目录
摘要
本文档记录了一些常用的Latex命令,以下内容均在Overleaf或CSDN上经过验证,会长期更新。
**Note:**Overleaf是一个在线Latex编辑器,简单地说它的优点有二:不需要本地配置环境或者工具包;支持多人在线协作编辑。感兴趣的话具体可以参考官方文档——Overleaf。
文档元素
文档类型
Latex命令:\documentclass{}
英文文档: article、report、book。
中文文档:ctexart、ctexrep、ctexbook(编译器需为XeLatex)。
**Note:**Overleaf改编辑器的方法:1.点击左上角的“Menu”;2.点击“Complier”。


宏包
在使用Latex时,时常需要依赖一些扩展来增强或补充Latex的功能,比如排版复杂的表格、插入图片、增加颜色甚至超链接等等。这些扩展称为宏包。
Latex命令:\usepackage[⟨options⟩]{⟨package-name⟩}(调用一个);\usepackage{tabularx, makecell, multirow}(调用多个,中间用英文逗号隔开)。
整理一些宏包的用途
文档本身相关
\usepackage{ctex}:在文档中显示中文,如果文档类型已经被设定为中文,则不需要这个包。
\usepackage{CJK}:CJK宏包用法。
\usepackage{abstract}:支持编辑摘要形式。
\usepackage{lineno}:可以在所选段落的每行文本前加上行号。
数学相关
\usepackage{amsmath}:“amsmath”已经包含了“amstext”,“amsopn”,and “amsbsy”,因此不需要重复包含,但是“amscd”和“amsxtra”需要单独包含。
\usepackage{amscd}:支持简单交换图(不懂请百度)。
\usepackage{amsxtra}:一些零碎符号(说明文档原文"odds and ends"),例如“\fracwithdelims”和“\accentedsymbol”。
\usepackage{amssymb}:定义很多数学符号。
\usepackage{amsthm}:定理和证明类环境配置。
\usepackage{amsfonts}:支持各种数学符号以及字母变体。
\usepackage{footnote}:生成脚注,注意该宏包与“colorbl”等宏包产生冲突。
\usepackage{bm}:加粗数学符号。
算法相关
\usepackage{algorithm}:algorithm宏包用法。
\usepackage{algorithmic}:algorithmic宏包用法。
图片相关
\usepackage{graphicx}:“graphics”宏包的升级版,可替代“graphics”。
\usepackage{subfig}:并排放置图片。
表格相关
\usepackage{array}:提供制表环境,扩展了 array 和 tabular 环境功能,主要增加和增强了列样式选项,不过 array 主要用于数组矩阵的排版,且只能用在数学环境中。
\usepackage{tabularx}:提供制表环境,用于排版固定宽度的表格。
\usepackage{booktabs}:定义了三条划线命令:\toprule、\midrule 和 \bottomrule,可分别对表格顶部、中部和底部使用不同粗细的水平线
\usepackage{colortbl}:可以设置表格中数据、文本、行、列、单元格前景和背景以及边框的颜色,从而得到彩色表格(似乎OverLeaf里不支持)。
\usepackage{multirow}:multirow宏包用法。
色彩相关包
\usepackage{xcolor}:可以给图形、表格和文字等设置颜色。
参考文献相关包
\usepackage{cite}:cite宏包用法。
\usepackage{biblatex}:biblatex宏包用法。
Note:各种包的说明文档————CTAN;
Note:从
O
v
e
r
l
e
a
f
Overleaf
Overleaf上的帮助文档里可以找到常用功能所需的宏包,比如改单双栏、算法等等,都配有示例。

