head指针走到环的入口时,slow指针正好走了n-1圈+c的距离(也就是也到了环的入口),即head和slow相遇时,就到了环的入口:
/**
* Definition for singly-linked list.
* struct ListNode {
* int val;
* ListNode *next;
* ListNode(int x) : val(x), next(NULL) {}
* };
*/
class Solution {
public:
ListNode *detectCycle(ListNode *head) {
ListNode *slow = head;
ListNode *fast = head;
while (fast && fast->next) {
slow = slow->next;
fast = fast->next->next;
if (slow == fast) {
while (slow != head) {
slow = slow->next;
head = head->next;
}
return slow;
}
}
return nullptr;
}
};
如果链表的长度为n,则此算法时间复杂度为O(n),空间复杂度为O(1)。
1356

被折叠的 条评论
为什么被折叠?



