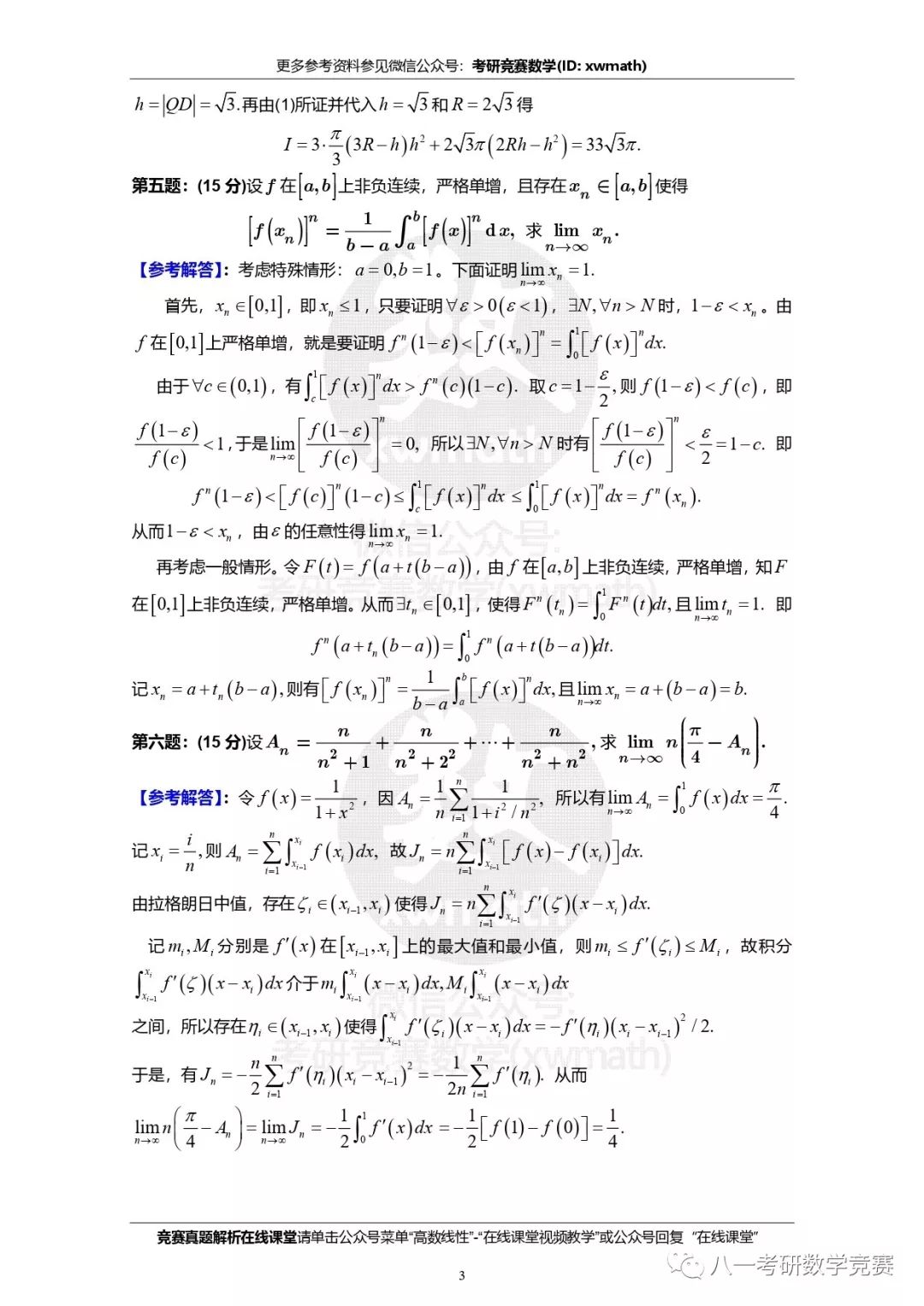
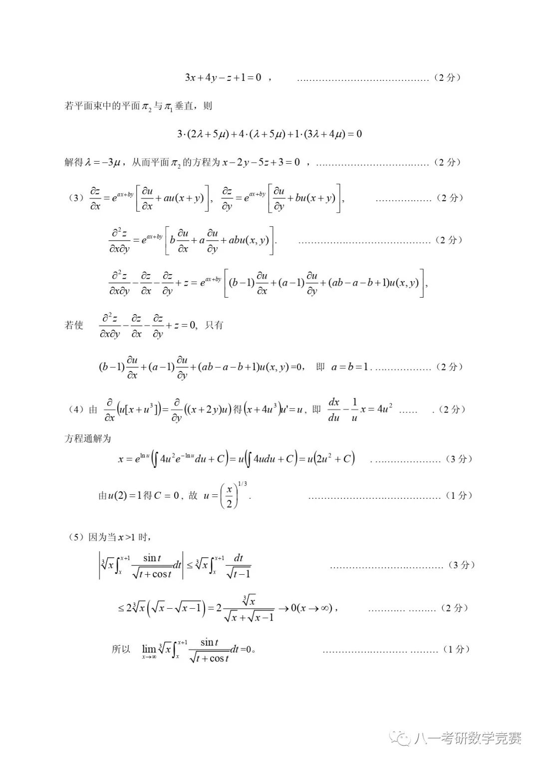
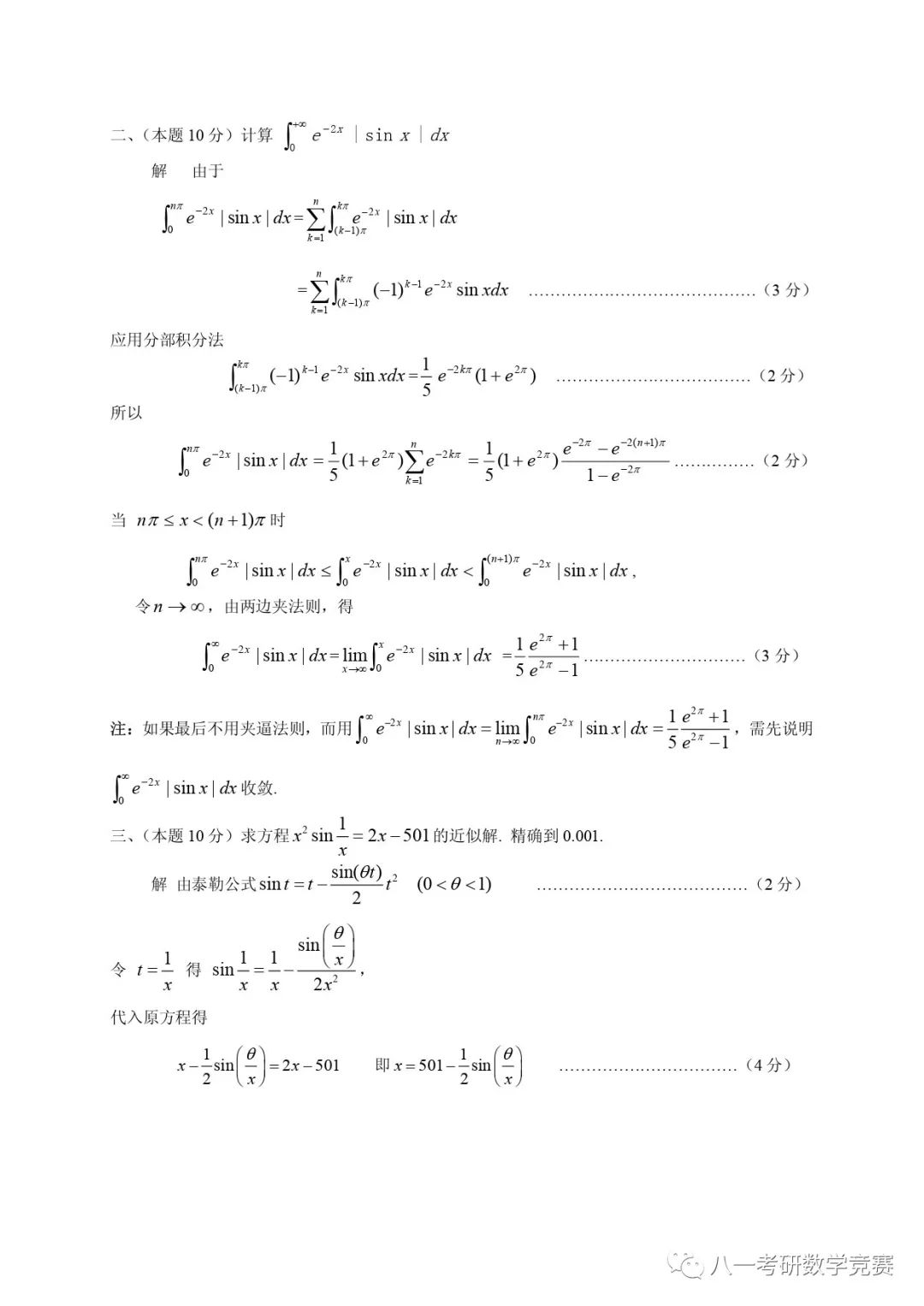
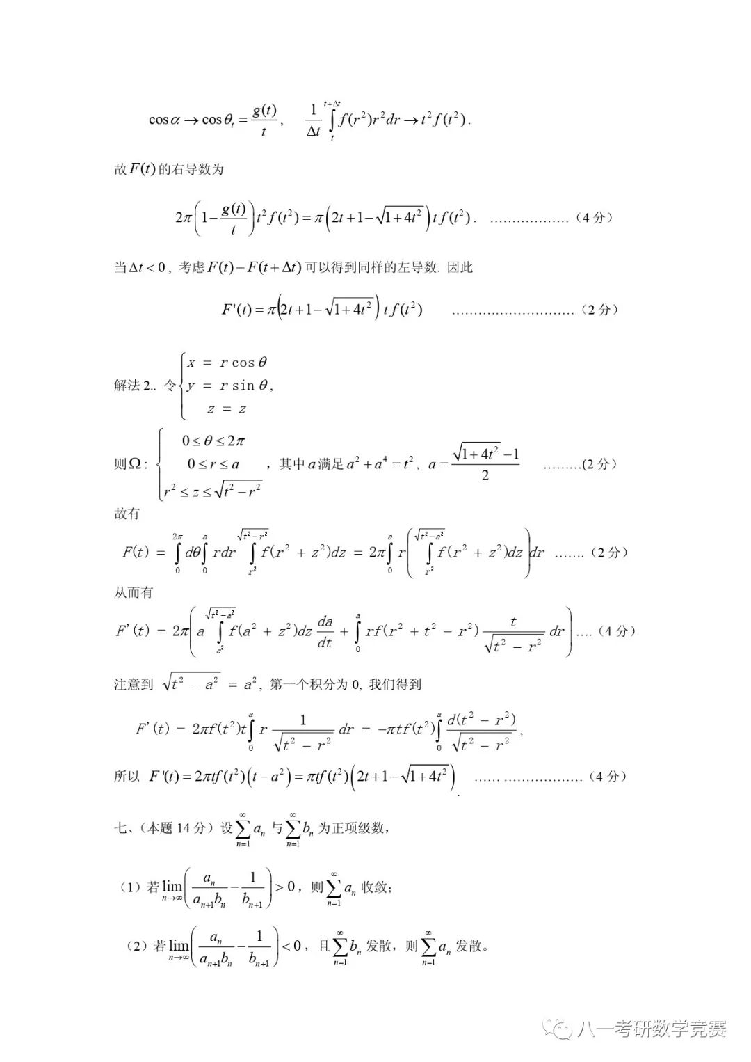
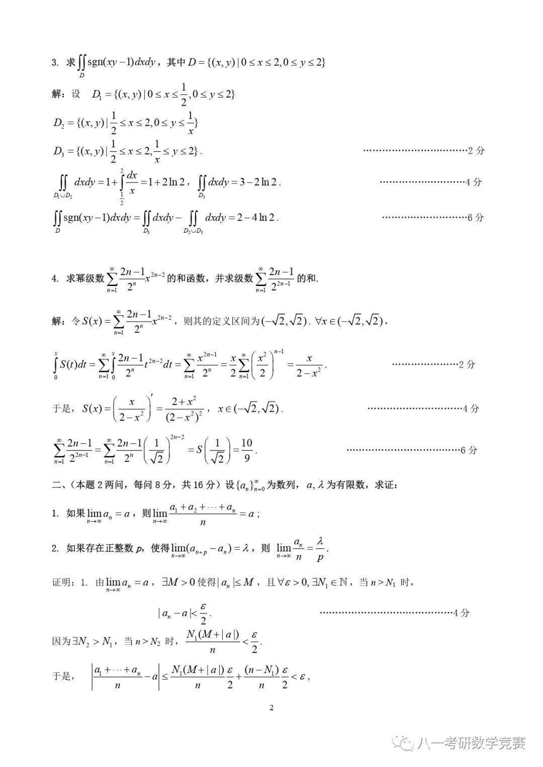
本文档是用了LaTeX" role="presentation" style="text-indent: 2em; font-size: 16px; display: inline; line-height: normal; text-align: left; overflow-wrap: normal; float: none; direction: ltr; max-width: none; max-height: