在了解Zookeeper之前,需要对分布式相关知识有一定了解,什么是分布式系统呢?通常情况下,单个物理节点很容易达到性能,计算或者容量的瓶颈,所以这个时候就需要多个物理节点来共同完成某项任务,一个分布式系统的本质是分布在不同网络或计算机上的程序组件,彼此通过信息传递来协同工作的系统,而Zookeeper正是一个分布式应用协调框架,在分布式系统架构中有广泛的应用场景。
1、什么是zookeeper?
官方文档上这么解释zookeeper,它是一个分布式协调框架,是Apache Hadoop 的一个子项目,它主要是用来解决分布式应用中经常遇到的一些数据管理问题,如:统一命名服务、状态同步服务、集群管理、分布式应用配置项的管理等。
2、Zookeeper 核心概念
Zookeeper 是一个用于存储少量数据的基于内存的数据库,主要有如下两个核心的概念:文件系统数据结构+监听通知机制。
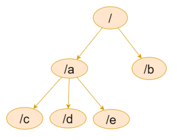
2.1 文件系统数据结构
Zookeeper维护一个类似文件系统的数据结构: 
2.2 监听通知机制
客户端注册监听它关心的任意节点,或者目录节点及递归子目录节点
- 如果注册的是对某个节点的监听,则当这个节点被删除,或者被修改时,对应的客户端将被通知
- 如果注册的是对某个目录的监听,则当这个目录有子节点被创建,或者有子节点被删除,对应的客户端将被通知
- 如果注册的是对某个目录的递归子节点进行监听,则当这个目录下面的任意子节点有目录结构的变化(有子节点被创建,或被删除)或者根节点有数据变化时,对应的客户端将被通知。
注意:所有的通知都是一次性的,及无论是对节点还是对目录进行的监听,一旦触发,对应的监听即被移除。递归子节点,监听是对所有子节点的,所以,每个子节点下面的事件同样只会被触发一次。
2.3 Zookeeper 经典的应用场景
- 分布式配置中心
2. 分布式注册中心
3. 分布式锁
4. 分布式队列
5. 集群选举
6. 分布式屏障
7. 发布/订阅
3、zookeeper实战
3.1. zookeeper安装
Step1:配置JAVA环境,检验环境:zookeeper使用java开发,依赖jdk
java -version
Step2: 下载解压 zookeeper
cd /opt
wget https://mirror.bit.edu.cn/apache/zookeeper/zookeeper-3.5.8/apache-zookeeper-3.5.8-bin.tar.gz
