C语言的数据类型、常量、变量

本文介绍了C语言的基础知识,包括注释、预处理命令、主函数以及输出语句。详细讲解了数据类型,如整数常量(十进制、八进制、十六进制)、实数常量(小数形式、指数形式)、字符型常量和字符串常量。还阐述了符号常量的定义和使用,并给出了相关示例。最后,文章讨论了变量的定义、初始化、使用以及不同类型的整型、实型和字符型变量的特性与应用。

2.1 引例 

/* Output:"Programming is fun."*/      /*注释*/	
#include <stdio.h>                      /*编译预处理命令*/
int main(void)                        
{  				                
	printf("HelloWorld!");   	/*调用prontf()函数输出文字*
	return 0;
}

/* Output: "Programming is fun."*/ / *注释*/

它是程序的注释,用于说明程序的功能,是为增加程序的可读性而设置的。注释内容必须包含在/*和*/之间0,其内容可以是任何可显示字符,注释部分对程序的编译过程和执行结果没有任何影响。注意“/”和“*”之间不能有空格。

#include < stdio. h>

它是编译预处理命令,因为程序中调用了printf()函数,该函数是C语言提供的标准输出函数,在系统文件stdio.h(称为头文件)中声明,所以在程序开始处要使用include将该文件包含进来。注意C语言有效的预处理命令总是以#开始的,预处理命令的末尾不加分号。

int main( void)

它是本程序中的“主函数”,在一个C程序中有且仅有一个main()函数,程序运行时,会首先从main()函数开始执行。该行的关键字int说明main()函数的返回值是整型数,括号中的void表示main()函数不需要参数。

printf( "Programming is fun. " ) ;

它由函数调用和分号两部分组成。printf("Programmingisfun.")调用了标准输出函数,将引号中的内容原样输出到屏幕上(C语言的默认输出设备为屏幕),语句末尾的分号表示该语句结束。注意C语言中除复合语句外的所有语句都必须以分号结束。

return 0 ;

它结束main()函数的运行,并向系统返回一个整数0,作为程序的结束状态。如果返回0,说明程序运行正常,返回其他值则表示不同的错误情况。系统根据返回值判断程序是否运行成功。

如果需要在两行上输入文字,可以更改上面的代码,改写内容如下:

#include <stdio.h>
int main(void)
{
	printf("Programming is fun.\n");                  /*输出文字后换行*/
	printf("And Programming in C is even more fun!");
	return 0;
}

语句printf(" Programming is fun. \n")中的\n是换行符,即在输出“Programming isfun.”后换行。\n 称为转义字符,关于转义字符的详细介绍本章会讲解。

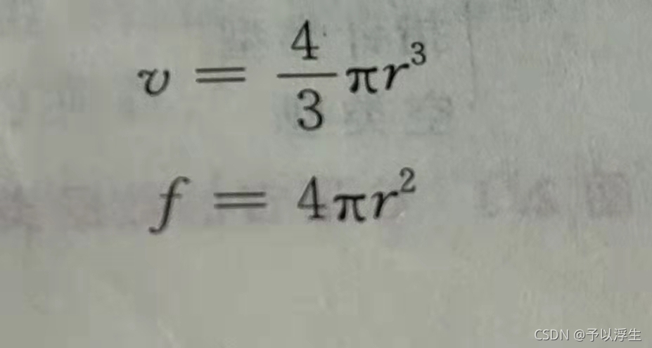
设球半径为r、球体积为V、球表面积为f ,球体积和球表面积的计算式为:

输入半径,分别计算球体积和球表面积。

#include<stdio.h>                
#define PI 3.14159				  /*定义符号常量PI*/	
void main()
{
    int r;                        /*定义r为整型*/
    float v,f;                    /*定义v、f为单精度浮点型*/
    r=2;                          /*给半径赋值*/
    v=4.0*PI*r*r*r/3.0;           /*计算体积*/
    f=4.0*PI*r*r;                   /*计算表面积*/
    printf("体积为:%f,表面积为:%f\n",v,f);            /*输出体积、表面积*/
}

 #define PI 3.14159:定义一个符号常量PI,这样程序中凡是需要使用3.14159的地方都可以用PI代替。

void main():main函数前面表示的是程序的返回值类型,后面表示的是传入参数,这里传入参数为空被省略了,返回参数也是空,也可以被省略。

%f:会将printf引号内除了%f之外的内容原样输出,并在第一个%f上输出v的值,在第二个%f上输出f的值。

注意:

百分号f补空的时候只能补小数

百分号d补空的时候只能补整数

百分号c补空的时候只能补字符

2.2 C语言的数据类型

2.3 C语言的常量

常量是在程序执行过程中,其值不发生改变的量,分为直接常量和符号常量两种。

2.3.1直接常量

1.整数常量

整数常量即整

评论 1
添加红包

请填写红包祝福语或标题

红包个数最小为10个

红包金额最低5元

当前余额3.43前往充值 >
需支付:10.00
成就一亿技术人!
领取后你会自动成为博主和红包主的粉丝 规则
hope_wisdom
发出的红包
实付
使用余额支付
点击重新获取
扫码支付
钱包余额 0

抵扣说明:

1.余额是钱包充值的虚拟货币,按照1:1的比例进行支付金额的抵扣。
2.余额无法直接购买下载,可以购买VIP、付费专栏及课程。

余额充值