网络安全
网络通信中面临的 种安全威胁
◼ 截获:窃听通信内容
◼ 中断:中断网络通信
◼ 篡改:篡改通信内容
◼ 伪造:伪造通信内容

网络层_ARP欺骗
◼ ARP欺骗(ARP spoofing),又称ARP毒化(ARP poisoning)、ARP病毒、ARP攻击
◼ ARP欺骗可以造成的效果
可让攻击者获取局域网上的数据包甚至可篡改数据包
可让网络上特定电脑之间无法正常通信(例如网络执法官这样的软件)
让送至特定IP地址的流量被错误送到攻击者所取代的地方
…
核心步骤举例
◼ 假设主机C是攻击者,主机A、B是被攻击者
C只要收到过A、B发送的ARP请求,就会拥有A、B的IP、MAC地址,就可以进行欺骗活动
C发送一个ARP响应给B,把响应包里的源IP设为A的IP地址,源MAC设为C的MAC地址
B收到ARP响应后,更新它的ARP表,把A的MAC地址(IP_A, MAC_A)改为(IP_A, MAC_C)
当B要发送数据包给A时,它根据ARP表来封装数据包的头部,把目标MAC地址设为MAC_C,而非MAC_A
当交换机收到B发送给A的数据包时,根据此包的目标MAC地址(MAC_C)而把数据包转发给C
ARP防护
◼ 静态ARP
◼ DHCP Snooping
网络设备可借由DHCP保留网络上各电脑的MAC地址,在伪造的ARP数据包发出时即可侦测到
◼ 利用一些软件监听ARP的不正常变动
◼ …
DOS,DDOS攻击
◼ DoS攻击(拒绝服务攻击,Denial-of-Service attack)
使目标电脑的网络或系统资源耗尽,使服务暂时中断或停止,导致其正常用户无法访问
◼ DDoS攻击(分布式拒绝服务攻击,Distributed Denial-of-Service attack)
黑客使用网络上两个或以上被攻陷的电脑作为“僵尸”向特定的目标发动DoS攻击
2018年3月,GitHub遭到迄今为止规模最大的DDoS攻击
◼ DoS攻击可以分为2大类
带宽消耗型:UDP洪水攻击、ICMP洪水攻击
资源消耗型:SYN洪水攻击、LAND攻击
传输层 SYN洪水攻击
◼ SYN洪水攻击(SYN flooding attack)
攻击者发送一系列的SYN请求到目标,然后让目标因收不到ACK(第3次握手)而进行等待、消耗资源
◼ 攻击方法
跳过发送最后的ACK信息
修改源IP地址,让目标送SYN-ACK到伪造的IP地址,因此目标永不可能收到ACK(第3次握手)
◼ 防护
参考:RFC 4987

传输层LAND攻击
◼ LAND攻击(局域网拒绝服务攻击,Local Area Network Denial attack)
通过持续发送相同源地址和目标地址的欺骗数据包,使目标试图与自己建立连接,消耗系统资源直至崩溃
◼ 有些系统存在设计上的缺陷,允许设备接受并响应来自网络、却宣称来自于设备自身的数据包,导致循环应答
◼ 防护
大多数防火墙都能拦截类似的攻击包,以保护系统
部分操作系统通过发布安全补丁修复了这一漏洞
路由器应同时配置上行与下行筛选器,屏蔽所有源地址与目标地址相同的数据包