tar -zxvf apache-zookeeper-3.5.8-bin.tar.gz
cd apache-zookeeper-3.5.8-bin
Step3: 重命名配置文件 zoo_sample.cfg
cd conf/
cp zoo_sample.cfg zoo.cfg
查看配置文件:zoo.cfg
# The number of milliseconds of each tick
# 一个时间单位内的秒数:2000毫秒
tickTime=2000
# The number of ticks that the initial
# synchronization phase can take
# 表示多少个tickTime时间单位内的时间:10*2000=20s
initLimit=10
# The number of ticks that can pass between
# sending a request and getting an acknowledgement
syncLimit=5
# the directory where the snapshot is stored.
# do not use /tmp for storage, /tmp here is just
# example sakes.
#事务日志文件位置
dataDir=/tmp/zookeeper
# the port at which the clients will connect
# 客户端端口,连接zk的端口
clientPort=2181
# the maximum number of client connections.
# increase this if you need to handle more clients
#maxClientCnxns=60
#
# Be sure to read the maintenance section of the
# administrator guide before turning on autopurge.
#
# http://zookeeper.apache.org/doc/current/zookeeperAdmin.html#sc_maintenance
#
# The number of snapshots to retain in dataDir
#autopurge.snapRetainCount=3
# Purge task interval in hours
# Set to "0" to disable auto purge feature
#autopurge.purgeInterval=1
修改事务日志的目录
[root@zqf apache-zookeeper-3.5.8-bin]# mkdir data
[root@zqf apache-zookeeper-3.5.8-bin]# pwd
/opt/apache-zookeeper-3.5.8-bin
#修改dataDir
dataDir=/opt/apache-zookeeper-3.5.8-bin/data
Step4: 启动zookeeper
# 上一层目录
cd ../
# 可以通过 bin/zkServer.sh 来查看都支持哪些参数
[root@zqf apache-zookeeper-3.5.8-bin]# bin/zkServer.sh
ZooKeeper JMX enabled by default
Using config: /opt/apache-zookeeper-3.5.8-bin/bin/../conf/zoo.cfg
Usage: bin/zkServer.sh [--config <conf-dir>] {start|start-foreground|stop|restart|status|print-cmd}
# 启动zk,带配置文件启动
bin/zkServer.sh start conf/zoo.cfg
Step5: 检测是否启动成功
ps -ef|grep zookeeper
[root@zqf apache-zookeeper-3.5.8-bin]# jps
20087 Jps
12235 ZooKeeperMain
11182 QuorumPeerMain
[root@zqf apache-zookeeper-3.5.8-bin]#
# 查看启动日志
[root@zqf logs]# pwd
/opt/apache-zookeeper-3.5.8-bin/logs
[root@zqf logs]# ll
总用量 12
-rw-r--r-- 1 root root 10348 4月 9 18:28 zookeeper-root-server-zqf.out
[root@zqf logs]# tail -f zookeeper-root-server-zqf.out
2022-04-09 17:06:14,872 [myid:] - INFO [main:ContainerManager@64] - Using checkIntervalMs=60000 maxPerMinute=10000
2022-04-09 17:06:24,337 [myid:] - WARN [NIOWorkerThread-1:NIOServerCnxn@366] - Unable to read additional data from client sessionid 0x100187686d80001, likely client has closed socket
2022-04-09 17:06:27,891 [myid:] - INFO [SyncThread:0:FileTxnLog@218] - Creating new log file: log.16
2022-04-09 17:06:46,977 [myid:] - INFO [SessionTracker:ZooKeeperServer@398] - Expiring session 0x100187686d80001, timeout of 30000ms exceeded
2022-04-09 17:07:14,874 [myid:] - INFO [ContainerManagerTask:ContainerManager@119] - Attempting to delete candidate container: /ttl-node
2022-04-09 17:56:29,677 [myid:] - INFO [NIOWorkerThread-2:ZooKeeperServer@1095] - got auth packet /127.0.0.1:43968
2022-04-09 17:56:29,678 [myid:] - INFO [NIOWorkerThread-2:ZooKeeperServer@1113] - auth success /127.0.0.1:43968
2022-04-09 17:56:50,426 [myid:] - INFO [NIOWorkerThread-2:ZooKeeperServer@1095] - got auth packet /127.0.0.1:43968
2022-04-09 17:56:50,426 [myid:] - INFO [NIOWorkerThread-2:ZooKeeperServer@1113] - auth success /127.0.0.1:43968
2022-04-09 18:28:14,771 [myid:] - INFO [qtp1096283470-17:TypeUtil@201] - JVM Runtime does not support Modules
Step6: 连接服务器(远程服务器带ip和端口)
bin/zkCli.sh -server ip:port
3.2. 使用命令行操作zookeeper
输入命令 help 查看zookeeper所支持的所有命令:带[]的为可选参数
[zk: localhost:2181(CONNECTED) 5] help
ZooKeeper -server host:port cmd args
addauth scheme auth
close
config [-c] [-w] [-s]
connect host:port
create [-s] [-e] [-c] [-t ttl] path [data] [acl]
delete [-v version] path
deleteall path
delquota [-n|-b] path
get [-s] [-w] path
getAcl [-s] path
history
listquota path
ls [-s] [-w] [-R] path
ls2 path [watch]
printwatches on|off
quit
reconfig [-s] [-v version] [[-file path] | [-members serverID=host:port1:port2;port3[,...]*]] | [-add serverId=host:port1:port2;port3[,...]]* [-remove serverId[,...]*]
redo cmdno
removewatches path [-c|-d|-a] [-l]
rmr path
set [-s] [-v version] path data
setAcl [-s] [-v version] [-R] path acl
setquota -n|-b val path
stat [-w] path
sync path
Command not found: Command not found help
1. 创建zookeeper 节点命令
create [-s] [-e] [-c] [-t ttl] path [data] [acl]
中括号为可选项,没有则默认创建持久化节点
-s: 顺序节点
-e: 临时节点
-c: 容器节点
-t: 可以给节点添加过期时间,默认禁用,需要通过系统参数启用
(-Dzookeeper.extendedTypesEnabled=true, znode.container.checkIntervalMs : (Java system property only) New in 3.5.1: The time interval in milliseconds for each check of candidate container and ttl nodes. Default is “60000”.)
