数学里面最有趣的问题可能就得说是素数了。世界上最难的问题很多都与素数有关,而且素数又是如此简单的一个概念,只要是学过乘除法的人都能理解什么是素数。如果评选一个非常简单但又极端复杂的数学概念,估计非素数莫属。今天,我们就来谈谈素数到底为什么复杂、有趣,为什么上千年来引无数数学家竞折腰。
素数,就是除了1和它自身外,再没有其它因子的自然数。如果把1也看作一个特殊的素数,写出来素数的集合为{1,2,3,5,7,11,13,17,19,23,......}。下面开始谈谈有关素数的有趣且复杂的问题,这些问题有的早就得到了解决,有的则至今也没有解决,还有的很可能永远无法解决。
一、素数有无穷多个
从历史上人们认识到素数开始,第一个引发人们思考的问题就是素数到底有多少个?因为人们在从小到大不断列举素数的时候,很快就发现越大的素数越不容易找到,而且也相对越稀疏。那么是不是大到一定程度后,就不再有素数了呢?
熟悉数学的朋友们大概都知道,2000多年前的欧几里得就已经解决了这个问题,答案是素数有无穷多个。欧几里得的证明方法简单而优美,是数学历史上的非常经典的证明之一。证明思路如下(如果熟悉的朋友完全可以跳过不看):
反证法,假设素数只有有限个,不妨设全部的素数为
。
然后欧几里得构造了一个新的自然数M=
,
显然M不能够被
中的任何一个素数整除。
那么,要么M是一个素数,要么M可以被一个不在
中的素数整除。
无论是哪种情况,说明都存在
以外的新的素数。
这与假
为全部的素数矛盾。
这个矛盾说明,素数有有限个的假设是错误的,素数必然有无穷多个。
欧几里得是一个大数学家,他的这个证明相当的简捷优美,如果评选数学历史上最优美的十大证明,我想这个证明可以入选。
虽然我这个专栏中的文章还不算多,但是读过我的一些文章的朋友一定会知道,我不会只普及这么简单的知识和证明的。这个问题的证明方法现在超过100种,大部分证明只给出了“素数有无穷多个”这么一个普通的结论。我倒是愿意和大家分享一下下面这个证明方法,它给出了一个包含更多信息的结论。
熟悉级数基本知识的朋友肯定知道,全部自然数的倒数和是不收敛的,也就是说
,可是对于完全平方数、完全立方数等数的倒数之和是收敛的,即
、
等都存在。事实上,
都收敛。我们现在要问的是,既然素数在很大后也日渐稀疏,虽然未必比
稀疏得快,全体素数的倒数之和是否收敛呢?如果不收敛,那么素数一定不会只有有限个。
200多年前的伟大数学家欧拉最早给出并证明了这个结论,全体素数的倒数之和不收敛。当然,欧拉的证明过于晦涩了一些,我们给出一个二十世纪匈牙利著名数学家Erdos关于全体素数倒数之和不收敛的优美证明。如果你愿意在阅读下面的证明之前认真思考一下这个问题,就会知道Erdos给出的证明真漂亮。
仍然是反证法。设
为素数,且当i
,也就是说
这个数列从小到大排列了全部素数。
假设
收敛,由于
这个数列是递减的,因此一定可以找到一个足够大的自然数k满足
。
我们把
称为小素数,把
称为大素数。
下面我们任取一个自然数N,并把小于等于N的自然数分成两部分,一部分只有小素数作为其素因子,这样的数的个数记为
;另一部分是包含有至少一个大素数作为其素因子的,这样的数的个数记为
。显然,
。
下面我们分别估计
与
,
(1)先来估计
。设
是一个只有小素数作为其素因子的自然数,把n进行质因数分解,然后将n写成两部分的乘积,一部分是单个小素数的乘积,另一部分是一个完全平方数,即
。这里面的
就是单个小素数的乘积,
是那个完全平方数。
因为小素数一共有k个,因此
可能的情况有
种(即每个小素数要么有要么没有);
又因为
,所以
,也即
至多有
种情况。
于是n最多可能的个数为
,即
(2)再来估计
。在小于等于N的自然数中,包含有素因子
的数有
、
,其个数是
(方括号表示取整数部分),其它大素数也一样。于是
由于
,如果我们能够找到合适的N,使得
,那么就会出现
,这样与
矛盾。
于是我们令
,得到
这样的N显然存在,取
即可。
这个矛盾说明假设错误,即全体素数的倒数之和不收敛。
既然全体素数的倒数之和不收敛,素数当然不会只有有限个。而且通过这个结论,我们还可以大概判断,素数分布大概的稀疏程度要比任意s>1时的
的分布还要密集些。这个结论其实是关于素数分布研究的一个非常重要的进展。
二、相邻素数的间隔
人们对素数的研究,最关键的就是希望得到素数分布的规律。最理想的情况是给出第n个素数的通项公式P(n),起码也要知道素数分布大概的稀疏程度。那么我们从最基础的分布关系入手,看一下两个相邻素数的间隔会有多大?
