目录
一、推荐系统基本概念
1. 基于内容的推荐系统
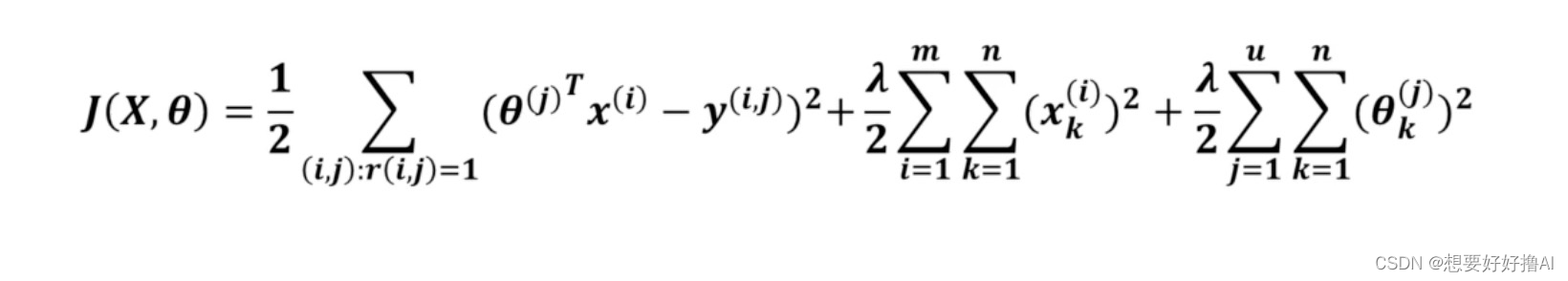
给定电影部分评分表和电影内容矩阵X,求解用户喜好矩阵theta:
- 评分记录表:i用户对j电影是否评分了
- j用户喜好 * i电影内容 = 预测j用户对i电影的评分
- 正则化项:通过调整lambda防止theta构成的模型对原始数据集产生过拟合
优点:
- 不存在商品冷启动
- 明确告诉用户推荐的商品包含哪些属性
缺点:
- 需要透彻的内容分析
- 很少给用户带来惊喜
- 存在用户冷启动
2. 基于矩阵分解的协同过滤
给定电影部分评分表和用户喜好矩阵theta,求解电影内容矩阵X,再将theta和X相乘,得到完整的电影评分表:
同时求解X和theta,将以上两个公式合并为:
给定电影内容矩阵X,用户喜好矩阵theta,如何给用户A推荐电影?
- 看用户A看过哪些电影,然后找到电影内容矩阵X找到与之相似的电影,然后推荐给用户A
- 使用用户喜好矩阵theta找到与用户A相似的其他用户,将其他用户看过的电影推荐给用户A
如何计算两部电影之间的相似度?
- 每个电影或每个用户可以用向量表示,将每个向量想象成高维空间的一个点,两点之间距离来度量两个实例之间的相似性
优点:
- 能够根据用户的历史信息推断商品质量
- 不需要对商品有任何专业领域知识
缺点:
- 冷启动问题
- gray sheep 如果没有其他相似用户,就无法推荐
- 复杂度会随着商品数量和用户数量的增加而增加
- 同义词的影响
- shilling attack 刷分
3. 基于item的协同过滤
先计算商品之间的相似度:
再预测用户对商品的评分,将其进行排序,选择评分高的商品推荐给用户:
4. 基于用户的协同过滤
先找到与用户A相似的其他用户,看其他用户购买过什么商品:
再预测用户对商品的评分,将其进行排序,选择评分高的商品推荐给用户:
5. 冷启动问题 cold start
针对新用户:
- 对该用户进行随机推荐,但推荐的东西有可能是反感的
- 不推荐,用户有行为后再推荐
针对新商品:
- 在网页中增加一栏代表新电影,当新电影收看人数达到100人,并且被评分,就将该电影的评分信息加入评分表中,然后参与到推荐系统的计算中,最后就可推荐该电影
重要的是解决的问题的方案,然后去实践,测试,优化!