创建节点:
[zk: localhost:2181(CONNECTED) 6] create /test data
Created /test
没有加任何可选参数,创建的就是持久化节点
查看节点:
[zk: localhost:2181(CONNECTED) 7] get /test
data
修改节点数据:
[zk: localhost:2181(CONNECTED) 8] set /test data_changed
[zk: localhost:2181(CONNECTED) 9] get /test
data_changed
查看节点状态信息:
[zk: localhost:2181(CONNECTED) 10] stat /test
cZxid = 0x2
ctime = Sat Apr 09 16:26:24 CST 2022
mZxid = 0x3
mtime = Sat Apr 09 16:27:49 CST 2022
pZxid = 0x2
cversion = 0
dataVersion = 1
aclVersion = 0
ephemeralOwner = 0x0
dataLength = 12
numChildren = 0
Stat
- cZxid:创建znode的事务ID(Zxid的值)。
- mZxid:最后修改znode的事务ID。
- pZxid:最后添加或删除子节点的事务ID(子节点列表发生变化才会发生改变)。
- ctime:znode创建时间。
- mtime:znode最近修改时间。
- dataVersion:znode的当前数据版本。
- cversion:znode的子节点结果集版本(一个节点的子节点增加、删除都会影响这个版本)。
- aclVersion:表示对此znode的acl版本。
- ephemeralOwner:znode是临时znode时,表示znode所有者的 session ID。 如果znode不是临时znode,则该字段设置为零。
- dataLength:znode数据字段的长度。
- numChildren:znode的子znode的数量。
查看节点状态信息同时查看数据:
[zk: localhost:2181(CONNECTED) 11] get -s /test
data_changed
cZxid = 0x2
ctime = Sat Apr 09 16:26:24 CST 2022
mZxid = 0x3
mtime = Sat Apr 09 16:27:49 CST 2022
pZxid = 0x2
cversion = 0
dataVersion = 1
aclVersion = 0
ephemeralOwner = 0x0
dataLength = 12
numChildren = 0
根据状态数据中的版本号有并发修改数据实现乐观锁的功能
比如: 客户端首先获取版本信息, get -s /test
[zk: localhost:2181(CONNECTED) 12] get -s /test
data_changed
cZxid = 0x2
ctime = Sat Apr 09 16:26:24 CST 2022
mZxid = 0x3
mtime = Sat Apr 09 16:27:49 CST 2022
pZxid = 0x2
cversion = 0
dataVersion = 1
aclVersion = 0
ephemeralOwner = 0x0
dataLength = 12
numChildren = 0
/test 当前的数据版本dataVersion是 1 , 这时客户端 用 set 命令修改数据的时候可以把版本号带上
[zk: localhost:2181(CONNECTED) 13] set -v 1 /test data_changed_2
如果在执行上面 set命令前, 有人修改了数据,zookeeper 会递增版本号, 这个时候,如果再用以前的版本号去修改,将会导致修改失败,报如下错误
[zk: localhost:2181(CONNECTED) 14] set -v 1 /test data_changed_3
version No is not valid : /test
创建子节点, 这里要注意,zookeeper是以节点组织数据的,没有相对路径这么一说,所以,所有的节点一定是以 / 开头。
[zk: localhost:2181(CONNECTED) 15] create /test/test_sub
Created /test/test_sub
查看子节点信息,比如根节点下面的所有子节点, 加一个大写 R 可以查看递归子节点列表
[zk: localhost:2181(CONNECTED) 16] ls /
[test, zookeeper]
[zk: localhost:2181(CONNECTED) 17] ls -R /
/
/test
/zookeeper
/test/test_sub
/zookeeper/config
/zookeeper/quota
查看 /test 下面所有的子节点
[zk: localhost:2181(CONNECTED) 18] ls /test
[test_sub]
创建临时节点
create -e /ephemeral data
create 后跟一个 -e 创建临时节点 , 临时节点不能创建子节点
[zk: localhost:2181(CONNECTED) 19] create -e /ephemeral data
Created /ephemeral
[zk: localhost:2181(CONNECTED) 20] get /ephemeral
data
[zk: localhost:2181(CONNECTED) 30] get -s /ephemeral
data2
cZxid = 0x7
ctime = Sat Apr 09 16:38:12 CST 2022
mZxid = 0x8
mtime = Sat Apr 09 16:39:39 CST 2022
pZxid = 0x7
cversion = 0
dataVersion = 1
aclVersion = 0
ephemeralOwner = 0x100184d5fed0000
dataLength = 5
numChildren = 0
[zk: localhost:2181(CONNECTED) 21] set /ephemeral data2
[zk: localhost:2181(CONNECTED) 22] get /ephemeral
data2
[zk: localhost:2181(CONNECTED) 23] create /ephemeral/sub_node
Ephemerals cannot have children: /ephemeral/sub_node