一个很容易得到的结论就是,两个相邻素数的间隔是可以任意大的。这很容易证明。
构造一个连续自然数的数列,n!+2、n!+3、......、n!+(n-1)、n!+n,这个数列一共有n-1个连续自然数,而且这n-1个数必然都不是素数。
由于n是任取的,这说明两个连续素数的间隔可以任意大。
那么是不是说,两个相邻素数的间隔就完全不受控制,没有任何限制了呢?还真不是,否则素数分布就没有那么复杂了。100多年前的法国数学家Joseph Bertrand给出了一个猜想,那就是“到下一个素数的距离不可能大于我们出发的这个数”。换句话说,随便给出一个自然数n,从n+1开始到2n之间一定存在至少一个素数。
这个结论在1850年被俄罗斯数学家切比雪夫(Pafnuty Chebyshev)证明,后来的一些数学家给出过不断简化、精炼的证明方法。可遗憾的是,我认为所有的证明方法都不够简捷优美,考虑到我专栏的名字叫做“数学与逻辑之美”,既然这些证明都不够美,我就不在这里和大家赘述了。总之,这个结论是正确的,标准的数学表述如下:
对每个
,存在素数p满足
。
关于素数的间隔,最有名的是孪生素数猜想。孪生素数是相差为2的两个素数,这是素数可能的最小间隔。孪生素数猜想说的是“孪生素数有无穷多组”。我们想象一下,素数分布越来越稀疏(前面已经说了,两个相邻素数的间隔可以任意的大),但是相差为最小间隔2的素数却总会不断出现,有无穷多对,是不是一种很神奇的现象!当然,孪生素数猜想尚未得到证明。目前最接近的进展是著名华人数学家张益唐于2013年证明的,存在无穷多对相差小于7000万的素数(当然,这个7000万是可以被优化的,据说现在已经优化到1000以内了)。如果我们认真思考一下素数分布,就会理解,无穷多对相差为有限间隔的素数同素数分布逐渐会无穷稀疏相比,无论这个间隔是2还是7000万,都同样令人震惊。
一个分布越来越稀疏的数列,居然不断的回到某个有限的间隔,甚至是最小间隔,这种现象很像随机数的特点,可是素数是一种完全确定的数。这也许正是素数的神奇之处吧。
三、素数有公式么
人们非常希望发现素数的规律,当然,素数是确定的,理论上讲必然有其规律,可是到今天为止,人们还无法给出素数的通项公式。或者不说通项公式,即使要求给出一个确保只能得到素数的公式,目前也没有足够有价值的结论。
最经典的一个关于素数公式的猜想是300多年前的民间数学家费马给出的,他猜想
对于任意自然数n,其结果都是素数。由于这个数增长很快,费马仅仅验证了n为0、1、2、3、4这五种情形,得到的都是素数。1732年,大数学家欧拉证明,n为5时的费马数
不再是素数。这说明费马的猜想是错误的。
后来不断有数学家试图给出必然得到素数的公式,也确实有一些这样的公式。下面给大家介绍一个相比较而言还挺有趣的素数公式,这个公式是1976年加拿大数学家杭斯伯格给出的,是一个关于自然数的二元函数,
设x,y是自然数,令
,定义
可以证明,这个公式给出的结果一定是素数。
下面,我们来简单分析一下这个公式。首先B肯定是一个整数(可能是负整数),那么 
必然是一个非负整数。如果
,那么结果必然是
,当然是一个素数,但是没有什么意义。剩下的情况就只能是
,此时得到的
,这个数会是个素数吗?