DOS,DDOS防御
◼ 防御方式通常为:入侵检测、流量过滤、和多重验证
堵塞网络带宽的流量将被过滤,而正常的流量可正常通过
◼ 防火墙
防火墙可以设置规则,例如允许或拒绝特定通讯协议,端口或IP地址
当攻击从少数不正常的IP地址发出时,可以简单的使用拒绝规则阻止一切从攻击源IP发出的通信
复杂攻击难以用简单规则来阻止,例如80端口遭受攻击时不可能拒绝端口所有的通信,因为同时会阻止合法流量
防火墙可能处于网络架构中过后的位置,路由器可能在恶意流量达到防火墙前即被攻击影响
◼ 交换机:大多数交换机有一定的速度限制和访问控制能力
◼ 路由器:和交换机类似,路由器也有一定的速度限制和访问控制能力
◼ 黑洞引导
将所有受攻击计算机的通信全部发送至一个“黑洞”(空接口或不存在的计算机地址)或者有足够能力处理洪流
的网络设备商,以避免网络受到较大影响
◼ 流量清洗
当流量被送到DDoS防护清洗中心时,通过采用抗DDoS软件处理,将正常流量和恶意流量区分开
正常的流量则回注回客户网站
应用层_DNS劫持
◼ DNS劫持,又称为域名劫持
攻击者篡改了某个域名的解析结果,使得指向该域名的IP变成了另一个IP
导致对相应网址的访问被劫持到另一个不可达的或者假冒的网址
从而实现非法窃取用户信息或者破坏正常网络服务的目的
◼ 为防止DNS劫持,可以考虑使用更靠谱的DNS服务器,比如:114.114.114.114
谷歌:8.8.8.8、8.8.4.4
微软:4.2.2.1、4.2.2.2
百度:180.76.76.76
阿里:223.5.5.5、223.6.6.6
◼ HTTP劫持:对HTTP数据包进行拦截处理,比如插入JS代码
比如你访问某些网站时,在右下角多了个莫名其妙的弹窗广告
HTTP协议的安全问题
◼ HTTP协议默认是采取明文传输的,因此会有很大的安全隐患
常见的提高安全性的方法是:对通信内容进行加密后,再进行传输
◼ 常见的加密方式有
不可逆
✓ 单向散列函数:MD5、SHA等
可逆
✓ 对称加密:DES、3DES、AES等
✓ 非对称加密:RSA等
其它
✓ 混合密码系统
✓ 数字签名
✓ 证书
常见英文
◼ encrypt:加密
◼ decript:解密
◼ plaintext:明文
◼ ciphertext:密文
◼ 为了便于学习,设计 个虚拟人物
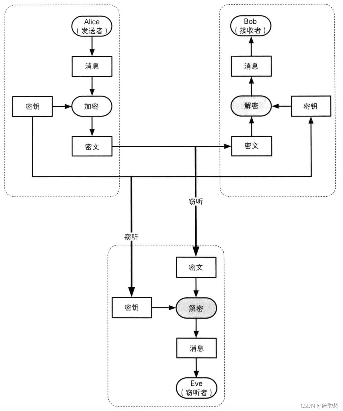
Alice、Bob :互相通信
Eve :窃听者
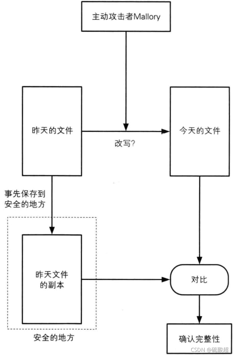
Mallory:主动攻击者


如何防止被窃听?
进行明文的加密

几个网站
◼ 加密
https://www.cmd5.com/hash.aspx
◼ 解密
https://www.cmd5.com/
◼ 其它加密
https://www.sojson.com/encrypt_des.html
https://tool.chinaz.com/tools/md5.aspx
单向散列函数
可以根据消息内容计算出散列值
散列值的长度和消息的长度无关,无论消息长度多少,单向散列函数都会计算出固定长度的散列值


特点
具有单向性,不能反向解密,只有当是数据库足够大时,也就是枚举量足够大时,才有可能解密出来
根据任意长度的消息,计算出固定长度的散列值
计算速度快,能快速计算出散列值
消息不同,散列值也不同
称呼
◼ 单向散列函数,也被称为
消息摘要函数( message digest function)
哈希函数( hash function)
◼ 输出的散列值,也被称为
消息摘要(message digest )
指纹( fingerprint)
常见的几种单向散列函数
◼ MD4、MD5
产生128bit的散列值, 就是message Digest的缩写
◼SHA-1
产生160bit的散列值
◼SHA-2
SHA-256、SHA-384 、 SHA-512,散列值长度分别是256bit、382bit 、512bit
◼SHA-3
全新标准
如何防止数据被篡改
事先文件备份,到时进行文件对比(太费时间和精力)


应用单向散列函数-防止数据被篡改
利用散列值确认文件是否被篡改

对比散列值判断软件是否为正版

应用单向散列函数进行数据加密
前后端的应用,直接将用户的密码进行md5加密存进数据库里。这也就是在密码忘记,想要找回密码的时候,网站是不会告诉你老密码,因为他也不知道老密码是什么,如果网站能告诉你密码是什么,那么说明他是不安全的,因为他是明文保存用户的密码的。

如何加密解密
对称加密(对称密码)
◼ 在对称加密中,加密、解密时使用的是同一个密钥
◼ 常见的对称加密算法有DES、3DES、AES

DES(Data Encryption Standard)
加密过程图示:

解密过程图示:

◼ 是一种将 明文加密成 密文的对称加密算法,密钥长度是56bit
◼ 规格上来说,密钥长度是64bit ,但每隔7bit会设置一个用于错误检查的bit ,因此密钥长度实质上是56bit
◼ 由于DES每次只能加密64bit的数据,遇到比较大的数据,需要对DES加密进行迭代(反复)
◼ 目前已经可以在短时间内被破解,所以不建议使用
3DES(Triple Data Encryption Standard)
◼ ,将 重复 次所得到的一种密码算法,也叫做 重
三重 并不是进行三次 加密(加密 加密 加密)
而是加密(Encryption) 解密(Decryption) 加密(Encryption )的过程
◼ 目前还被一些银行等机构使用,但处理速度不高,安全性逐渐暴露出问题
◼ 3个密钥都是不同的,也称为DES-EDE3
◼如果密钥1、密钥3相同,密钥2不同,称为DES-EDE2
加密过程图示:

解密过程图示:

AES(Advanced Encription Standard)
◼ 取代DES成为新标准的一种对称加密算法,又称Rijndael加密法
◼ 的密钥长度有 128、192 、256 三种
◼ 目前AES已经逐步取代DES 、3DES ,成为首选的对称加密算法
◼ 一般来说,我们也不应该去使用任何自制的密码算法,而是应该使用AES
它经过了全世界密码学家所进行的高品质验证工作
密钥配送问题
◼ 在使用对称加密时,一定会遇到密钥配送问题
◼ 如果Alice将使用对称加密过的消息发给了Bob
只有将密钥发送给Bob, 才能完成解密
在发送密钥过程中
✓ 可能会被Eve窃取密钥
✓ 最后Eve也能完成解密

如何解决密钥配送问题
◼ 有以下几种解决密钥配送的方法
事先共享密钥(比如私下共享)
密钥分配中心( Key Distribution Center,简称KDC )
Diffie-Hellman密钥交换
非对称加密
非对称加密(公钥密码)
◼ 在非对称加密中,密钥分为加密密钥、解密密钥 种,它们并不是同一个密钥
◼ 加密密钥:一般是公开的,因此该密钥称为公钥( public key)
因此,非对称加密也被称为公钥密码( Public-key Cryptography)
◼ 解密密钥:由消息接收者自己保管的,不能公开,因此也称为私钥( private key)

公钥、私钥
◼ 公钥和私钥是一一对应的,不能单独生成
一对公钥和私钥统称为密钥对( key pair)
◼ 由公钥加密的密文,必须使用与该公钥对应的私钥才能解密
◼ 由私钥加密的密文,必须使用与该私钥对应的公钥才能解密