ephemeralOwner = 0x100184d5fed0000为sessionId,会话关闭,节点删除。持久化节点的值为ephemeralOwner = 0x0
创建序号节点,加参数 -s
create /seq-parent data // 创建父目录,单纯为了分类,非必须
create -s /seq-parent/ data // 创建顺序节点。顺序节点将再seq-parent 目录下面,顺序递增
为了容纳子节点,先创建个父目录 /seq-parent
[zk: localhost:2181(CONNECTED) 24] create /seq-parent
Created /seq-parent
[zk: localhost:2181(CONNECTED) 25] create -s /seq-parent/ seq-data
Created /seq-parent/0000000000
也可以再序号节点前面带一个前缀:10位的数字
[zk: localhost:2181(CONNECTED) 26] create -s /seq-parent/a seq-data
Created /seq-parent/a0000000001
[zk: localhost:2181(CONNECTED) 27] create -s /seq-parent/b seq-data
Created /seq-parent/b0000000002
[zk: localhost:2181(CONNECTED) 28] create -s /seq-parent/c seq-data
Created /seq-parent/c0000000003
创建临时顺序节点,其它增删查改和其他节点无异
创建容器节点:
create -c /container
容器节点主要用来容纳字节点,如果没有给其创建子节点,容器节点表现和持久化节点一样,如果给容器节点创建了子节点,后续又把子节点清空,容器节点也会被zookeeper删除。
创建ttl节点:
启动命令增加系统参数:zkServer.sh
ZOOMAIN="-Dzookeeper.extendedTypesEnabled=true -Dcom.sun.management.jmxremote -Dcom.sun.management.jmxremote.local.only=$JMXLOCALONLY org.apache.zookeeper.server.quorum.QuorumPeerMain"
[zk: localhost:2181(CONNECTED) 0] create -t 5000 /ttl-node data
Created /ttl-node
[zk: localhost:2181(CONNECTED) 1] ls /
[container, seq-parent, test, ttl-node, zookeeper]
[zk: localhost:2181(CONNECTED) 2] ls /
[container, seq-parent, test, ttl-node, zookeeper]
[zk: localhost:2181(CONNECTED) 3] ls /
[container, seq-parent, test, ttl-node, zookeeper]
[zk: localhost:2181(CONNECTED) 4] ls /
[container, seq-parent, test, ttl-node, zookeeper]
[zk: localhost:2181(CONNECTED) 5] ls /
[container, seq-parent, test, ttl-node, zookeeper]
[zk: localhost:2181(CONNECTED) 6] ls /
[container, seq-parent, test, ttl-node, zookeeper]
[zk: localhost:2181(CONNECTED) 7] ls /
[container, seq-parent, test, ttl-node, zookeeper]
[zk: localhost:2181(CONNECTED) 8] ls /
[container, seq-parent, test, ttl-node, zookeeper]
[zk: localhost:2181(CONNECTED) 9] ls /
[container, seq-parent, test, zookeeper]
2. 事件监听机制
针对节点的监听:一定事件触发,对应的注册立刻被移除,所以事件监听是一次性的
get -w /path // 注册监听的同时获取数据
stat -w /path // 对节点进行监听,且获取元数据信息
[zk: localhost:2181(CONNECTED) 15] create /test data
Created /test
[zk: localhost:2181(CONNECTED) 16] get -w /test
data
[zk: localhost:2181(CONNECTED) 17] set /test data_changed
WATCHER::
WatchedEvent state:SyncConnected type:NodeDataChanged path:/test
[zk: localhost:2181(CONNECTED) 18] set /test data_changed2
[zk: localhost:2181(CONNECTED) 19] get -w /test
data_changed2
[zk: localhost:2181(CONNECTED) 20] set /test data_changed3
WATCHER::
WatchedEvent state:SyncConnected type:NodeDataChanged path:/test
针对目录的监听,目录的变化,会触发事件,且一旦触发,对应的监听也会被移除,后续对节点的创建没有触发监听事件
ls -w /path
[zk: localhost:2181(CONNECTED) 24] ls /test
[sub1]
[zk: localhost:2181(CONNECTED) 25] ls -w /test
[sub1]
[zk: localhost:2181(CONNECTED) 26] delete /test/sub1
WATCHER::
WatchedEvent state:SyncConnected type:NodeChildrenChanged path:/test
[zk: localhost:2181(CONNECTED) 27] create /test/sub2
Created /test/sub2
针对递归子目录的监听
ls -R -w /path : -R 区分大小写,一定用大写
