Zn-l
码龄4年
关注
提问 私信
  • 博客:21,664
    21,664
    总访问量
  • 30
    原创
  • 59,595
    排名
  • 342
    粉丝
  • 0
    铁粉

个人简介:锌

IP属地以运营商信息为准,境内显示到省(区、市),境外显示到国家(地区)
IP 属地:广东省
  • 加入CSDN时间: 2020-12-09
博客简介:

weixin_53415203的博客

查看详细资料
  • 原力等级
    当前等级
    3
    当前总分
    334
    当月
    2
个人成就
  • 获得451次点赞
  • 内容获得8次评论
  • 获得267次收藏
创作历程
  • 30篇
    2024年
成就勋章
TA的专栏
  • 力扣刷题
    23篇
  • 软件安装
    3篇
  • 计算机操作系统【慕课版】
兴趣领域 设置
  • Python
    python
  • Java
    spring bootmybatis
  • 编程语言
    java
  • 开发工具
    pycharmpostman
  • 大数据
    mysql
创作活动更多

2024 博客之星年度评选报名已开启

博主的专属年度盛宴,一年仅有一次!MAC mini、大疆无人机、华为手表等精美奖品等你来拿!

去参加
  • 最近
  • 资源
  • 代码仓
  • 视频
  • 问答
  • 收藏
  • 课程
  • 关注/订阅/互动
  • 文章
  • 帖子
搜TA的内容
搜索 取消

Error creating bean with name ‘sqlSessionFactory‘ defined in class path resource

cn.edu.seig.lab15.pojo.Freshman,即可解决该错误。原因1:xml配置文件中resultType找不到所属文件。mapper namespace路径输入错误,仔细检查下。当resultType修改为。
原创
发布博客 2024.10.15 ·
448 阅读 ·
3 点赞 ·
0 评论 ·
2 收藏

Servlet[springmvc]的Servlet.init()引发异常

web.xml配置文件中监听器导入依赖项失败。
原创
发布博客 2024.10.13 ·
462 阅读 ·
1 点赞 ·
0 评论 ·
0 收藏

IEDA创建文件模板

4、新建配置项目,右键点击新建选择SpringMVC即可(刚刚模板中的名称)1、点击设置-编辑器-文件与代码模板。3、复制模板代码-点击应用、确定即可。2、输入对应的名称、扩展名、文件名。
原创
发布博客 2024.10.09 ·
469 阅读 ·
4 点赞 ·
0 评论 ·
1 收藏

SpringMVC中出现的sql语句错误

出现问题:Request processing failed: org.springframework.jdbc.BadSqlGrammarException: StatementCallback;1、原sql语句:select `major_id` AS 'majorId' ,`major_name` AS 'majorName',tuition,`dept_id` as 'deptId' from tb_major where major_id =?将and改为 , (逗号)即可。
原创
发布博客 2024.09.25 ·
583 阅读 ·
1 点赞 ·
0 评论 ·
5 收藏

LeetCode_Java_字符串相加(题目+思路+代码)

-> 当 i >= 0时,取出nums数组中下标为i的值并且转换为数组类型 (-‘0’)-》赋给n1。--> 当 j >= 0时,取出nums数组中下标为i的值并且转换为数组类型 (-‘0’)-》赋给n2。2.将num1与nums数组的长度分别赋给i和j,并且一个count变量,用来存储进位。->当i或j大于等于0时,执行个位数/十位数/百位数等的相加操作。-->当 i < 0时,则直接赋值为0。-->当 j< 0时,则直接赋值为0。6.因为是从末尾开始计算的,因此i--,j--继续执行。
原创
发布博客 2024.03.28 ·
708 阅读 ·
24 点赞 ·
0 评论 ·
4 收藏

LeetCode_Java_进制转换(题目+思路+代码)

七进制:先判断该数是否为负数,将结果赋给boolean变量,若为真,则将该数转化为正数在进行进制运算,最后加个“-”即可。若该数为负数,则要先对该数进行处理,需要先在 num基础上加上 2^32的偏移量,再进行进制转换。第一种情况,该值小于10:先对16取余的结果赋给long型变量,再将该long型变量转化成字符;十六进制:先对该数进行处理,需要先在 num基础上加上 2^32的偏移量,再进行进制转换。1、首先,传过来的数有可能等于0、等于0(大于0、小于0)不同点在于当转化的数为负数时,两者的处理不同。
原创
发布博客 2024.03.24 ·
818 阅读 ·
24 点赞 ·
0 评论 ·
5 收藏

LeetCode_Java_递归系列(题目+思路+代码)

反复将各个位上的数字相加,直到结果为一位数。,请你反转链表,并返回反转后的链表。以此类推,直到反转结束返回头结点。由于2是一位数,所以返回 2。
原创
发布博客 2024.03.22 ·
711 阅读 ·
23 点赞 ·
0 评论 ·
1 收藏

