前言
尽管在第3章中介绍了有关存储数据的列表对象,但是其无法直接参与数值运算(虽然可以使用加法和乘法,但分别代表列表元素的增加和重复)。
本章将介绍另一种非常有用的数据结构,那就是数组,通过数组可以实现各种常见的数学运算,而且基于数组的运算,也是非常高效的。 本章的重点是讲解有关Python数值运算的numpy模块,通过numpy模块的学习,你将掌握如下几方面的内容,进而为后面章节的统计运算和机器学习打下基础:
- 数组的创建与操作;
- 数组的基本数学运算;
- 常用数学和统计函数;
- 线性代数的求解;
- 伪随机数的创建。
4.1 数组的创建与操作
通过numpy模块中的array函数实现数组的创建,如果向函数中传入一个列表或元组,将构造简单的一维数组;如果传入多个嵌套的列表或元组,则可以构造一个二维数组。构成数组的元素都是同质的,即数组中的每一个值都具有相同的数据类型,下面分别构造一个一维数组和二维数组。
4.1.1 数组的创建
# 导入模块,并重命名为np
import numpy as np
# 单个列表创建一维数组
arr1 = np.array([3,10,8,7,34,11,28,72])
# 嵌套元组创建二维数组
arr2 = np.array(((8.5,6,4.1,2,0.7),(1.5,3,5.4,7.3,9),(3.2,3,3.8,3,3),(11.2,13.4,15.6,17.8,19)))
print('一维数组:\n',arr1)
print('二维数组:\n',arr2)
结果:
一维数组:
[ 3 10 8 7 34 11 28 72]
二维数组:
[[ 8.5 6. 4.1 2. 0.7]
[ 1.5 3. 5.4 7.3 9. ]
[ 3.2 3. 3.8 3. 3. ]
[11.2 13.4 15.6 17.8 19. ]]
如上结果所示,可以将列表或元组转换为一个数组,在第二个数组中,输入的元素含有整数型和浮点型两种数据类型,但输出的数组元素全都是浮点型(原来的整型会被强制转换为浮点型,从而保证数组元素的同质性)。
使用位置索引可以实现数组元素的获取,虽然在列表中讲解过如何通过正向单索引、负向单索引、切片索引和无限索引获取元素,但都无法完成不规律元素的获取,如果把列表转换为数组,这个问题就可以解决了,下面介绍具体的操作。
4.1.2 数组元素的获取
先来看一下一维数组元素与二维数组元素获取的例子,代码如下:
# 一维数组元素的获取
print(arr1[[2,3,5,7]])
# 二维数组元素的获取
# 第2行第3列元素
print(arr2[1,2])
# 第3行所有元素
print(arr2[2,:])
# 第2列所有元素
print(arr2[:,1])
# 第2至4行,2至5行
print(arr2[1:4,1:5])
结果:
[ 8 7 11 72]
5.4
[3.2 3. 3.8 3. 3. ]
[ 6. 3. 3. 13.4]
[[ 3. 5.4 7.3 9. ]
[ 3. 3.8 3. 3. ]
[13.4 15.6 17.8 19. ]]
如上结果是通过位置索引获取一维和二维数组中的元素,在一维数组中,列表的所有索引方法都可以使用在数组上,而且还可以将任意位置的索引组装为列表,用作对应元素的获取;在二维数组中,位置索引必须写成[rows,cols]的形式,方括号的前半部分用于控制二维数组的行索引,后半部分用于控制数组的列索引。如果需要获取所有的行或列元素,那么,对应的行索引或列索引需要用英文状态的冒号表示。但是,要是从数组中取出某几行和某几列,通过[rows,cols]的索引方法就不太有效了,例如:
# 第一行、最后一行和第二列、第四列构成的数组
print(arr2[[0,-1],[1,3]])
# 第一行、最后一行和第一列、第三列、第四列构成的数组
print(arr2[[0,-1],[1,2,3]])
结果:
[ 6. 17.8]
---------------------------------------------------------------------------
IndexError Traceback (most recent call last)
<ipython-input-3-05bfd30b63fe> in <module>
2 print(arr2[[0,-1],[1,3]])
3 # 第一行、最后一行和第一列、第三列、第四列构成的数组
----> 4 print(arr2[[0,-1],[1,2,3]])
IndexError: shape mismatch: indexing arrays could not be broadcast together with shapes (2,) (3,)
如上结果所示,第一个打印结果并不是2×2的数组,而是含两个元素的一维数组,这是因为numpy将[[0,-1],[1,3]]组合的理解为了[0,1]和[-1,3];同样,在第二个元素索引中,numpy仍然将[[0,-1],[1,2,3]]组合理解为拆分单独的[rows,cols]形式,最终导致结果中的错误信息。实际上,numpy的理解是错误的,第二个输出应该是一个2×3的数组。为了克服[rows,cols]索引方法的弊端,建议读者使用ix_函数,具体操作如下:
# 第一行、最后一行和第二列、第四列构成的数组
print(arr2[np.ix_([0,-1],[1,3])])
# 第一行、最后一行和第一列、第三列、第四列构成的数组
print(arr2[np.ix_([0,-1],[1,2,3])])
结果:
[[ 6. 2. ]
[13.4 17.8]]
[[ 6. 4.1 2. ]
[13.4 15.6 17.8]]
4.1.3 数组的常用属性