如下对/test 节点进行递归监听,但是每个目录下的目录监听也是一次性的,如第一次在/test 目录下创建节点时,触发监听事件,第二次则没有,同样,因为时递归的目录监听,所以在/test/sub0下进行节点创建时,触发事件,但是再次创建/test/sub0/subsub1节点时,没有触发事件。
[zk: localhost:2181(CONNECTED) 28] ls -R -w /test
/test
/test/sub2
[zk: localhost:2181(CONNECTED) 29] create /test/sub1
WATCHER::
WatchedEvent state:SyncConnected type:NodeChildrenChanged path:/test
Created /test/sub1
[zk: localhost:2181(CONNECTED) 30] create /test/sub3
Created /test/sub3
[zk: localhost:2181(CONNECTED) 31] create /test/sub2/subsub2
WATCHER::
WatchedEvent state:SyncConnected type:NodeChildrenChanged path:/test/sub2
Created /test/sub2/subsub2
[zk: localhost:2181(CONNECTED) 32] create /test/sub2/subsub1
Created /test/sub2/subsub1
Zookeeper事件类型:
-
None: 连接建立事件 -
NodeCreated: 节点创建 -
NodeDeleted: 节点删除 -
NodeDataChanged:节点数据变化 -
NodeChildrenChanged:子节点列表变化 -
DataWatchRemoved:节点监听被移除 -
ChildWatchRemoved:子节点监听被移除
4. Zookeeper 的 ACL 权限控制( Access Control List )
Zookeeper 的ACL 权限控制,可以控制节点的读写操作,保证数据的安全性,Zookeeper ACL 权限设置分为 3 部分组成,分别是:权限模式(Scheme)、授权对象(ID)、权限信息(Permission)。最终组成一条例如“scheme🆔permission”格式的 ACL 请求信息。下面我们具体看一下这 3 部分代表什么意思:
4.1 Scheme(权限模式)
用来设置 ZooKeeper 服务器进行权限验证的方式。ZooKeeper 的权限验证方式大体分为两种类型:
一种是范围验证。所谓的范围验证就是说 ZooKeeper 可以针对一个 IP 或者一段 IP 地址授予某种权限。比如我们可以让一个 IP 地址为“ip:192.168.0.110”的机器对服务器上的某个数据节点具有写入的权限。或者也可以通过“ip:192.168.0.1/24”给一段 IP 地址的机器赋权。
另一种权限模式就是口令验证,也可以理解为用户名密码的方式。在 ZooKeeper 中这种验证方式是 Digest 认证,而 Digest 这种认证方式首先在客户端传送“username:password”这种形式的权限表示符后,ZooKeeper 服务端会对密码 部分使用 SHA-1 和 BASE64 算法进行加密,以保证安全性。
还有一种Super权限模式, Super可以认为是一种特殊的 Digest 认证。具有 Super 权限的客户端可以对 ZooKeeper 上的任意数据节点进行任意操作。
4.2 授权对象(ID)
授权对象就是说我们要把权限赋予谁,而对应于 4 种不同的权限模式来说,如果我们选择采用 IP 方式,使用的授权对象可以是一个 IP 地址或 IP 地址段;而如果使用 Digest 或 Super 方式,则对应于一个用户名。如果是 World 模式,是授权系统中所有的用户。
4.3 权限信息(Permission)
权限就是指我们可以在数据节点上执行的操作种类,如下所示:在 ZooKeeper 中已经定义好的权限有5种:
- 数据节点(c: create)创建权限,授予权限的对象可以在数据节点下创建子节点;
- 数据节点(w: wirte)更新权限,授予权限的对象可以更新该数据节点;
- 数据节点(r: read)读取权限,授予权限的对象可以读取该节点的内容以及子节点的列表信息;
- 数据节点(d: delete)删除权限,授予权限的对象可以删除该数据节点的子节点;
- 数据节点(a: admin)管理者权限,授予权限的对象可以对该数据节点体进行 ACL 权限设置。
4.4 命令
- getAcl:获取某个节点的acl权限信息
- setAcl:设置某个节点的acl权限信息
- addauth: 输入认证授权信息,相当于注册用户信息,注册时输入明文密码,zk将以密文的形式存储
可以通过系统参数zookeeper.skipACL=yes进行配置,默认是no,可以配置为true, 则配置过的ACL将不再进行权限检测
1)生成授权ID的两种方式
a.代码生成ID:
@Test
public void generateSuperDigest() throws NoSuchAlgorithmException {
String sId = DigestAuthenticationProvider.generateDigest("gj:test");
System.out.println(sId);// gj:X/NSthOB0fD/OT6iilJ55WJVado=
}
b.在xshell 中生成
# 格式
echo -n <user>:<password> | openssl dgst -binary -sha1 | openssl base64
# 示例
[root@zqf bin]# echo -n zengqingfa:123456 | openssl dgst -binary -sha1 | openssl base64
kDqNhfgIbHSSyFCGBgCGgECGr14=
2)设置ACL有两种方式
节点创建的同时设置ACL
create [-s] [-e] [-c] path [data] [acl]
create /zk-node datatest digest:zengqingfa:kDqNhfgIbHSSyFCGBgCGgECGr14=:cdrwa
或者用setAcl 设置
setAcl /zk-node digest:zengqingfa:kDqNhfgIbHSSyFCGBgCGgECGr14=:cdrwa
添加授权信息后,不能直接访问,直接访问将报如下异常
[zk: localhost:2181(CONNECTED) 33] create /zk-node datatest digest:zengqingfa:kDqNhfgIbHSSyFCGBgCGgECGr14=:cdrwa