Maven项目如何导入依赖包

Maven官网:https://mvnrepository.com/search?q=mysql。
原创
发布博客 2024.03.19 ·
1336 阅读 ·
11 点赞 ·
0 评论 ·
5 收藏

LeetCode_Java_二叉搜索树系列(题目+思路+代码)

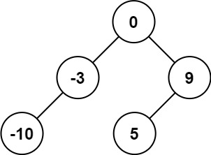
一个可能的答案是[0,-3,9,-10,null,5],它表示所示的高度平衡的二叉搜索树。思路:与109题思路一致,只是不用构建右子树和左子树,直接返回该节点即可。与108题的思路一致,只不过这道题需将链表全部存储到结合list中。但是执行时间 1ms,只击败31.44%使用 Java 的用户。该链表有两个中间结点,值分别为 3 和 4 ,返回第二个结点。如果有两个中间结点,则返回第二个中间结点。,请你找出并返回链表的中间结点。链表只有一个中间结点,值为 3。排列,请你将其转换为一棵。
原创
发布博客 2024.03.12 ·
717 阅读 ·
17 点赞 ·
0 评论 ·
11 收藏

LeetCode_Java_排序系列(2)(题目+思路+代码)

3.用Arrays.binarySearch(数组,值)方法查找该值在数组中的索引。等于1:则表明是最大值 因为clone数组是从小到大排序的 以此类推。5.从第四位开始,则将该整型数值toString输出。名次为 [1st, 2nd, 3rd, 4th, 5th]。名次为 [1st, 5th, 3rd, 2nd, 4th]。2.创建一个整型数组,复制score数组并排序。1.创建一个字符串数组用于存储结果。位运动员在比赛中的得分。的运动员得分最高,名次第。位运动员的获奖情况。
原创
发布博客 2024.03.11 ·
507 阅读 ·
13 点赞 ·
0 评论 ·
8 收藏

LeetCode_Java_排序系列(1)(题目+思路+代码)

请你以数组形式返回两数组的交集。返回结果中每个元素出现的次数,应与元素在两个数组中都出现的次数一致(如果出现次数不一致,则考虑取较小值)。可以不考虑输出结果的顺序。1.创建两个set集合,set1存储nums1中的元素,set2存nums2与num1的并集。2.创建数组,用foreach遍历set2集合,将set2中的元素赋给数组。2.创建数组,数组长度为两个数组中长度最小的值。1.先对nums1、nums2进行排序。3.声明三个索引变量。输出结果中的每个元素一定是。[4,9] 也是可通过的。
原创
发布博客 2024.03.10 ·
550 阅读 ·
14 点赞 ·
1 评论 ·
7 收藏

LeetCode_Java_移除链表元素(题目+思路+代码)

1.先判断head节点是否为空且是否head的属性值是否等于val-->若等于val值,则将head.next赋给head(删除head值)->如果node.next.val == val值,则将node.next.next的值赋给node.next。= val值,则将node.next的值赋给node。2.创建一个节点,将判断后的头节点(即第一步骤后的head.next)赋给node。3.判断非头结点是否为空与下一个值是否为空。第三步骤已将非头结点与val相等的元素移除。给你一个链表的头节点。
原创
发布博客 2024.02.28 ·
507 阅读 ·
14 点赞 ·
0 评论 ·
11 收藏

LeetCode_Java_动态规划系列(3)(题目+思路+代码)

若 n−x这个位置 Bob无法胜利,则 Alice在位置 n一定是能胜利的,即 dp[n] = true,此时直接结束内层循环即可。* Alice 在 n的位置能不能胜利,取决于 n−x的位置 Bob能不能胜利。思路:因为爱丽丝先手开局,当到爱莎选择时,n若为偶数,则爱莎获胜;反之,鲍勃获胜,因此可判断n是否为偶数。思路:由题可知,当到爱莎选择时,n若为偶数,则爱莎获胜;爱丽丝选择 1,鲍勃也选择 1,然后爱丽丝无法进行操作。如果玩家无法执行这些操作,就会输掉游戏。爱丽丝选择 1,鲍勃无法进行操作。
原创
发布博客 2024.02.27 ·
722 阅读 ·
19 点赞 ·
0 评论 ·
8 收藏

LeetCode_Java_动态规划系列(2)(题目+思路+代码)

是正着读和反着读都一样的字符串。分割成一些子串,使每个子串都是。所有可能的分割方案。
原创
发布博客 2024.02.26 ·
644 阅读 ·
18 点赞 ·
0 评论 ·
10 收藏

LeetCode_Java_环形链表(题目+思路+代码)

