3-1 数组中重复的数字
题目:在一个长度为n的数组里的所有数字都在0~n-1的范围内。数组中某些数字是重复的,但不知道几个数字重复了,也不知道每个数字重复了几次。请找出数组中任意一个重复的数字。例如,如果输入长度为7的数组{2,3,1,0,2,5,3}那么对应输出是1或者3
思路:方法有很多,比如说先排序。但是完全可以在时间复杂度为O(N),空间复杂度是O(1)的条件下实现。
如果没有重复的 说明0-N中的每一个数都有,可以把每个数放在下标为该数的位置,比如0放在number[0],1放在number[1].而且每个数所以可以从第一个开始,把每个数和这个数该在的位置替换位置,如果发现那个位置的数和自己相等,则返回。
#include <stdio.h>
#define bool unsigned int
#define true 1
#define false 0
#define none 2
bool Duplicate(int numbers[],int length,int *duplicate)
{
int i = 0;
int swap =0;
if(numbers == NULL || length<=0)
{
return false;
}
for (i = 0;i < length; i++)
{
if(numbers[i]<0 || numbers[i]>=length)
return false;
}
for(i = 0;i<length ; i++)
{
while(numbers[i]!=i)
{
if(numbers[i] == numbers[numbers[i]])
{
*duplicate = numbers[i];
return true;
}
swap = numbers[i];
numbers[i] = numbers[numbers[i]];
numbers[numbers[i]] = swap;
}
}
return none;
}
int main()
{
int numbers[6] = {1,0,2,3,4,4};
int length = sizeof(numbers)/4;
int duplicate = -1;
bool state = Duplicate(numbers,length, &duplicate);
printf("%d,%d",state,duplicate);
}
3-2 数组中重复的数字(不能修改数组)
题目:在一个长度为N+1的数组里的所有数字都在1~n范围内,所以数组中至少有一个数字是重复的。请找出数组中任意一个复杂的数字,但不能修改输入的数组。
思路:这道题很简单,因为有很多种解法。但是不同的解法对应不同的时间复杂度和空间复杂度,要根据面试官要求写出他想要的程序。
1.新建一个数组,对该数组进行排序。比如插入排序,时间复杂度是O(N2).排完序找重复的数就很简单了,空间复杂度是O(N)
2.第一种方法时间复杂度可以通过改善排序算法降低,但是空间复杂度无法降低。书中提出了一种可以不额外开辟空间的算法,思路如下:由于数组是有规律的,所有数都在1~n内,有n+1个数。把数字分为两部分(根据数值大小),1 ~ m, m+1 ~ n.一定有一个范围内的数比该区间的大小大1(1 ~m应该有m个数,m+1就有问题 )。一直折半,最后当区间范围的头和尾部相等时,就找到了。
最开始不太好想,可以想象一个盒子里全是红球,有一个黑球,然后把盒子不断分成一半,而你又能判断黑球在哪一半。一直分到最后,自然就出来了。
这种方法有个问题:就是不能找到所有重复的数,{1,1,3,4,5,5}这种只能找到4,因为第一次分半时就和把重复的1当做2的情况一样了,让他安全了。
空间复杂度是O(1),看一下时间复杂度怎么算,最开始范围是n,最后范围大小是1,每次一半,所以2的x次方等于n,x = log2(n),范围二分过程的时间复杂度是log2(n).每次分完要判断整个数组中所有数是否在该范围内,O(n).所以最后总时间复杂度为O(nlog(n))
#include <stdio.h>
#define bool unsigned int
#define true 1
#define false 0
#define none 2
int GetCount(int start,int end,int length,const int *numbers)
{
int i = 0;
int count = 0;
for(i = 0;i<length ; i++)
{
if(numbers[i]>=start && numbers[i]<=end)
count ++ ;
}
return count;
}
bool Duplicate(const int* numbers,int length,int *deplicate)
{
int start = 1;
int end = length - 1;
int middle;
int count;
int i;
if(numbers ==0 || length == 0)
return false;
for(i=0;i<length;i++)
{
if(numbers[i]>length-1 || numbers[i]<=0 )
return false;
}
while(1)
{
middle = (start + end)/2;
count = GetCount(start,middle,length,numbers);
/*
if(count>(middle - start + 1))
end = middle;
else
start = middle+1;*/
if(end <= start)
{
if(count>1)
{
*deplicate = start;
return true;
}
else
return false;
}
if(count>(middle - start + 1))
end = middle;
else
start = middle+1;
}
}
int main()
{
int numbers[] = { 3, 2, 1, 4, 4, 5, 6, 7 };
int length = sizeof(numbers)/4;
int duplicate = 0;
bool state = Duplicate(numbers,length, &duplicate);
printf("%d,%d",state,duplicate);
}
代码有一个地方要注意:GetCount函数之后必须直接判断end<=start。
{ 3, 2, 1, 4, 4, 5, 6, 7 }为例:
循环几次之后,start = 3,end = 4,middle = 3.GetCount得到1,start变成4,这时候end<=start条件满足,进入判断,但是count=1;出错。
也就是说,在判断之前必须得到的是最新的GetCount。这个BUG很难发现,大多数情况是不会出问题的。
4 二维数组中的查找
题目:在一个二维数组中,每一行都按照从左到右递增的顺序排序,每一列都按照从上到下递增的顺序排序,请完成一个函数,输入这样的一个二维数组和一个整数,判断数组中是否含有该整数。
思路:将数组看成一个矩阵,从左下角或者右上角开始,以左上角为例,若小于该数则行 ++,如果大于该数则列–。终止条件为找到等于该数或者到了右下角。
注意:
1.二维数组在定义时不能省略列数(后面那个)
2.二维数组传递到子函数中,常用的有两种方法。
一种是直接传入二维数组(本身是二维指针)
int matrix[][4];
bool result = Find(matrix, 4, 4, number);
bool Find(int matrix[][4], int rows, int columns, int number);
这种方法的缺点是子函数必须知道传入的二维数组的列数是多少,如果把4改成5编译会通过,但是实际上的内容就错了。
第二种方法是将二维数据降级为一级指针,然后将二维数组看成一维数组int matrix[][4];
bool result = Find((int*)matrix, 4, 4, number);
bool Find(int* matrix, int rows, int columns, int number);
这种方法的缺点是无法用a[i][j]这种方式查询数组了,要用a[i*colums+j]来查询。
#include <stdio.h>
#define bool unsigned int
#define true 1
#define false 0
#define none 2
bool Find(int* matrix, int rows, int columns, int number)
{
int i = 0;
int j = columns-1;
while(i<rows && j>=0)
{
if(matrix[i*columns+j] == number)
{
return true;
}
else if(matrix[i*columns+j]>number)
j--;
else
i++;
}
return false;
}
int main()
{
int matrix[][4] = {{1, 2, 8, 9}, {2, 4, 9, 12}, {4, 7, 10, 13}, {6, 8, 11, 15}};
int number = 4;
bool result = Find((int*)matrix, 4, 4, number);
printf("%d",result);
}
5 字符串替换空格
题目:请实现一个函数,把字符串中的每个空格替换成%20.
基本思路:这道题的问题在于要把一个字符的空格变成三个字符的%20,所以要改变字符串。常规思路就是从头开始查找,找到空格后把后面的字符向后移动两位然后把这三个位置替换为%20.
时间复杂度为O(n2).
优化思路:上面思路的时间主要浪费在每次找到空格都要移动后面的字符串。可以先一次性找出空格的数量,这样字符串的新长度就能确定了,由于字符串的后面是空的,所以可以从后向前复制,两个指针,p1指向新长度的最后,p2指向老字符串的最后。然后不断判断老字符串,如果不是空格就复制过去,是空格就把%20写过去。
停止条件:p2 = p1(p2=p1说明前面已经没空格了)
时间复杂度为O(n)
注意:
1.字符串的两种定义,char * str = “csh”;char str[] = “csh”.两种方法是不一样的。C语言会把字符串放到只读存储区,第一种方式会指向该位置,第二种方式会在数据区分配一段区域,然后把字符串复制过去。因为程序要改变字符串,所以必须用char str[]="csh"的方式,否则程序会崩溃。
2.字符串结束的标志是‘\0’,不要忘记。否则会出现乱码。
#include <stdio.h>
#include <stdlib.h>
#define bool unsigned int
#define true 1
#define false 0
#define none 2
bool ReplaceSpace(char* str,int length)
{
char* p1,*p2;
int originalLength = 0;
int newLength = 0;
int spaceNum = 0;
int i = 0;
if(str == 0)
return false;
while(str[i]!= '\0')
{
originalLength ++;
if(str[i] == ' ')
spaceNum++;
i++;
}
newLength = originalLength + spaceNum*2 ;
if(newLength > length)
return false;
p1 = &str[originalLength];
p2 = &str[newLength ];
//while(p1>=&str[0] && p2>p1)
while (p2>p1)
{
if(*p1 == ' ')
{
*p2-- = '0';
*p2-- = '2';
*p2-- = '%';
}
else
*p2-- = *p1;
p1 --;
}
return true;
}
int main()
{
const int length = 100;
char str[100] = " We are happy ";
//char *str = " We are happy ";
bool state = ReplaceSpace(str, length);
if(state)
{
printf("%s",str);
}
}
6 链表反向打印
题目:输入一个链表的头结点,从未到头打印出每个节点的值
思路 1.放到栈里 打印栈。2.递归
(C语言需要自己写链表,锻炼以下功底吧)
#include <stdio.h>
#include <stdlib.h>
#define bool unsigned int
#define true 1
#define false 0
#define none 2
typedef struct ListNode
{
int data;
struct ListNode* next;
}listNode;
bool NodePush(listNode* L,int data)
{