6. 混合算法
组合多种推荐算法:
- mixed:使用多个推荐系统同时推荐,将结果推荐给用户
- feature combination:将多个推荐系统使用的特征组合起来给另一个推荐系统
- cascade:一个推荐系统产生结果后用另一个系统进行筛选,将筛选结果推荐给用户
- switching:根据当前状态在不同的推荐系统之间进行切换
7. 推荐系统性能评估
线下评估
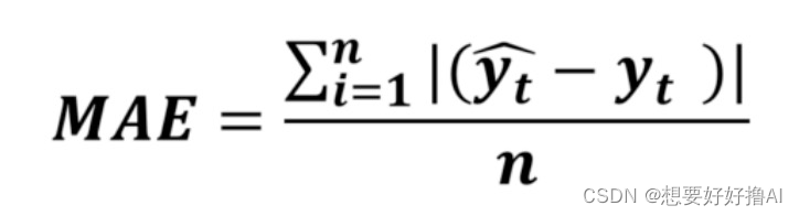
RMSE 均方根误差:
MAE 绝对值误差:
Recall 召回率:
- 针对评分不多的商品
- recall = 6/10 = 0.6
- recall值越大,推荐系统包含越多用户所需,目标是推荐的商品尽可能是用户所需
![]()
Precision:
- 6/50 = 0.12
- 与recall结合,当两者分值都很大,系统好
F1 score:
- F分值越大越好
- 如果推荐系统预测用户A会买商品i,实际也如此,是tp,如果实际没有,是fp
- 如果推荐系统预测用户A不会买商品i,实际也如此,是tn,如果实际买了,是fn
线上评估
- 并不是线下评估越好,线上也好
- 而是利润越高越好
CTR:click through rate 用户点击率
- 推荐系统重复推荐类似商品10次,用户点击3次,CTR = 0.3,越高代表用户感兴趣
CR:conversion rate 转化率
- 用户点击后,是否看完这部电影或听完这首歌或购买了商品,就是CR,越高代表用户体验好
ROI:不同的投资带来的回报
- 越大,代表推荐系统性能越好
- 将回报定义为:利润量增加,阅读量增加
- 将代价定义为:计算资源成本
QA:成立QA小组,根据个人经验评判推荐系统
二、使用TF构建电影推荐系统
1. 数据收集
https://grouplens.org/datasets.movielens/
2. 数据准备
import pandas as pd
import numpy as np
import tensorflow as tf
# 加载文件和查看文件
ratings_df = pd.read_csv('ml-latest-small/ratings.csv')
ratings_df.tail()
movies_df = pd.read_csv('ml-latest-small/movies.csv')
movies_df.tail()
# 添加行号信息:因为movies表中的movieID远大于行号,如果使用movieID的最大值来构建评分表,那么评分表是一个非常大的稀疏矩阵,浪费内存,所以使用行号标志电影
movies_df['movieRow'] = movies_df.index
movies_df.tail()
'''
创建两个矩阵
1. 创建电影评分矩阵rating:用于记录每个用户对每个电影的评分
2. 创建用户是否评分矩阵record:如果评分是1,否则为0
'''
# 首先筛选movies_df中的特征
movies_df = movies_df[['movieRow', 'movieId', 'title']]
# 保存该处理后的数据
movies_df.to_csv('moviesProcessed.csv', index=False, header=True, encoding='utf-8')
movies_df.tail()
# 将ratings_df中的movieId替换为行号
ratings_df = pd.merge(ratings_df, movies_df, on='movieId')
ratings_df.head()
# 筛选需要用到的特征
ratings_df = movies_df[['movieRow', 'userId', 'rating']]
ratings_df.to_csv('ratingsProcessed.csv', index=False, header=True, encoding='utf-8')
ratings_df.head()
# 1. 创建电影评分矩阵rating:用于记录每个用户对每个电影的评分
# 获取用户最大编号:作为rating矩阵中的列
userNo = ratings_df['userId'].max()+1
# 获取电影最大编号:作为rating矩阵中的行
movieNo = ratings_df['movieRow'].max()+1
# 创建rating矩阵
# 全部初始化为0
rating = np.zeros((movieNo, userNo))
# 创建电影评分表:添入rating矩阵
flag = 0 # 记录处理进度
ratings_df_length = np.shape(ratings_df)[0] # ratings_df的样本个数
# 将ratings_df中的数据填写到rating中
for index, row in ratings_df.iterrows():
rating[int(row['movieRow']), int(row['userId'])] = row['rating'] # 将row中的评分rating,填入rating中的电影编号和用户编号
flag += 1 # 处理完一行
print('processed %d, %d left' % (flag, ratings_df_length-flag)) #
# 2. 创建用户是否评分矩阵record:如果已经评分是1,否则为0
# 在电影评分表中,为0代表未评分
record = rating > 0
# 因为record中是布尔值组成的矩阵,将其转化为0和1
record = np.array(record, dtype=int)
3. 构建模型
# 对评分取值范围进行缩放
# 定义函数:接受两个参数:电影评分表,评分记录表
def normalizeRating (rating, record):
m, n = rating.shape # m电影数,n用户数
# 每个电影每个用户的评分平均值
rating_mean = np.zeros((m, 1)) # 所有电影平均评分初始化为0
rating_norm = np.zeros((m, n)) # 保存处理之后的数据
for i in range(m): # 将原始评分减去平均评分,将结果和平均评分返回