这种情况下,B=0,意味着
,换句话说,
整除
。这里,我们引入一个著名的素数判定定理,叫做威尔森定理。
p是素数 
就是说,如果p整除(p-1)!+1,那么p就是素数;否则p就是合数。按照威尔森定理,y+1整除y!+1,意味着y+1是素数,因此杭斯伯格的这个公式确实必然得到素数。
其实这个公式本身没有什么意义,只有你找到一个素数p,并把p-1作为y时,它才会得到这个素数p,否则得到的都是2。所以,这个必然得到素数的公式挺二的。
不过,我们应该更感兴趣的是威尔森定理。为什么p整除(p-1)!+1与p是素数等价呢?下面给出一个本人的证明。这个证明对于学过群理论的朋友们会非常容易理解,但是没有学过群论的朋友也不用着急,我下面的证明不是用群论的概念来表述的,没学过群论的朋友也一样看得懂。
一、先证明两个结论。
对于任意一个大于1的自然数n,将1、2、3、......、n-1这n-1个自然数中与n互质的全部m个数取出来构成集合M,
。结论1:对于任意
都存在
,满足
。
我们用
去乘集合M中的每一个元素(包括
自己)得到新的m个数
、......、
,这新m个数中任意两个数之差
都不能被n整除,这是因为
与n互质,而
且
。这意味着新得到的m个数除以n的余数各不相同。
同时,新得到的m个数都是两个与n互质的数的乘积,仍然与n互质。这意味着新的m个数除以n的余数也必然与n互质。
于是,这新的m个数除以n的余数应该是两两不同且都与n互质的数,正好构成集合M。因为1必然属于M,所以这新的m个数除以n的余数中必然有一个余数是1。设这个数是
,于是我们就找到了这个
。
我们把这个对应于
的
记作
。提醒注意的是,有可能
。结论2:当
时,
。
否则,设
,那么就有
,于是n整除
。但由于
,也就是说
与n互质,且
,根据结论一证明过程中的分析,n整除
是不可能的。结论2得证。二、证明p为素数时,p整除(p-1)!+1
对于素数p来说,从1到p-1这p-1个数都与p互质,因此对于一个素数p,集合M={1, 2, ......, p-1}。
根据结论1和结论2,集合M中的任意一个数都存在一个唯一对应的数,使得这两个数的乘积除以p的余数是1。于是,我们可以将M中的数按照这个条件配对组合,形成若干组数对。但是,由于一种特殊情况的存在,我们无法保证这些数对覆盖了M中的全部数。这种特殊情况就是对于某些元素a,
。下面我们针对素数p,分析这样的元素a的各种情况。
当
时,意味着
,也就是p能够整除
。
由于p是素数,所以要么p整除a+1,要么p整除a-1。考虑到a是自然数且
,那么只存在两种可能,要么a+1=p,要么a-1=0。也就是说,这样的元素a只能是1和p-1。
(p-1)!是集合M中全体元素的乘积,除了1和p-1以外,其它数正好可以配成若干对乘积除以p余1的数,根据同余关系,有
上式中的
到
就是乘积模p余1的数对。
于是,
,也就是说,p整除(p-1)!+1。三、证明p整除(p-1)!+1时,p必为素数
假设p为合数,那么从1到p-1中,必有若干个不与p互质的数,设这些数为
。其它的数都与p互质,为
到
。
由于与p互质的数之积仍然与p互质,与p互质的数除以p的余数也与p互质,所以我们得到
,其中
是一个与p互质且小于p的正整数,也即
是
到
中的某个数。
已知p整除(p-1)!+1,也就是

即p整除
,也就是存在整数r,使得
由于
与p不互质,设它们有大于1的公因子u,在上式两边同时除以u,等式左边得到的必然是一个整数,而右边得到的是一个整数再加上
。这显然是矛盾的。
于是我们知道p为合数的假设不正确,p必为素数。
综上,p整除(p-1)!+1等价于p是素数,威尔森定理得证。
威尔森定理其实最早是由德国数学家莱布尼兹(就是与牛顿争夺微积分发明权的那位)发现的(1671年发表),但是莱布尼兹没有给出证明。100年后的1771年,拉格朗日首先给出了证明。看起来这个定理的发现与证明都与威尔森没有任何关系,但为什么要叫做威尔森定理呢?