listNode* p;
listNode* node = (listNode*)malloc(sizeof(listNode));
if(!node)return false;
node->data = data;
node->next = NULL;
p = L;
while(p->next!=NULL)
p = p->next;
p->next = node;
return true;
}
listNode HeadCreat(int data)
{
listNode head ;
head.data = data;
head.next = NULL;
return head;
}
void PrintListReverse(listNode* head)
{
int stack[40];
int i = 0;
listNode* p = head;
if(head == NULL)return;
while(p->next!=NULL)
{
stack[i++] = p->data;
p = p->next;
}
stack[i] = p->data;
for(;i>=0;i--)
{
printf("%d ",stack[i]);
}
printf("\n");
}
void PrintListReverse1(listNode* head)
{
if(head == NULL)return;
if(head->next!=NULL)
PrintListReverse1(head->next);
printf("%d ",head->data);
}
int main()
{
int i;
listNode node = HeadCreat(4);
listNode* head = &node;
for(i=5;i<20;i++)
{
NodePush(head ,i);
}
PrintListReverse(head);
PrintListReverse1(head);
}
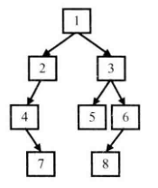
7 重建二叉树
题目:输入某二叉树的前序遍历和中序遍历的结果,请重建该二叉树。假设输入的前序遍历和中序遍历的结果中都不含重复的数字。例如,输入前序遍历序列{1,2,4,7,3,5,6,8}和中序遍历序列{4,7,2,1,5,3,8,6},则重建二叉树
思路:二叉树的前序遍历和中序遍历就不讲了,自己看一下。其实编程就是把自己的思路用计算机去实现。所以先用语言把思路写出来:根是前序遍历的第一个,左子树是中序遍历中根的左边,右子树是中序遍历中根的右边。不断递归就好了。
结束条件:没有左子树也没有右子树。
程序写的有点蠢了,非要用指针加来加去搞复杂了,其实看成数组,用数组标会简单点。写了一般的时候发现的也就懒得改了,大家可以试试传入首地址和长度,用下标去做。
#include <stdio.h>
#include <stdlib.h>
#define bool unsigned int
#define true 1
#define false 0
#define none 2
typedef struct binaryTreeNode
{
int value;
struct binaryTreeNode* left;
struct binaryTreeNode* right;
}binaryTree;
binaryTree* ConstructCore(int *inorderStart,int* inorderEnd,int *preorderStart,int* preorderEnd)
{
int *p;
int *preorderEndLeft;
binaryTree* root = (binaryTree*)malloc(sizeof(binaryTree));
if(inorderStart == inorderEnd)//结束条件
{
if(*inorderEnd != *preorderEnd)return false;
else
{
root->left = NULL;
root->right = NULL;
root->value = *preorderStart;
return root;
}
}
root->value = *preorderStart++;
for(p = inorderStart;p<=inorderEnd && *p!=root->value;p++);
if(p>inorderEnd)return false;//中序遍历中没找到根节点
preorderEndLeft = preorderStart+(p-1-inorderStart);
root->left = ConstructCore(inorderStart,p-1,preorderStart,preorderEndLeft);
root->right = ConstructCore(p+1,inorderEnd,preorderEndLeft+1,preorderEnd);
return root;
}
binaryTree* Construct(int preorder[],int inorder[],int length1,int length2)
{
if(length1!=length2 || !length1)
return false;
return ConstructCore(inorder,inorder+length1-1,preorder,preorder+length2-1);
}
int main()
{
int preorder[] = {1,2,4,7,3,5,6,8};
int inorder[] = {4,7,2,1,5,3,8,6};
binaryTree* root = Construct(preorder,inorder,sizeof(preorder)/sizeof(int),sizeof(inorder)/sizeof(int));
}
8 二叉树的下一个节点
题目:给定一棵二叉树和其中的一个节点,如何找出中序遍历的下一个节点?树中的节点除了有两个分别指向左右子节点的指针,还有一个指向父节点的指针。

思路:先用文字理清思路:二叉树中序遍历找下一个节点。上图的中序遍历为dbheiafcg,有三种情况:
1.有右子树,那就去找右子树中最左的子树。b的下一个是h
2.没有右子树,但是是双亲的左子树。那说明它是双亲左子树里面最后一个,所以下一个就是双亲。比如d的下一个是b
3.没有右子树 ,还是双亲的右子树。那说明双亲在他前面,需要一直向上找,找到是双亲的左子树的。这个双亲就是下一个。比如i,找到e,再找到b,再找到a,满足条件了,就是a.