Created /zk-node
[zk: localhost:2181(CONNECTED) 34] get /zk-node
org.apache.zookeeper.KeeperException$NoAuthException: KeeperErrorCode = NoAuth for /zk-node
访问前需要添加授权信息
[zk: localhost:2181(CONNECTED) 35] addauth digest zengqingfa:123456
[zk: localhost:2181(CONNECTED) 36] get /zk-node
datatest
另一种授权模式: auth 明文授权
使用之前需要先
addauth digest username:password 注册用户信息,后续可以直接用明文授权
如:
[zk: localhost:2181(CONNECTED) 37] addauth digest u100:p100
[zk: localhost:2181(CONNECTED) 38] create /node-1 node1data auth:u100:p100:cdwra
Created /node-1
# 这是u100用户授权信息会被zk保存,可以认为当前的授权用户为u100
[zk: localhost:2181(CONNECTED) 39] get /node-1
node1data
IP授权模式:
setAcl /node-ip ip:192.168.75.131:cdwra
create /node-ip data ip:192.168.109.128:cdwra
多个指定IP可以通过逗号分隔, 如 setAcl /node-ip ip:IP1:rw,ip:IP2:a
3)Super 超级管理员模式
这是一种特殊的Digest模式, 在Super模式下超级管理员用户可以对Zookeeper上的节点进行任何的操作。
需要在启动了上通过JVM 系统参数开启:
DigestAuthenticationProvider中定义
-Dzookeeper.DigestAuthenticationProvider.superDigest=super:<base64encoded(SHA1(password))
5. ZooKeeper 内存数据和持久化
Zookeeper数据的组织形式为一个类似文件系统的数据结构,而这些数据都是存储在内存中的,所以我们可以认为,Zookeeper是一个基于内存的小型数据库
5.1 内存中的数据格式
public class DataTree {
private final ConcurrentHashMap<String, DataNode> nodes =
new ConcurrentHashMap<String, DataNode>();
private final WatchManager dataWatches = new WatchManager();
private final WatchManager childWatches = new WatchManager();
...
}
DataNode 是Zookeeper存储节点数据的最小单位
public class DataNode implements Record {
byte data[];
Long acl;
public StatPersisted stat;
private Set<String> children = null;
...
}
5.2 事务日志
针对每一次客户端的事务操作,Zookeeper都会将他们记录到事务日志中,当然,Zookeeper也会将数据变更应用到内存数据库中。我们可以在zookeeper的主配置文件zoo.cfg 中配置内存中的数据持久化目录,也就是事务日志的存储路径 dataLogDir. 如果没有配置dataLogDir(非必填), 事务日志将存储到dataDir (必填项)目录,
vim vim /opt/apache-zookeeper-3.5.8-bin/conf/zoo.cfg
# 事务日志配置位置
dataDir=/opt/apache-zookeeper-3.5.8-bin/data
zookeeper提供了格式化工具可以进行数据查看事务日志数据
org.apache.zookeeper.server.LogFormatter
java -classpath .:slf4j-api-1.7.25.jar:zookeeper-3.5.8.jar:zookeeper-jute-3.5.8.jar org.apache.zookeeper.server.LogFormatter /opt/zookeeper/apache-zookeeper-3.5.8-bin/data/version-2/log.1
如下是我本地的日志文件格式化效果
[root@zqf version-2]# pwd
/opt/apache-zookeeper-3.5.8-bin/data/version-2
[root@zqf version-2]# ll -h
总用量 36K
-rw-r--r-- 1 root root 65M 4月 9 16:58 log.1
-rw-r--r-- 1 root root 65M 4月 9 17:04 log.12
-rw-r--r-- 1 root root 65M 4月 9 17:57 log.16
-rw-r--r-- 1 root root 424 4月 9 16:16 snapshot.0
-rw-r--r-- 1 root root 1.3K 4月 9 17:01 snapshot.11
-rw-r--r-- 1 root root 1.3K 4月 9 17:06 snapshot.15
[root@zqf lib]# pwd
/opt/apache-zookeeper-3.5.8-bin/lib
[root@zqf lib]# java -classpath .:slf4j-api-1.7.25.jar:zookeeper-3.5.8.jar:zookeeper-jute-3.5.8.jar org.apache.zookeeper.server.LogFormatter /opt/apache-zookeeper-3.5.8-bin/data/version-2/log.1
SLF4J: Failed to load class "org.slf4j.impl.StaticLoggerBinder".
SLF4J: Defaulting to no-operation (NOP) logger implementation
SLF4J: See http://www.slf4j.org/codes.html#StaticLoggerBinder for further details.