none; min-width: 0px; min-height: 0px; border-width: 0px; border-style: initial; border-color: initial; color: rgb(85, 85, 85); font-family: Lato, "PingFang SC", "Microsoft YaHei", sans-serif; background-color: rgb(255, 255, 255);">LaTeX中pdfpages包进行文档合并,包括了2009-2018年从第一届数学竞赛到第十届所有预赛试题解析,分非数与数学类!今年赛题较往年有稍微改动,是对数学类做了部分调整,但影响不大,只是限制了双一流高校数学专业的同学只能报名数学A类。这次用TeX做了汇总,希望能给同学们在复习过程中带来多少帮助,谢谢!
全国大学生数学竞赛LaTeX试题排版解答https://hoganbin.top/post/2693185707/
https://github.com/hoganbin/CMC-Solutions

























































往期推文
多道较难极限积分级数问题解答
积分不等式葵花宝典(更新版)浙江大学2016-2019年数分三道好题解答蒲的课后解析与十套大学生数学竞赛第一届八一杯数学竞赛比赛圆满落幕第一届八一杯网络大学生数学竞赛试题数学专业的同学都在学什么数分考研名校真题解析往期汇总LaTeX葵花宝典之印象笔记读周民强《实变函数》学习笔记若干在数学竞赛与考研中常用的积分不等式几道常见考研问题求解
本文档使用LaTeX及pdfpages包汇总了2009-2018年全国大学生数学竞赛预赛试题解析,包括非数学与数学类题目。特别针对近年赛制变化进行了说明,并提供了详细的解答资源链接。

被折叠的 条评论
为什么被折叠?