Note:中文版本的——常用宏包。
上下标与导数
上标:^{}
示例:A^{2}——
A
2
A^{2}
A2
下标:下划线+{}
示例:A_{2} ——
A
2
A_{2}
A2
导数:’
示例:A’ ——
A
′
A'
A′
分式和根式
分式
分式:\frac{分子}{分母} 。
示例:\frac{1}{2}——
1
2
\frac{1}{2}
21(行内压缩)。
\frac{1}{2}
1
2
\frac{1}{2}
21(行间正常)。
Note: 分式的大小在行间公式中是正常大小,而在行内被极度压缩。 amsmath 宏包提供了方便的命令 \dfrac {}{}和 \tfrac{}{},令用户能够在行内使用正常大小的分式,在行间使用压缩公式。
示例:\dfrac{1}{2}——
1
2
\dfrac{1}{2}
21(行内正常)。
\tfrac{1}{2}——
1
2
\tfrac{1}{2}
21(行间压缩)。
根式
根式:\sqrt{}(表示 n 次方根时写成 \sqrt[n]{})。
示例:\sqrt{x}——
x
\sqrt{x}
x;\sqrt[3]{2}——
2
3
\sqrt[3]{2}
32;\sqrt{x^{2} + \sqrt{y}}——
x
2
+
y
\sqrt{x^{2} + \sqrt{y}}
x2+y。
二项式结构
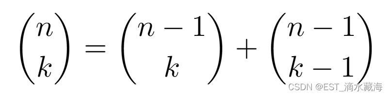
二项式结构:\binom(需添加amsmath 宏包)。
示例:\binom{n}{k} = \binom{n-1}{k} + \binom{n-1}{k-1}
(
n
k
)
=
(
n
−
1
k
)
+
(
n
−
1
k
−
1
)
\binom{n}{k} = \binom{n-1}{k} + \binom{n-1}{k-1}
(kn)=(kn−1)+(k−1n−1)(行间输入)。
希腊字母表
| 符号 | Latex命令 | 符号 | Latex命令 | 符号 | Latex命令 |
|---|---|---|---|---|---|
| α \alpha α | \alpha | θ \theta θ | \theta | υ \upsilon υ | \upsilon |
| β \beta β | \beta | ϑ \vartheta ϑ | \vartheta | π \pi π | \pi |
| ϕ \phi ϕ | \phi | γ \gamma γ | \gamma | ι \iota ι | \iota |
| o o o | o | δ \delta δ | \delta | κ \kappa κ | \kappa |
| ρ \rho ρ | \rho | χ \chi χ | \chi | ϵ \epsilon ϵ | \epsilon |
| λ \lambda λ | \lambda | ψ \psi ψ | \psi | μ \mu μ | \mu |
| σ \sigma σ | \sigma | ω \omega ω | \omega | ζ \zeta ζ | \zeta |
| ν \nu ν | \nu | η \eta η | \eta | ξ \xi ξ | \xi τ \tau τ |
| ϑ \vartheta ϑ | \vartheta | ϖ \varpi ϖ | \varpi | φ \varphi φ | \varphi |
| ϱ \varrho ϱ | \varrho | ε \varepsilon ε | \varepsilon | ς \varsigma ς | \varsigma |
| Υ \Upsilon Υ | \Upsilon | Ω \Omega Ω | \Omega | Φ \Phi Φ | \Phi |
| Θ \Theta Θ | \Theta | Π \Pi Π | \Pi | Γ \varGamma Γ | |
| Ψ \varPsi Ψ | \varPsi | Δ \varDelta Δ | \varDelta | Ξ \varXi Ξ | \varXi |
| Υ \varUpsilon Υ | \varUpsilon | Ω \varOmega Ω | \varOmega | Φ \varPhi Φ | \varPhi |
二元关系符
包括大于、小于、小于等于、大于等于、约等、全等、恒等、包含。
| 符号 | Latex命令 | 符号 | Latex命令 | 符号 | Latex命令 |
|---|---|---|---|---|---|
| < < < | < | > > > | > | = = = | = |
| ≤ \le ≤ | \leq or \le | ≥ \ge ≥ | \geq or \ge | ≡ \equiv ≡ | \equiv |
| ≪ \ll ≪ | \ll | ≫ \gg ≫ | \gg | ≐ \doteq ≐ | \doteq |
| ≺ \prec ≺ | \prec | ≻ \succ ≻ | \succ | ∼ \sim ∼ | \sim |
| ⪯ \preceq ⪯ | \preceq | ⪰ \succeq ⪰ | \succeq | ≃ \simeq ≃ | \simeq |
| ⊂ \subset ⊂ | \subset | ⊃ \supset ⊃ | \supset | ≈ \approx ≈ | \approx |