ZooKeeper Transactional Log File with dbid 0 txnlog format version 2
22-4-9 下午04时16分36秒 session 0x100184d5fed0000 cxid 0x0 zxid 0x1 createSession 30000
22-4-9 下午04时26分24秒 session 0x100184d5fed0000 cxid 0x3 zxid 0x2 create '/test,#64617461,v{s{31,s{'world,'anyone}}},F,1
22-4-9 下午04时27分49秒 session 0x100184d5fed0000 cxid 0x5 zxid 0x3 setData '/test,#646174615f6368616e676564,1
22-4-9 下午04时32分41秒 session 0x100184d5fed0000 cxid 0xa zxid 0x4 setData '/test,#646174615f6368616e6765645f32,2
22-4-9 下午04时33分15秒 session 0x100184d5fed0000 cxid 0xb zxid 0x5 error -103
22-4-9 下午04时35分02秒 session 0x100184d5fed0000 cxid 0xc zxid 0x6 create '/test/test_sub,,v{s{31,s{'world,'anyone}}},F,1
22-4-9 下午04时38分12秒 session 0x100184d5fed0000 cxid 0x16 zxid 0x7 create '/ephemeral,#64617461,v{s{31,s{'world,'anyone}}},T,2
22-4-9 下午04时39分39秒 session 0x100184d5fed0000 cxid 0x19 zxid 0x8 setData '/ephemeral,#6461746132,1
22-4-9 下午04时40分11秒 session 0x100184d5fed0000 cxid 0x1d zxid 0x9 error -108
22-4-9 下午04时42分19秒 session 0x100184d5fed0000 cxid 0x1e zxid 0xa create '/seq-parent,,v{s{31,s{'world,'anyone}}},F,3
22-4-9 下午04时42分47秒 session 0x100184d5fed0000 cxid 0x20 zxid 0xb create '/seq-parent/0000000000,#7365712d64617461,v{s{31,s{'world,'anyone}}},F,1
22-4-9 下午04时43分13秒 session 0x100184d5fed0000 cxid 0x21 zxid 0xc create '/seq-parent/a0000000001,#7365712d64617461,v{s{31,s{'world,'anyone}}},F,2
22-4-9 下午04时43分19秒 session 0x100184d5fed0000 cxid 0x22 zxid 0xd create '/seq-parent/b0000000002,#7365712d64617461,v{s{31,s{'world,'anyone}}},F,3
22-4-9 下午04时43分25秒 session 0x100184d5fed0000 cxid 0x23 zxid 0xe create '/seq-parent/c0000000003,#7365712d64617461,v{s{31,s{'world,'anyone}}},F,4
22-4-9 下午04时51分21秒 session 0x100184d5fed0001 cxid 0x0 zxid 0xf createSession 30000
22-4-9 下午04时56分20秒 session 0x100184d5fed0000 cxid 0x27 zxid 0x10 closeSession null
22-4-9 下午04时58分42秒 session 0x100184d5fed0001 cxid 0x4 zxid 0x11 createContainer '/container,,v{s{31,s{'world,'anyone}}},4
EOF reached after 17 txns.
从左到右分别记录了操作时间,客户端会话ID,CXID,ZXID,操作类型,节点路径,节点数据(用#+ascii 码表示),节点版本。
Zookeeper进行事务日志文件操作的时候会频繁进行磁盘IO操作,事务日志的不断追加写操作会触发底层磁盘IO为文件开辟新的磁盘块,即磁盘Seek。因此,为了提升磁盘IO的效率,Zookeeper在创建事务日志文件的时候就进行文件空间的预分配- 即在创建文件的时候,就向操作系统申请一块大一点的磁盘块。这个预分配的磁盘大小可以通过系统参数 zookeeper.preAllocSize 进行配置。
事务日志文件名为: log.<当时最大事务ID>,应为日志文件时顺序写入的,所以这个最大事务ID也将是整个事务日志文件中,最小的事务ID,日志满了即进行下一次事务日志文件的创建
5.3 数据快照
数据快照用于记录Zookeeper服务器上某一时刻的全量数据,并将其写入到指定的磁盘文件中。
可以通过配置snapCount配置每间隔事务请求个数,生成快照,数据存储在dataDir 指定的目录中,
可以通过如下方式进行查看快照数据( 为了避免集群中所有机器在同一时间进行快照,实际的快照生成时机为事务数达到 [snapCount/2 + 随机数(随机数范围为1 ~ snapCount/2 )] 个数时开始快照)
java -classpath .:slf4j-api-1.7.25.jar:zookeeper-3.5.8.jar:zookeeper-jute-3.5.8.jar org.apache.zookeeper.server.SnapshotFormatter /opt/zookeeper/apache-zookeeper-3.5.8-bin/data-dir/version-2/snapshot.0
快照事务日志文件名为: snapshot.<当时最大事务ID>,日志满了即进行下一次事务日志文件的创建
[root@zqf version-2]# pwd