(写完之后发现2和3其实有相关性,都是找有左子树的双亲,2是3的特殊情况)
#include <stdio.h>
#include <stdlib.h>
#define bool unsigned int
#define true 1
#define false 0
#define none 2
typedef struct binaryTreeNode
{
int value;
struct binaryTreeNode* left;
struct binaryTreeNode* right;
struct binaryTreeNode* parent;
}binaryTree;
binaryTree* GetNext(binaryTree* node)
{
binaryTree* parent;
binaryTree* current;
if(node==NULL)return NULL;
if(node->right!=NULL)
{
node = node->right;
while(node->left!=NULL)
node = node->left;
return node;
}
else if(node->parent!=NULL)
{
parent = node->parent;
current = node;
while( parent!=NULL && current!=parent->left)//反过来会出BUG,因为parent是NULL是就访问不到left了
{
current = parent;
parent = parent->parent;
}
if(parent!=NULL)
return parent;
else
return NULL;
}
}
/*构建二叉树*/
binaryTree* ContructBinaryTree(int value)
{
binaryTree* node = (binaryTree*)malloc(sizeof(binaryTree));
node->left = NULL;
node->right = NULL;
node->parent = NULL;
node->value = value;
return node;
}
void ConnectTreeNodes(binaryTree* parent, binaryTree* left, binaryTree* right)
{
if(parent != NULL)
{
parent->left = left;
parent->right = right;
if(left != NULL)
left->parent = parent;
if(right != NULL)
right->parent = parent;
}
}
/*打印二叉树*/
void PrintTree(binaryTree* root)
{
if(root->left!=NULL)
PrintTree(root->left);
printf("%d ",root->value);
if(root->right!=NULL)
PrintTree(root->right);
}
int main()
{
binaryTree *node;
binaryTree* pNode8 = ContructBinaryTree(8);
binaryTree* pNode6 = ContructBinaryTree(6);
binaryTree* pNode10 = ContructBinaryTree(10);
binaryTree* pNode5 = ContructBinaryTree(5);
binaryTree* pNode7 = ContructBinaryTree(7);
binaryTree* pNode9 = ContructBinaryTree(9);
binaryTree* pNode11 = ContructBinaryTree(11);
ConnectTreeNodes(pNode8, pNode6, pNode10);
ConnectTreeNodes(pNode6, pNode5, pNode7);
ConnectTreeNodes(pNode10, pNode9, pNode11);
PrintTree(pNode8);
node = GetNext(pNode5);
if(node)printf("\n%d",node->value);
node = GetNext(pNode6);
if(node)printf("\n%d",node->value);
node = GetNext(pNode7);
if(node)printf("\n%d",node->value);
node = GetNext(pNode8);
if(node)printf("\n%d",node->value);
node = GetNext(pNode9);
if(node)printf("\n%d",node->value);
node = GetNext(pNode10);
if(node)printf("\n%d",node->value);
node = GetNext(pNode11);
if(node)printf("\n%d",node->value);
}
9 用两个栈实现队列
题目:用两个栈实现一个队列。
思路:很简单一道题,栈是先进先出,队列是先进后出,要想让栈有队列的效果,只需要在出栈的时候再建立一个辅助栈,然后:1.先把原始栈出栈到辅助栈里面。2.从辅助栈中出栈。3.将辅助栈的东西再出栈回原栈。4.释放辅助栈
这道题如果放在C++里面分分钟就写完了,因为C++自带栈函数,但是用C语言就要自己写进栈函数、出栈函数了,代码量还有点大。还有一点就是虽然在子函数中构建栈,子函数返回后会把子函数的栈都释放的,但是栈是要单独申请空间的,不是存在子函数栈中。所以在用完的时候一定要把辅助栈给释放掉。
注意:指针相减得到的是指向类型的个数,不是地址差
#include <stdio.h>
#include <stdlib.h>
#define bool unsigned int