链表中有某个节点,可以通过连续跟踪 next 指针再次到达(即某个数出现两次),则链表中存在环。若在set集合中,则添加失败,且表明存在环,返回true。指针再次到达,则链表中存在环。为了表示给定链表中的环,评测系统内部使用整数。循环结束后,还未出现第二次出现的数,则返回false。题目将给出一个链表,判断链表中是否有环。来表示链表尾连接到链表中的位置(索引从 0 开始)。如果链表中有某个节点,可以通过连续跟踪。链表中有一个环,其尾部连接到第二个节点。仅仅是为了标识链表的实际情况。,判断链表中是否有环。
原创
发布博客 2024.02.25 ·
868 阅读 ·
21 点赞 ·
0 评论 ·
8 收藏

LeetCode_Java_动态规划系列(1)(题目+思路+代码)

给你一个整数数组cost,其中cost[i]是从楼梯第i个台阶向上爬需要支付的费用。一旦你支付此费用,即可选择向上爬一个或者两个台阶。你可以选择从下标为0或下标为1的台阶开始爬楼梯。请你计算并返回达到楼梯顶部的最低花费。,20]15你将从下标为 1 的台阶开始。- 支付 15 ,向上爬两个台阶,到达楼梯顶部。总花费为 15。cost = [,100,,1,,100,,100,6你将从下标为 0 的台阶开始。- 支付 1 ,向上爬两个台阶,到达下标为 2 的台阶。
原创
发布博客 2024.02.24 ·
537 阅读 ·
14 点赞 ·
0 评论 ·
10 收藏

LeetCode_Java_丢失的数字、单词规律(题目+思路+代码)

比较:在for循环时,将patter的键值对与数组str的键值对同时添加到map集合中,若相同,则继续;n = 3,因为有 3 个数字,所以所有的数字都在范围 [0,3] 内。2 是丢失的数字,因为它没有出现在 nums 中。2.比较长度是否一致判断对错:若pattern的长度与数组str的长度不一致,则返回false;3.for循环:将数组的最后一个值赋给i,当最后一个元素与n相同时,则n--,i--;反之,最后一个元素与n不相同时,则返回n;中的每个非空单词之间存在着双向连接的对应规律。
原创
发布博客 2024.02.23 ·
415 阅读 ·
9 点赞 ·
0 评论 ·
7 收藏

LeetCode_Java_转变日期格式、种花问题(题目+思路+代码)

(这就是在中间可种树的情况,同样,我们已经保证i跳转到与前一棵树不相邻的位置了,再者,当前位置的下一棵树仍为空,因此在此种树不会与下一棵树相邻)(因为在这几种情况中,我们已经保证i跳转到与前一棵树不相邻的位置了,且后面没有元素了,如果有就是以下情况)当该位置的下一个位置的元素值为0时,可添加树,且颗数-1,i+2。①当该位置的值为1时,即有树,这个时候我们为了不相邻种树,的值要加2:i+=2。如:i=0时 --> 0 1 0。②可添加树:当该位置为最后一个元素是,可添加树,且颗数-1,i+2。
原创
发布博客 2024.02.22 ·
1137 阅读 ·
25 点赞 ·
1 评论 ·
24 收藏

LeetCode_Java_题目+思路+代码

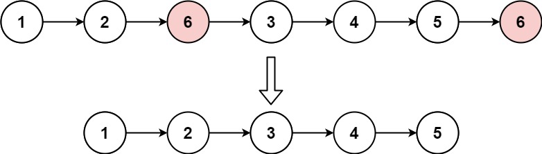
2.维护哈希表的大小最多包含k个元素即set.size()>k开始维护(这样就能保证当出现重复值时两个下标之差在k之内)3.在哈希表的大小>k时,开始移除下标为[i-k]的元素值,保证set中最多包含k个元素;2.用for循环遍历数组,若下标i元素==下标i+1元素,则表明有重复的元素。注意:Set表里的元素是不能重复的,如果重复就重复的就不加到里面。2.在哈希表的大小<=k时,出现未重复元素则直接添加到set中;1.在哈希表的大小<=k时,出现重复元素则直接返回true;,判断数组中是否存在两个。
原创
发布博客 2024.02.22 ·
825 阅读 ·
27 点赞 ·
1 评论 ·
8 收藏

LeetCode_Java_找不同(同一思路不同解法)

3.再遍历字符串t,将与s中相同元素抵消掉,到最后如果发现该字符次数小于0,则说明是s中未出现此字符元素。1.定义一个长度为26的数组,存储可能出现的26个小写字母。1.定义一个长度为26的数组,存储可能出现的26个小写字母。2.先遍历字符串s,将字符串s中每个元素出现的次数都加1。2.先遍历字符串t,将字符串t中每个元素出现的次数都加1。4,最后发现该数组中哪个值的次数=1,则是s中未出现中的。3.再遍历字符串s,将与t中相同元素抵消掉。随机重排,然后在随机位置添加一个字母。,它们只包含小写字母。
原创
发布博客 2024.02.21 ·
596 阅读 ·
24 点赞 ·
0 评论 ·
8 收藏
加载更多