
和泉千晶,这位姐太……………… 遭不住遭不住。
一:概述
本篇文章介绍解线性方程组的平方根法及改进平方根法,适用范围为系数矩阵为正定Hermite矩阵(下称H阵)的线性方程组。这个方法的理论依据我觉得是来自Schur引理的H阵结构定理,从这个角度我们就可以理解课程上教授的那些摸不着头脑的机械的计算步骤背后的原理。
二:具体步骤
按照惯例,我们先举两个例子介绍一下两种方法是如何进行计算的,方便那些只想知道怎么算的同学。其实这个玩意和LU分解的计算方法完全一样
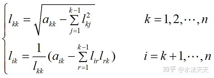
平方根法中的分解方法:

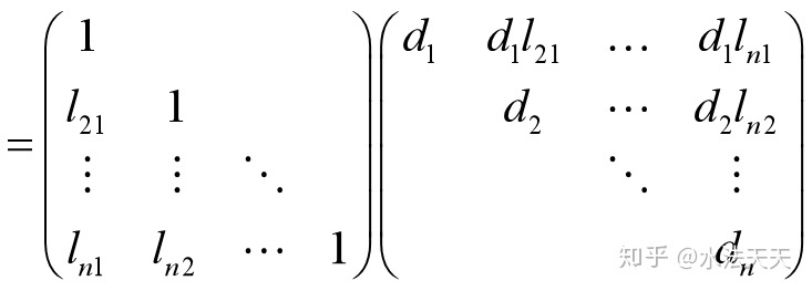
改进平方根中的分解方法:

然后再大致解释一下
首先是平方根法:根据矩阵分析的理论,对于任意的正定H阵A,
存在唯一的正线下三角矩阵L,使得
,把系数矩阵分解为三角矩阵后,我们就可以使用上次文章中的回代公式求解。(1)分解系数矩阵得到正线下三角矩阵L


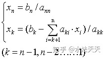
(2)使用回代公式得到X
已知
使用两次回代公式,先求出y,再求出X即可。
然后是改进的平方根法:在平方根法中,对角元素的计算涉及开方,如何避免?我们可以对L做列变化,对
做行变化,分别提出对角元素组成对角矩阵,再把两个对角阵相乘,即可避免开方运算。




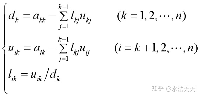
直接从A矩阵得到以上两个三角矩阵的公式如下:

然后还是再使用两次回代公式,就可以得到方程组的解。
三:原理分析
为什么这么算呢?仔细一想,其实和上一篇的原理完全一样,当系数矩阵是正定H阵时,U矩阵就自然与L矩阵共轭转置。
四:算法实现(MATLAB)
改进的平方根法就不用再列出了,因为和上一篇的完全一样。
function [x]=pingfanggenfa(A,b)
%平方根法
n=length(A);
for k=1:n
A(k,k)=sqrt(A(k,k));
A(k+1:n,k)=A(k+1:n,k)/A(k,k);
for j=k+1:n
A(j:n,j)=A(j:n,j)-A(j:n,j)*A(j,k);
end
end
for j=1:n-1
b(j)=b(j)/A(j,j);
b(j+1:n)=b(j+1:n)-b(j)*A(j+1:n,j);
end
for j=n:-1:2
b(j)=b(j)/A(j,j);
b(1:j-1)=b(1:j-1)-b(j)*A(1:j-1,j);
end
x=b五:总结
这一篇说的两种方法,都要求系数矩阵是对称正定阵。这两种方法都可以看成是上一篇lu分解的特例,但是不同的是,可以利用矩阵的对称性试编程起来更方便,虽然这么做会损害程序的泛用性。
上一篇
水法天天:计算方法(二)直接三角分解法解线性方程组zhuanlan.zhihu.com
本文介绍了适用于正定Hermite矩阵线性方程组的平方根法及其改进方法。通过具体的计算步骤和MATLAB实现,阐述了这两种解法的原理和优势,强调了它们与LU分解的关系以及在编程实现时利用矩阵对称性的便利性。
5808

被折叠的 条评论
为什么被折叠?