#define true 1
#define false 0
#define none 2
#define STACK_ININ_SIZE 20//栈初始化长度
#define STACK_INCREMENT 10//每次增长长度
typedef struct Stack
{
int *base;
int *top;
int stackSize;//栈长度
}Stack;
Stack* InitStack()
{
Stack* stack = (Stack*)malloc(sizeof(Stack));
stack->base = (int*)malloc(sizeof(int)*STACK_ININ_SIZE);
if(stack->base)
stack->stackSize = STACK_ININ_SIZE;
else
return false;
stack->top = stack->base;
return stack;
}
bool DestroyStack(Stack* stack)
{
free(stack->top);
free(stack);
}
bool PopStack(Stack *stack,int elem)
{
int *a;
//if((stack->top - stack->base)/sizeof(int)==stack->stackSize)
if((stack->top - stack->base)==stack->stackSize)//等于的时候说明已经存满 指针相减就是指针指向类型的数目
{
a = (int*)realloc(stack->base,(stack->stackSize+STACK_INCREMENT)*sizeof(int));
if(!a)
return false;
else
{
stack->base = a;
stack->top = stack->base + stack->stackSize;
stack->stackSize += STACK_INCREMENT;
}
}
*stack->top++ = elem;
return true;
}
int PushStack(Stack* stack)
{
if(stack->top == stack->base)
return false;
return *--stack->top;
}
bool AppendTail(Stack* stack,int elem)
{
if(PopStack(stack,elem))
return true;
else
return false;
}
int DeleteHead(Stack* stack1)
{
int head;
Stack *stack2 = InitStack();
while(stack1->top>stack1->base)
{
PopStack(stack2,PushStack(stack1));
}
head = PushStack(stack2);
while(stack2->top>stack2->base)
{
PopStack(stack1,PushStack(stack2));
}
DestroyStack(stack2);
return head;
}
int main()
{
int i=0;
int *p;
Stack *stack1 = InitStack();
/*构建栈*/
for(i=1;i<31;i++)
{
AppendTail(stack1,i);
}
for(i=0;i<30;i++)
{
printf("%d ",DeleteHead(stack1));
}
}
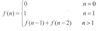
10 斐波那契数列
题目:写一个函数,输入n,求斐波那契数列的第n项。斐波那契数列的定义如下:

思路:
1.斐波那契是最经典的递归题目,可以用递归的方法来做。但是递归的时间复杂度和空间复杂度都很低,随着n的增大,计算量是很恐怖的。
2.用递归可以做的题目都可以用循环来做,先根据第0和1项算出第2项,再根据1和2算出第3项。需要三个变量,用来存储前两个斐波那契数。比较简单。
#include <stdio.h>
#include <stdlib.h>
#define bool unsigned int
#define true 1
#define false 0
#define none 2
int Fibonacci(unsigned int n)
{
if(n==0)
return 0;
if(n==1)
return 1;
return Fibonacci(n-2)+Fibonacci(n-1);
}
int Fibonacci1(unsigned int n)
{
int i;
unsigned int fib1,fib2,fibN = 0;
if(n==0)return 0;
if(n==1)return 1;
fib1 = 0;
fib2 = 1;
for(i=2;i<=n;i++)
{
fibN = fib1+fib2;
fib1 = fib2;
fib2 = fibN;
}
return fibN;
}
int main()
{
int i;
for(i=0;i<10;i++)
printf("%d ",Fibonacci(i));
printf("\n");
for(i=0;i<10;i++)
printf("%d ",Fibonacci1(i));
}
延伸题目:青蛙上楼梯问题,青蛙一次可以上一个台阶或者上两个台阶,那么问有n个台阶时,青蛙 有多少种上法。
思路:函数f(n),因为青蛙只有两个台阶选择,所以我们可以假定已经跳了一个,那么还有f(n-1)个选择;假定已经跳了两个,那么还有f(n-2)种选择。所以f(n) = f(n-1)+f(n-2).这还是斐波那契数列,只不过f(1) =1,f(2)=2.
本文深入解析了多个经典算法问题,包括数组中重复数字的查找、二维数组中的查找、字符串空格替换、链表反向打印、二叉树的构建与遍历等,提供了多种高效解决方案。
1225