| ⊆ \subseteq ⊆ | \subseteq | ⊇ \supseteq ⊇ | \supseteq | ≅ \cong ≅ | \cong |
算符
| 符号 | Latex命令 | 符号 | Latex命令 | 符号 | Latex命令 |
|---|---|---|---|---|---|
| \sin | sin \sin sin | \arcsin | arcsin \arcsin arcsin | \sinh | sinh \sinh sinh |
| \exp | exp \exp exp | \dim | dim \dim dim | \cos | cos \cos cos |
| \arccos | arccos \arccos arccos | \cosh | cosh \cosh cosh | \log | log \log log |
| \ker | ker \ker ker | \tan | tan \tan tan | \arctan | arctan \arctan arctan |
| \tanh | tanh \tanh tanh | \lg | lg \lg lg | \hom | hom \hom hom |
| \cot | cot \cot cot | \arg | arg \arg arg | \coth | coth \coth coth |
| \cot | cot \cot cot | \arg | arg \arg arg | \coth | coth \coth coth |
| \ln | ln \ln ln | \deg | deg \deg deg | \sec | sec \sec sec |
| \csc | csc \csc csc | ||||
| \lim | lim x → 0 \lim_{x \rightarrow 0} x→0lim | \limsup | lim sup \limsup limsup | \liminf | lim inf \liminf liminf |
| \sup | sup \sup sup | \infty | ∞ \infty ∞ | \min | min \min min |
| \max | max \max max | \det | det \det det | \Pr | Pr \Pr Pr |
| \gcd | gcd \gcd gcd |
请注意:
$\lim_{x \rightarrow 0}$
效果是这样的—— lim x → 0 \lim_{x \rightarrow 0} limx→0
$$\lim_{x \rightarrow 0}$$
效果是这样的—— lim x → 0 \lim_{x \rightarrow 0} x→0lim
排版样式
章节
虽然多数出版社的论文模板都是单个’.tex’文件,但是如果全部代码都放在同一个’.tex’文件中的话,阅读起来相当不便。因此我们可以按照章节对论文进行拆分,在’Main.tex’中输入以下代码:
\begin{document}
......(标题、作者等)
\input{folder/section1} %folder为'section1.tex'、'section2.tex'等文件的存储路径
\input{folder/section2} %如果'section1.tex'、'section2.tex'等文件跟'Main.tex'在一个路径下,
\input{folder/section3} %可以省略为'\input{section3}'。
\input{folder/section4}
\input{folder/section5}
\input{folder/section6}
......(参考文献、附录等)
\end{document}
段落
强制换页
\newpage
新段落
\par
段内换行
\\
请注意:该命令配合回车还可以用来给文档添加空行。如果不在句子末尾添加这个命令,仅采用回车换行无法在文档中显示。(无论回车几行都不行,Overleaf验证)
标题
一级标题
\section{节的名字}
二级标题
\subsection{小节的名字}
三级标题
\subsubsection{小小节的名字}
这些层次都会自动的编号,但是如果使用*,就可以不用编号。
\section*{节的名字} %没有编号
\subsection*{小节的名字} %没有编号
\subsubsection*{小小节的名字} %没有编号
特色工具(公式)
数学环境
Gamma公式展示 Γ ( n ) = ( n − 1 ) ! ∀ n ∈ N \Gamma(n) = (n-1)!\quad\forall n\in\mathbb N Γ(n)=(n−1)!∀n∈N 是通过 Euler integral
数学模式相比于文本模式有以下特点:
- 数学模式中输入的空格被忽略。数学符号的间距默认由符号的性质(关系符号、运算符等)决定。需要人为引入间距时,使用’\quad’和’qquad’等命令。
- 不允许有空行(分段)。行间公式中也无法用 \ \ \backslash\backslash \\命令手动换行。
- 所有的字母被当作数学公式中的变量处理,字母间距与文本模式不一致,也无法生成单词之间的空格。如果想在数学公式中输入正体的文本,简单情况下可用
用amsmath提供的’\text’命令。
示例:
$x^{2} \geq 0 \qquad
\text{for \textbf{all} }
x\in\mathbb{R}$
Overleaf输出:

行间公式
行间公式在Latex里由’equation’环境包裹,‘equation’环境为公式自动生成一个编号,这个编号可以用’\label’和’\ref’生成交叉引用,还可以用’\tag’命令手动修改公式的编号。
示例:
\begin{equation}
a^2 + b^2 = c^2
\label{pythagorean}
\end{equation}
Overleaf输出:

如果想要取消这个编号,有三种方法:
1.使用’equation*'环境
示例:
The Pythagorean theorem is:
\begin{equation*}
a^2 + b^2 = c^2 \label{pythagorean}
\end{equation*}
Overleaf输出:

2.使用命令[ 和]
示例:
The Pythagorean theorem is:
\[ a^2 + b^2 = c^2 \]
Overleaf输出:

3.使用命令’\notag’命令取消为公式编号
示例:
The Pythagorean theorem is:
\begin{equation}
a^2 + b^2 = c^2 \notag
\label{pythagorean}
\end{equation}
Overleaf输出:

复杂公式
极限、累加
示例:
\[
\lim_{n \to \infty}
\sum_{k=1}^n \frac{1}{k^2}
= \frac{\pi^2}{6}
\]
Overleaf输出:

二项式结构
示例:
\[
\binom{n}{k} =\binom{n-1}{k}
+ \binom{n-1}{k-1}
\]
Overleaf输出:

关系符
示例:
\[
f_n(x) \stackrel{*}{\approx} 1
\]
Overleaf输出:

巨算符
示例:
\[\sum_{i=1}^n \quad
\int_0^{\frac{\pi}{2}} \quad
\oint_0^{\frac{\pi}{2}} \quad
\prod_\epsilon \]
Overleaf输出:

示例:
\[\sum\nolimits_{i=1}^n \quad
\int\limits_0^{\frac{\pi}{2}} \quad
\prod\nolimits_\epsilon \]
Overleaf输出:

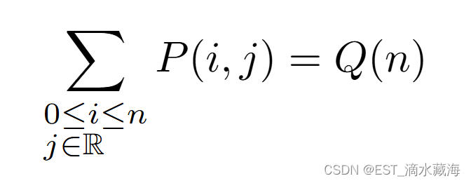
示例(局中):
\[
\sum_{\substack{0\le i\le n \\
j\in \mathbb{R}}}
P(i,j) = Q(n)
\]
Overleaf输出:

示例(左对齐):
\[
\sum_{\begin{subarray}{l}
0\le i\le n \\
j\in \mathbb{R}
\end{subarray}}
P(i,j) = Q(n)
\]
Overleaf输出:

数学重音
示例:
$\bar{x_0} \quad \bar{x}_0$\\[5pt]
$\vec{x_0} \quad \vec{x}_0$\\[5pt]
$\hat{\mathbf{e}_x} \quad
\hat{\mathbf{e}}_x$
请注意:
重音符号的作用区域,一般应当对某个符号而不是“符号加下标”使用重音(可以结合下图理解)。
Overleaf输出:

定界符
示例:
\[\left.\frac{\partial f}{\partial t}
\right|_{t=0}\]
Overleaf输出:

多行公式
示例:
\begin{align}
a & = b + c \\
& = d + e
\end{align}
Overleaf输出:

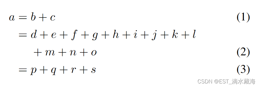
示例:
\begin{align}
a ={} & b + c \\
={} & d + e + f + g + h + i
+ j + k + l \notag \\
& + m + n + o \\
={} & p + q + r + s
\end{align}
Overleaf输出:

示例:
\begin{align}
a &=1 & b &=2 & c &=3 \\
d &=-1 & e &=-2 & f &=-5
\end{align}
Overleaf输出:

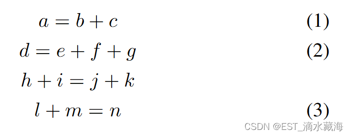
示例:
\begin{gather}
a = b + c \\
d = e + f + g \\
h + i = j + k \notag \\
l + m = n
\end{gather}
Overleaf输出:

示例:
\begin{equation}
\begin{aligned}
a &= b + c \\
d &= e + f + g \\
h + i &= j + k \\
l + m &= n
\end{aligned}
\end{equation}
Overleaf输出:

示例(引用原文):
\begin{align}
A_1 &= N_0 (\lambda ; \Omega')
- \phi ( \lambda ; \Omega') \\
A_2 &= \phi (\lambda ; \Omega')
\phi (\lambda ; \Omega) \\
\intertext{and finally}
A_3 &= \mathcal{N} (\lambda ; \omega)
\end{align}
Overleaf输出:

数组和矩阵
示例:
\[ \mathbf{X} = \left(
\begin{array}{cccc}
x_{11} & x_{12} & \ldots & x_{1n}\\
x_{21} & x_{22} & \ldots & x_{2n}\\
\vdots & \vdots & \ddots & \vdots\\
x_{n1} & x_{n2} & \ldots & x_{nn}\\
\end{array} \right) \]
Overleaf输出:

示例:
\[ |x| = \left\{
\begin{array}{rl}
-x & \text{if } x < 0,\\
0 & \text{if } x = 0,\\
x & \text{if } x > 0.
\end{array} \right. \]
Overleaf输出:

示例:
\[ |x| =
\begin{cases}
-x & \text{if } x < 0,\\
0 & \text{if } x = 0,\\
x & \text{if } x > 0.
\end{cases} \]
Overleaf输出:

示例:
\[
\begin{matrix}
1 & 2 \\ 3 & 4
\end{matrix} \qquad
\begin{bmatrix}
x_{11} & x_{12} & \ldots & x_{1n}\\
x_{21} & x_{22} & \ldots & x_{2n}\\
\vdots & \vdots & \ddots & \vdots\\
x_{n1} & x_{n2} & \ldots & x_{nn}\\
\end{bmatrix}
\]
Overleaf输出:

示例:
\[
\mathbf{H}=
\begin{bmatrix}
\dfrac{\partial^2 f}{\partial x^2} &
\dfrac{\partial^2 f}
{\partial x \partial y} \\[8pt]
\dfrac{\partial^2 f}
{\partial x \partial y} &
\dfrac{\partial^2 f}{\partial y^2}
\end{bmatrix}
\]
Overleaf输出:

数学字母字体
Latex允许一部分数学符号切换字体,主要是拉丁字母、数字、大写希腊字母以及重音符号等。
示例:
$\mathcal{R} \quad \mathfrak{R}
\quad \mathbb{R}$
\[\mathcal{L}
= -\frac{1}{4}F_{\mu\nu}F^{\mu\nu}\]
$\mathfrak{su}(2)$ and
$\mathfrak{so}(3)$ Lie algebra
Overleaf输出:

数学符号的尺寸
数学符号按照符号排版的位置规定尺寸,从大到小包括行间公式尺寸、行内公式尺寸、上下标尺寸、次级上下标尺寸。
| 命令 | 尺寸 |
|---|---|
| \displaystyle | 行间公式尺寸 |
| \textstyle | 行内公式尺寸 |
| \scriptstyle | 上下标尺寸 |
| \scriptscriptstyle | 次级上下标尺寸 |
示例(在分式中,分子分母默认为行内公式尺寸,示例中将分母切换到行间公式尺):
\[
r = \frac
{\sum_{i=1}^n (x_i- x)(y_i- y)}
{\displaystyle \left[
\sum_{i=1}^n (x_i-x)^2
\sum_{i=1}^n (y_i-y)^2
\right]^{1/2} }
\]
Overleaf输出:

绘图功能
表格功能
自定义 LATEX 命令和功能
暂无
其他
LaTeX如何输出反斜杠 \
示例
$\backslash$
Overleaf输出:

LaTeX如何加粗、倾斜
加粗:
\textbf{}
倾斜
使用’\textit{}'命令可以将文本设置为斜体,适用于正文中的文本
\textit{}
另一个命令’\emph{}'也用于设置斜体文本,通常用于强调。它会自动切换文本样式,默认情况下,首次出现的文本会被设置为斜体,再次出现时恢复为正体。
\emph{}
下划线
使用’\underline{}'命令可以给文字添加下划线,但这种方式可能会导致下划线距离不一致。
\underline{}
为了获得更美观且距离一致的下划线效果,可以使用’ulem’宏包中的’\uline{}'命令
\uline{}
LaTeX如何打出特殊符号
\# %% #输入
\$ %% $输入
\% %% %输入
\& %% &输入
\{ %% {输入
\} %% }输入
\_ %% _输入
\^{} %% ^输入
\--{} %% -输入
\textless %% <输入
\textgreater %% >输入
\textbar %% |输入
\textbackslash %% \输入
Latex加超链接
示例:
先导入’url’宏包,然后使用’\url{}'。
\url{https://www.csdn.net/}
更新记录
上次更新2024.6.10
本文详细介绍了Latex中常用的宏包及其功能,包括文档类型设置、数学公式处理(如上标、导数、分式、根式等)、二项式结构、希腊字母表、二元关系符号、排版样式、绘图和表格工具,以及如何自定义Latex命令。特别推荐了在线编辑器Overleaf及其特点。
2128

被折叠的 条评论
为什么被折叠?