/opt/apache-zookeeper-3.5.8-bin/data/version-2
[root@zqf version-2]# ll
总用量 36
-rw-r--r-- 1 root root 67108880 4月 9 16:58 log.1
-rw-r--r-- 1 root root 67108880 4月 9 17:04 log.12
-rw-r--r-- 1 root root 67108880 4月 9 17:57 log.16
-rw-r--r-- 1 root root 424 4月 9 16:16 snapshot.0
-rw-r--r-- 1 root root 1256 4月 9 17:01 snapshot.11
-rw-r--r-- 1 root root 1256 4月 9 17:06 snapshot.15
[root@zqf version-2]# cd /opt/apache-zookeeper-3.5.8-bin/lib
[root@zqf lib]# pwd
/opt/apache-zookeeper-3.5.8-bin/lib
[root@zqf lib]# java -classpath .:slf4j-api-1.7.25.jar:zookeeper-3.5.8.jar:zookeeper-jute-3.5.8.jar org.apache.zookeeper.server.SnapshotFormatter /opt/apache-zookeeper-3.5.8-bin/data/version-2/snapshot.0
SLF4J: Failed to load class "org.slf4j.impl.StaticLoggerBinder".
SLF4J: Defaulting to no-operation (NOP) logger implementation
SLF4J: See http://www.slf4j.org/codes.html#StaticLoggerBinder for further details.
ZNode Details (count=5):
----
/
cZxid = 0x00000000000000
ctime = Thu Jan 01 08:00:00 CST 1970
mZxid = 0x00000000000000
mtime = Thu Jan 01 08:00:00 CST 1970
pZxid = 0x00000000000000
cversion = 0
dataVersion = 0
aclVersion = 0
ephemeralOwner = 0x00000000000000
dataLength = 0
----
/zookeeper
cZxid = 0x00000000000000
ctime = Thu Jan 01 08:00:00 CST 1970
mZxid = 0x00000000000000
mtime = Thu Jan 01 08:00:00 CST 1970
pZxid = 0x00000000000000
cversion = 0
dataVersion = 0
aclVersion = 0
ephemeralOwner = 0x00000000000000
dataLength = 0
----
/zookeeper/config
cZxid = 0x00000000000000
ctime = Thu Jan 01 08:00:00 CST 1970
mZxid = 0x00000000000000
mtime = Thu Jan 01 08:00:00 CST 1970
pZxid = 0x00000000000000
cversion = 0
dataVersion = 0
aclVersion = -1
ephemeralOwner = 0x00000000000000
dataLength = 0
----
/zookeeper/quota
cZxid = 0x00000000000000
ctime = Thu Jan 01 08:00:00 CST 1970
mZxid = 0x00000000000000
mtime = Thu Jan 01 08:00:00 CST 1970
pZxid = 0x00000000000000
cversion = 0
dataVersion = 0
aclVersion = 0
ephemeralOwner = 0x00000000000000
dataLength = 0
----
Session Details (sid, timeout, ephemeralCount):
有了事务日志,为啥还要快照数据。
快照数据主要时为了快速恢复,事务日志文件是每次事务请求都会进行追加的操作,而快照是达到某种设定条件下的内存全量数据。所以通常快照数据是反应当时内存数据的状态。事务日志是更全面的数据,所以恢复数据的时候,可以先恢复快照数据,再通过增量恢复事务日志中的数据即可。
mtime = Thu Jan 01 08:00:00 CST 1970
pZxid = 0x00000000000000
cversion = 0
dataVersion = 0
aclVersion = -1
ephemeralOwner = 0x00000000000000
dataLength = 0
----
/zookeeper/quota
cZxid = 0x00000000000000
ctime = Thu Jan 01 08:00:00 CST 1970
mZxid = 0x00000000000000
mtime = Thu Jan 01 08:00:00 CST 1970
pZxid = 0x00000000000000
cversion = 0
dataVersion = 0
aclVersion = 0
ephemeralOwner = 0x00000000000000
dataLength = 0
----
Session Details (sid, timeout, ephemeralCount):
有了事务日志,为啥还要快照数据。
快照数据主要时为了快速恢复,事务日志文件是每次事务请求都会进行追加的操作,而快照是达到某种设定条件下的内存全量数据。所以通常快照数据是反应当时内存数据的状态。事务日志是更全面的数据,所以恢复数据的时候,可以先恢复快照数据,再通过增量恢复事务日志中的数据即可。

2224

被折叠的 条评论
为什么被折叠?



