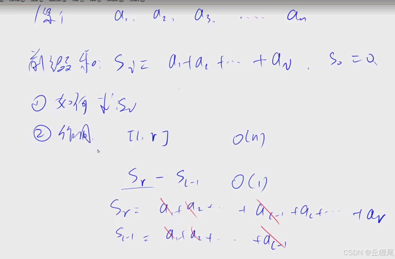
【acwing算法基础课笔记】01-基础算法-前缀和&差分
于 2024-10-12 19:15:32 首次发布
2244
341
2392
1136
4622
598
437
1618
1403
1695
1217
887

被折叠的 条评论
为什么被折叠?