从天线选型到阻抗匹配,从PCB布局优化到电磁兼容性处理,每个环节都暗藏细节陷阱。本文旨在打造一份“从入门到精通”的完整指南,通过系统化的知识框架与实战案例,帮助开发者快速掌握Air780EPM天线设计的核心技术。
知识点:
Cat.1 bis相对于Cat.1的区别是,后者为两根天线(一根主天线,一根分集天线);Cat.1 bis在设计和应用上更简单,更符合低速物联网的实际应用场景。
一、天线的阻抗控制和匹配
由于Air700ECQ/EAQ/EMQ射频天线传输的信号频率区间,从824MHz到2655MHz不等,属于高速模拟信号,因此对于天线电路设计,主要目的是:
保证射频信号无损的从模组天线管脚传输至4G天线,也就是关注于模组和4G天线的射频PCB传输线以及匹配电路。
整个射频传输链路如下所示:
4G模组---->PCB传输线----->天线匹配---->PCB传输线---->射频连接器---->同轴传输线---->4G天线
特别说明:
有些产品可能不需要“射频连接器”和“同轴传输线”;本文仅以需要“射频连接器”和“同轴传输线”的情况进行说明。
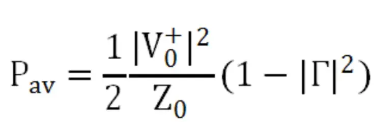
1. 阻抗控制:
根据传输线理论,负载端的传输功率为:

其中Γ为反射系数;Z0为传输线特征阻抗;V0为传输电压。
由此可见:
当反射系数为0,即负载匹配时候,传送到负载的功率最大;
当反射系数为1,即负载失配时候,传送到负载的功率为0。
因此,为了保证尽可能保证射频功率无损的传到4G天线,则必须保证PCB传输线的反射系数尽量接近0。
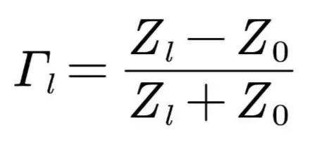
而反射系数为:

其中Γ为反射系数;Z0为传输线特征阻抗;ZL负载端特征阻抗。
负载阻抗ZL=Z0,根据反射系数的公式,分子为0,所以,反射系数为0,表示无反射;
当负载开路的时候,即负载阻抗无穷大,分子分母上的Z0可以忽

最低0.47元/天 解锁文章

被折叠的 条评论
为什么被折叠?