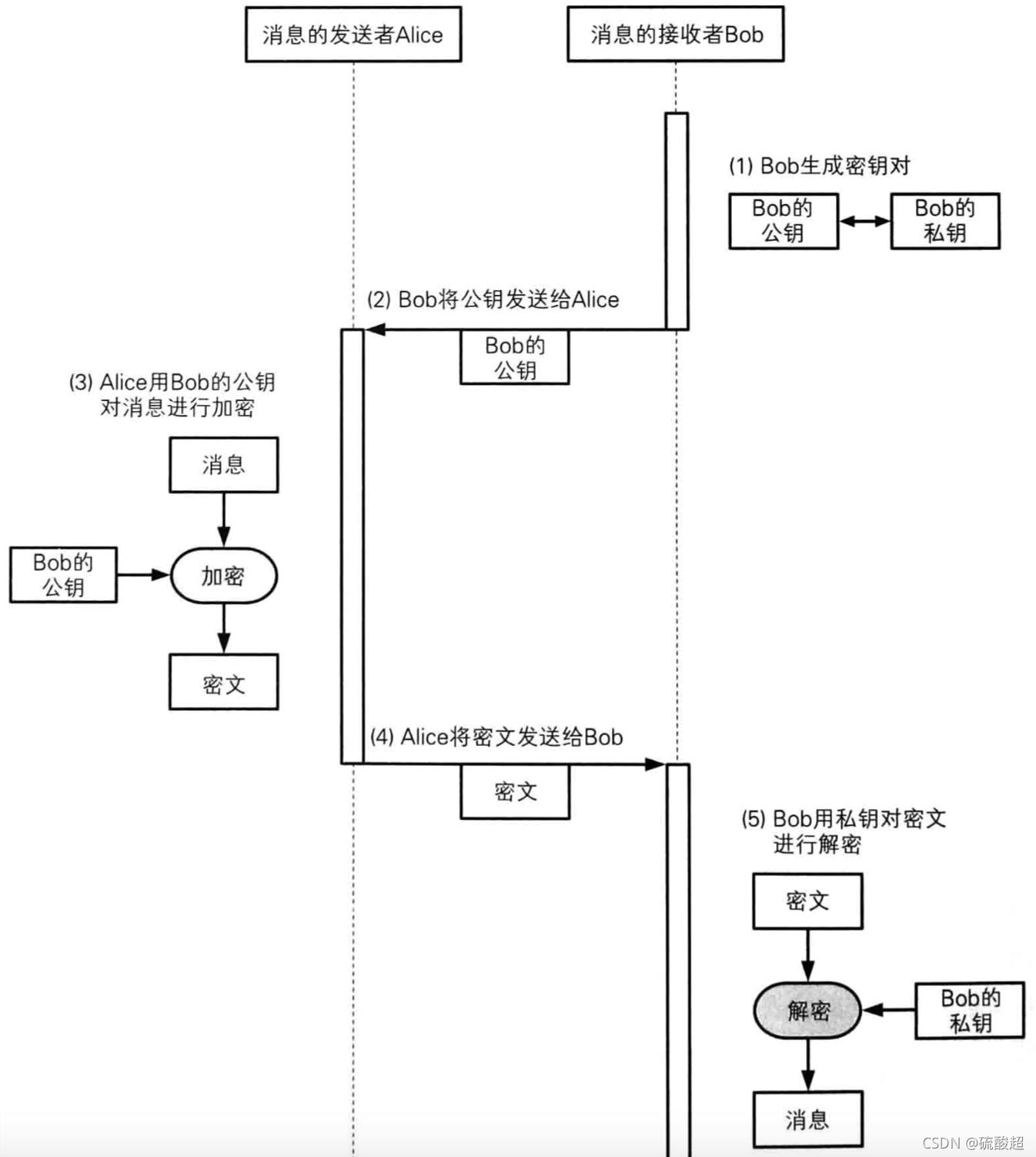
解决密钥配送问题
◼ 由消息的接收者,生成一对公钥、私钥
◼ 将公钥发给消息的发送者
◼ 消息的发送者使用公钥加密消息,消息的接收者使用私钥解密消息
◼ 非对称加密的加密解密速度比对称加密要慢
配送过程图示:

这样,就算攻击者拿到公钥,也没有私钥进行解密
混合密码系统(Hybrid Cryptosystem)
◼ 对称加密的缺点
不能很好地解决密钥配送问题(密钥会被窃听)
◼ 非对称加密的缺点
加密解密速度比较慢
◼ 混合密码系统:是将对称加密和非对称加密的优势相结合的方法
解决了非对称加密速度慢的问题
并通过非对称加密解决了对称加密的密钥配送问题
◼ 网络上的密码通信所用的SSL/TLS都运用了混合密码系统
加密
◼ 会话密钥( session key)
为本次通信随机生成的临时密钥
作为对称加密的密钥,用于加密消息,提高速度
◼ 加密步骤(发送消息)
① 首先,消息发送者要拥有消息接收者的公钥
② 生成会话密钥,作为对称加密的密钥,加密消息
③ 用消息接收者的公钥,加密会话密钥
④ 将前2步生成的加密结果,一并发给消息接收者
◼ 发送出去的内容包括
用会话密钥加密的消息(加密方法:对称加密)
用公钥加密的会话密钥(加密方法:非对称加密)
加密过程图示:

解密过程图示:
◼ 解密步骤(收到消息)
① 消息接收者用自己的私钥解密出会话密钥
② 再用第①步解密出来的会话密钥,解密发过来的消息
混合密码-加密解密流程
◼Alice >>>>>> Bob
发送过程(加密过程)
① 先生成一对公钥、私钥
② 把公钥共享给Alice
③ 随机生成一个会话密钥(临时密钥)
④ 用会话密钥加密需要发送的消息(使用的是对称加密)
⑤ Alice用Bob的公钥加密会话密钥(使用的是非对称加密)
⑥ Alice把第④、⑤步的加密结果,一并发送给Bob
接收过程(解密过程)
① Bob利用自己的私钥解密会话密钥(使用的是非对称加密算法进行解密)
② Bob利用会话密钥解密发送过来的消息(使用的是对称加密算法进行解密)
数字签名防止篡改、伪装、否认
◼ Alice发的内容有可能是被篡改的,或者有人伪装成Alice发消息,或者就是Alice发的,但她可以否认
◼ 问题来了: Bob如何确定这段消息的真实性?如何识别篡改、伪装、否认?
◼ 解决方案
数字签名
数字签名
◼ 在数字签名技术中,有以下2种行为
生成签名
✓ 由消息的发送者完成,通过“签名密钥”生成
验证签名
✓ 由消息的接收者完成,通过“验证密钥”验证
◼ 如何能保证这个签名是消息发送者自己签的?
用消息发送者的私钥进行签名
用消息发送者的公钥进行验证
数字签名-过程-消息->签名-传输
(1)发送者Alice用自己的私钥加密消息m,然后发送自己的签名给接受者
(2)发送者Alice发送消息m给接收者Bob
(3)接收者Bob用Alice的公钥解密收到的签名得到消息m’
(4)接收者Bob将收到的m和解密后的m’对比

数字签名-过程改进
消息->散列值->签名-传输
(1)Alice用单向散列函数计算消息的散列值
(2)Alice用自己的私钥加密散列值
(3)Alice将消息和签名发送给接收者Bob
(4)Bob用Alice的公钥解密收到的签名
(5)Bob将收到的消息用单向散列函数计算得到散列值
(6)将散列值与解密签名后的散列值对比


数字签名-疑惑
◼ 如果有人篡改了消息内容或签名内容,会是什么结果?
签名验证失败,证明内容被篡改了
◼ 数字签名不能保证机密性?
数字签名的作用不是为了保证机密性,仅仅是为了能够识别内容有没有被篡改
◼ 数字签名的作用
确认消息的完整性
识别消息是否被篡改
防止消息发送人否认
非对称加密 公钥、私钥再总结
在非对称加密中,任何人都可以使用公钥进行加密
在数字签名中,任何人都可以使用公钥验证签名
◼ 数字签名,其实就是将非对称加密反过来使用
| 公钥 | 私钥 | |
|---|---|---|
| 非对称加密 | 发送者加密时使用 | 接收者解密时使用 |
| 数字签名 | 验证者验证签名时使用 | 签名者生成签名时使用 |
| 谁持有密钥? | 只要有需要,任何人都可以持有 | 个人持有 |
◼ 既然是加密,那肯定是不希望别人知道我的消息,所以只有我才能解密
公钥负责加密,私钥负责解密
◼ 既然是签名,那肯定是不希望有人冒充我发消息,所以只有我才能签名
私钥负责签名,公钥负责验证
公钥的合法性

◼ 如果遭遇了中间人攻击,那么
公钥将可能是伪造的
◼ 如何验证公钥的合法性?
证书
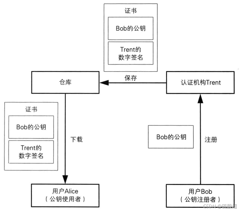
证书( Certificate)
◼ 说到证书
首先联想到的是驾驶证、毕业证、英语四六级证等等,都是由权威机构认证的
◼ 密码学中的证书,全称叫公钥证书(Public-key Certificate,PKC),跟驾驶证类似
里面有姓名、邮箱等个人信息,以及此人的公钥
并由认证机构(Certificate Authority,CA)施加数字签名
◼ CA就是能够认定“公钥确实属于此人”并能够生成数字签名的个人或者组织
有国际性组织、政府设立的组织
有通过提供认证服务来盈利的企业
个人也可以成立认证机构
证书-使用

◼ 各大CA的公钥,默认已经内置在浏览器和操作系统中
证书-注册和下载

证书- 查看已经信任的证书
① Windows键 + R >>> 输入mmc
② 文件 >>> 添加/删除管理单元
③ 证书 >>> 添加 >>> 我的用户账户 >>> 完成 >>> 确定


总结:
加密传输:
明文传输->密文传输(加密)->对称加密->容易被窃听拿到密钥->非对称加密->公钥密码体制->加密解密速度比较慢->混合密码系统->消息用对称加密传输,密钥用非对称加密传输->伪造公钥->证书(找一个信任的CA注册公钥)
数字签名->防止篡改、伪装、否认
消息->签名-传输
消息->散列值->签名-传输
笔记内容大部分来自于小码哥教育

被折叠的 条评论
为什么被折叠?



