给定 n 个非负整数 a1,a2,...,an,每个数代表坐标中的一个点 (i, ai) 。在坐标内画 n 条垂直线,垂直线 i 的两个端点分别为 (i, ai) 和 (i, 0)。找出其中的两条线,使得它们与 x 轴共同构成的容器可以容纳最多的水。
说明:你不能倾斜容器,且 n 的值至少为 2。

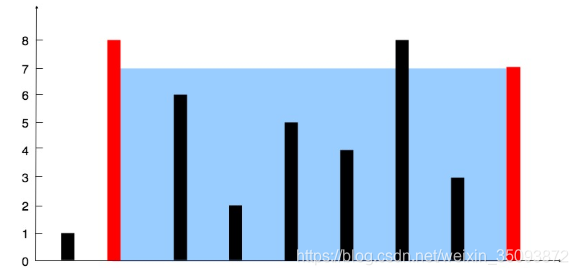
图中垂直线代表输入数组 [1,8,6,2,5,4,8,3,7]。在此情况下,容器能够容纳水(表示为蓝色部分)的最大值为 49。
示例:
输入: [1,8,6,2,5,4,8,3,7]
输出: 49
方法一:暴力法
在这种情况下,我们将简单地考虑每对可能出现的线段组合并找出这些情况之下的最大面积。
public class Solution {
public int maxArea(int[] height) {
int maxarea = 0;
for (int i = 0; i < height.length; i++)
for (int j = i + 1; j < height.length; j++)
maxarea = Math.max(maxarea, Math.min(height[i], height[j]) * (j - i));
return maxarea;
}
}
复杂度:
- 时间:O(n^2)
- 空间:O(1)
方法二:双指针法
思路:
算法流程: 设置双指针 ii,jj 分别位于容器壁两端,根据规则移动指针(后续说明),并且更新面积最大值 res,直到 i == j 时返回 res。
指针移动规则与证明:
每次选定围成水槽两板高度 h[i],h[j] 中的短板,向中间收窄 1 格。以下证明:
- 设每一状态下水槽面积为 S(i, j),由于水槽的实际高度由两板中的短板决定,则可得面积公式 S(i, j) = min(h[i], h[j]) × (j - i)。
- 在每一个状态下,无论长板或短板收窄 1 格,都会导致水槽 底边宽度 -1:
- 若向内移动短板,水槽的短板 min(h[i], h[j])可能变大,因此水槽面积 S(i, j) 可能增大。
- 若向内移动长板,水槽的短板 min(h[i], h[j])不变或变小,下个水槽的面积一定小于当前水槽面积。
因此,向内收窄短板可以获取面积最大值。换个角度理解:
- 若不指定移动规则,所有移动出现的 S(i, j)的状态数为 C(n, 2),即暴力枚举出所有状态。
- 在状态 S(i, j) 下向内移动短板至 S(i + 1, j)(假设 h[i] < h[j] ),则相当于消去了 {S(i, j - 1), S(i, j - 2), ... , S(i, i + 1)} 状态集合。而所有消去状态的面积一定 <= S(i, j):
- 短板高度:相比 S(i, j) 相同或更短(因为短板的高度取决于两板的最短板);
- 底边宽度:相比 S(i, j)更短。
因此所有消去的状态的面积都 < S(i, j)。通俗的讲,我们每次向内移动短板,所有的消去状态都不会导致丢失面积最大值 。
复杂度分析:
- 时间复杂度 O(N),双指针遍历一次底边宽度 N 。
- 空间复杂度 O(1),指针使用常数额外空间。
class Solution {
public int maxArea(int[] height) {
int i = 0, j = height.length - 1, res = 0;
while(i < j){
res = height[i] < height[j] ?
Math.max(res, (j - i) * height[i++]):
Math.max(res, (j - i) * height[j--]);
}
return res;
}
}

2496

被折叠的 条评论
为什么被折叠?