这是因为18世纪60年代,威尔森给他的一个朋友、剑桥大学数学家华林写信说他发现了一个素数判别法,就是这个定理。华林于是在1770年出版的《代数沉思录》中公布了威尔森的这个发现,并把它命名为威尔森定理。华林还“讨好”威尔森说,这个定理永远不可能被证明,因为人类还没有好的符号来处理素数。这话传到高斯耳朵里时,高斯只用了5分钟就告诉他人,自己已经证明了威尔森定理,并批评华林和威尔森“缺乏的不是符号,而是概念”。
就这样,这个很有价值的定理即没有用它的最早发现者莱布尼兹来命名,也没有用最早的证明者拉格朗日来命名,而是用了一个“缺乏概念”的后来发现者威尔森命名了。
威尔森定理是数论中的一个重要定理,是素数判别方法中一个基础的判别法。当然,这个判别法并没有提升素数判别的效率,计算阶乘和是否能够整除对于大数来说仍然是非常困难的。不过,这个判别法在很多时候还是有其价值的,研究数轮的学者绝大多数都会接触到这个定理。
虽然人们尚未发现有价值的素数公式,但是还是发现了关于素数的一些蛛丝马迹的规律。本文的文题图片就是一例,这张图片叫做乌拉姆表。
1963年,美籍波兰物理学家乌拉姆在参加一个学术会议时比较无聊,就信手把自然数按照逆时针方向排成螺旋状以消磨时间。没想到,乌拉姆意外的发现画出来的数字螺旋中,素数都排列在一条条直线上。后来,他和同事们一起用计算机计算了1000万以内的自然数,发现素数仍然在直线上。当然,这不能叫做一个数学规律,只能叫做某种蛛丝马迹,成因尚不清楚。其实,类似的现象还有萨克斯螺旋。
奇妙的素数啊,让世界上的数学家们百思不得其解,又痴迷于其中不可自拔。
四、关于素数的一些知名世界级数学难题
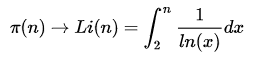
素数这么简单的一个概念,引发了大量的数学问题。关于素数的分布,最有名的成果就是素数定理。
如果我们用
表示小于等于n的素数的个数,那么素数定理告诉我们
时, 
根据素数定理,我们可以简单理解为,当n很大的时候,素数分布的密度接近
。对比前面说过的完全平方数的分布,平均来说在
与
之间存在一个完全平方数,因此完全平方数的分布密度接近
,这要比素数分布稀疏得多,所以完全平方数的倒数和是收敛的,而素数的倒数之和不收敛。
素数定理最早由高斯提出猜想,切比雪夫曾经为证明素数定理作出了巨大贡献。最终于1896年,两位年轻的数学家阿达马(J.Hadamard)和德·拉·瓦莱布桑(C. J. de la Vallée Poussin)证明了素数定理。神奇的是,1949年,另外两位年轻的数学家——31岁的赛尔伯格(A. Selberg)和35岁的爱多士(P. Erdös)分别独立地使用初等数学证明了素数定理。
和素数定理有关的还有一个有趣的事情。人们在大量观察
和
之间的关系时发现,
总是小于
,虽然越来越趋近,但是在人们验证过的上10亿个素数以内,
都小于
。很自然的,人们就猜想
永远小于
。不过大数学家利特尔伍德运用分析的力量证明了,不仅这个不等关系不成立,而且存在无穷多个n违反这个关系,只不过其中最小的n也至少大于
。这个结论还提醒我们,不要认为大量计算机验证过的未证明数学猜想都是正确的,
与
的关系就是一个反例。
关于素数的最著名的一些猜想包括哥德巴赫猜想、孪生素数猜想、黎曼猜想等等。这里面黎曼猜想是最吸引数学家兴趣的。如果谁能够证明黎曼猜想,一定会成为比证明了费马大定理的安德鲁.怀尔斯还著名的大数学家。关于这些猜想,内容太多,限于本文篇幅,就不再详细介绍了。
素数,一个简单的定义给出的概念,但是却蕴含着无比复杂而深刻的数学思想。一组完全确定的数列,但却只能使用类似研究随机的方式来研究它。我愿意用中国数学家陈景润在《中国大百科全书.数学卷》的条目“素数分布”中所写的那段话来作为本文的结尾,“素数在自然数中占有极其重要的地位,但是它的变化非常不规则。人们至今没有找到,大概也不可能找到一个可以表示全体素数的有用公式”。
文章来源:知乎


1029

被折叠的 条评论
为什么被折叠?