idx = record[i, :] != 0 # 已评分的电影对应的用户下标
rating_mean[i] = np.mean(rating[i, idx]) # 记录这些评分的平均值,第i部电影
rating_norm[i, idx] -= rating_mean[i] # 原始评分减去评分的平均值
return rating_norm, rating_mean
rating_norm, rating_mean = normalizeRatings(rating, record) # 结果提示有全0数据,需处理
rating_norm = np.nan_to_num(rating_norm) # 将nan数据转换为0
rating_mean = np.nan_to_num(rating_mean) # 将nan数据转换为0
num_features = 10 # 假设有10种类型的电影
# 初始化电影内容矩阵X,产生的每个参数都是随机数且正态分布
X_parameters = tf.Variable(tf.random_normal([movieNo, num_features], stddev=0.35))
# 初始化用户喜好矩阵theta,产生的每个参数都是随机数且正态分布
Theta_parameters = tf.Variable(tf.random_normal([userNo, num_features], stddev=0.35))
# 定义代价函数loss:tf.reduce_sum求和,tf.matmul相乘,transpose_b=True转置b项,
loss = 1/2 * tf.reduce_sum(((tf.matmul(X_parameters, Theta_parameters, transpose_b=True) - rating_norm) * record) ** 2) + 1/2 * (tf.reduce_sum(X_parameters ** 2) + tf.reduce_sum(Theta_parameters ** 2)) # 后面部分是正则化项,lambda为1,可以调整lambda来观察模型性能变化
# 创建adam优化器和优化目标
optimizer = tf.train.AdamOptimizer(le-4) # 学习速率10^-4
train = optimizer.minimize(loss) # 目标:最小化代价函数
4. 模型训练
# 查看代价值随着迭代次数增加的变化情况
# 使用tensorboard将整个训练可视化
# tensorboard中tf.summary模块用于将tensorflow的数据导出,从而可视化
# 由于需要可视化的loss值是标量,所以要用summary中的scalar
tf.summary.scalar('loss', loss)
# 将所有summary信息汇总
summaryMerged = tf.summary.merge_all()
# 保存信息的路径
filename = './movie_tensorboard'
# FileWriter用于把信息保存到文件中
writer = tf.summary.FileWriter(filename)
# 创建tensorflow会话
sess = tf.Session()
init = tf.global_variables_initializer()
sess.run(init)
# 训练模型,训练次数5000
for i in range(5000):
_, movie_summary = sess.run([train, summaryMerged]) # 记录每次迭代的loss的变化,每次train训练的结果保存到_中
writer.add_summary(movie_summary, i) # 训练后保存数据,代价值随着迭代次数i的变化情况
'''
查看代价值随着迭代次数的变化情况:
1. 打开cmd操作界面
2. 切换cd到保存数据的路径中
3. 运行:tensorboard --logdir=./
4. 浏览器中输入:127.0.0.1:6006
5. 可以看到代价值随着迭代次数的增加而减小
'''
5. 模型评估
# 测试不同的num_features的值,通过比较误差,判断哪个num_features的值最合适
# 使用前面得到的参数,填满电影评分表
# 获取当前X和theta
Current_X_parameters, Current_Theta_parameters = sess.run([X_parameters, Theta_parameters])
# 将电影内容矩阵和用户喜好矩阵相乘,再加上每一行的均值,得到一个完整的电影评分表
# dot用于矩阵之间的乘法操作
predicts = np.dot(Current_X_parameters, Current_Theta_parameters.T) + rating_mean
# 计算预测值与真实值之间的算数平方根作为预测误差
errors = np.sqrt(np.sum((predicts - rating)**2))
errors
6. 构建完整的电影推荐系统
# 获取用户ID,并保存
user_id = input('您要向哪位用户进行推荐?请输入用户编号:')
# 获取对该用户电影评分的列表
# 预测出的用户对电影的评分,并从大到小排序
sortedResult = predicts[:, int(user_id)].argsort()[::-1]
# 向该用户推荐评分最高的20部电影
idx = 0 # 保存已经推荐了多少部电影
print('为该用户推荐的评分最高的20部电影是'.center(80, '='))
# 开始推荐
for i in sortedResult:
print('评分:%.2f, 电影名:%s' % (predicts[i, int(user_id)], movies_df.iloc[i]['title']))
idx += 1 # 已经推荐的电影
if idx == 20: break
这篇博客详细介绍了推荐系统的基本概念,包括基于内容、矩阵分解、item和用户协同过滤的推荐方法,以及冷启动问题和混合算法。此外,还讲解了如何使用TensorFlow构建电影推荐系统,涵盖数据收集、模型构建、训练、评估和完整系统构建的全过程。













775

被折叠的 条评论
为什么被折叠?