如果不是手工写入的数组,而是从外部读入的数据,此时也许对数据就是一无所知,如该数据的维数、行列数、数据类型等信息,下面通过简短的代码来了解数组的几个常用属性,进而跨出了解数据的第一步。
在numpy模块中,可以通过genfromtxt函数读取外部文本文件的数据,这里的文本文件主要为csv文件和txt文件。关于该函数的语法和重要参数含义如下:
np.genfromtxt(fname, dtype=<class ‘float’>, comments=’#’, delimiter=None, skip_header=0,
skip_footer=0, converters=None, missing_values=None, filling_values=None, usecols=None,
names=None,)
- fname:指定需要读入数据的文件路径。
- dtype:指定读入数据的数据类型,默认为浮点型,如果原数据集中含有字符型数据,必须指定数据类型为“str”。
- comments:指定注释符,默认为“#”,如果原数据的行首有“#”,将忽略这些行的读入。
- delimiter:指定数据集的列分割符。
- skip_header:是否跳过数据集的首行,默认不跳过。
- skip_footer:是否跳过数据集的脚注,默认不跳过。
- converters:将指定列的数据转换成其他数值。
- miss_values:指定缺失值的标记,如果原数据集含指定的标记,读入后这样的数据就为缺失值。
- filling_values:指定缺失值的填充值。
- usecols:指定需要读入哪些列。
- names:为读入数据的列设置列名称。
接下来通过上面介绍的数据读入函数,读取学生成绩表数据,然后使用数组的几个属性,进一步掌握数据的结构情况。
# 读入数据
stu_score = np.genfromtxt(fname = r'C:\Users\Administrator\Desktop\stu_socre.txt',delimiter='\t',skip_header=1)
# 查看数据结构
print(type(stu_score))
# 查看数据维数
print(stu_score.ndim)
# 查看数据行列数
print(stu_score.shape)
# 查看数组元素的数据类型
print(stu_score.dtype)
# 查看数组元素个数
print(stu_score.size)
结果:
<class 'numpy.ndarray'>
2
(1380, 5)
float64
6900
如上结果所示,读入的学生成绩表是一个二维的数组(type函数和ndim方法),一共包含1380行观测和5个变量(shape方法),形成6900个元素(size方法),并且这些元素都属于浮点型(dtype方法)。通过上面的几个数组属性,就可以大致了解数组的规模。
4.1.4 数组的形状处理
数组形状处理的手段主要有reshape、resize、ravel、flatten、vstack、hstack、row_stack和colum_stack,下面通过简单的案例来解释这些“方法”或函数的区别。
arr3 = np.array([[1,5,7],[3,6,1],[2,4,8],[5,8,9],[1,5,9],[8,5,2]])
# 数组的行列数
print(arr3.shape)
# 使用reshape方法更改数组的形状
print(arr3.reshape(2,9))
# 打印数组arr3的行列数
print(arr3.shape)
# 使用resize方法更改数组的形状
print(arr3.resize(2,9))
# 打印数组arr3的行列数
print(arr3.shape)
结果:
(6, 3)
[[1 5 7 3 6 1 2 4 8]
[5 8 9 1 5 9 8 5 2]]
(6, 3)
None
(2, 9)
如上结果所示,虽然reshape和resize都是用来改变数组形状的“方法”,但是reshape方法只是返回改变形状后的预览,但并未真正改变数组arr3的形状;而resize方法则不会返回预览,而是会直接改变数组arr3的形状,从前后两次打印的arr3形状就可以发现两者的区别。如果需要将多维数组降为一维数组,利用ravel、flatten和reshape三种方法均可以轻松解决:
arr4 = np.array([[1,10,100],[2,20,200],[3,30,300]])
print('原数组:\n',arr4)
# 默认排序降维
print('数组降维:\n',arr4.ravel())
print(arr4.flatten())
print(arr4.reshape(-1))
# 改变排序模式的降维
print(arr4.ravel(order = 'F'))
print(arr4.flatten(order = 'F'))
print(arr4.reshape(-1, order = 'F'))
结果:
原数组:
[[ 1 10 100]
[ 2 20 200]
[ 3 30 300]]
数组降维:
[ 1 10 100 2 20 200 3 30 300]
[ 1 10 100 2 20 200 3 30 300]
[ 1 10 100 2 20 200 3 30 300]
[ 1 2 3 10 20 30 100 200 300]
[ 1 2 3 10 20 30 100 200 300]
[ 1 2 3 10 20 30 100 200 300]
如上结果所示,在默认情况下,优先按照数组的行顺序,逐个将元素降至一维(见数组降维的前三行打印结果);如果按原始数组的列顺序,将数组降为一维的话,需要设置order参数为“F”(见数组降维的后三行打印结果)。尽管这三者的功能一致,但之间是否存在差异呢?接下来对降维后的数组进行元素修改,看是否会影响到原数组arr4的变化:
# 更改预览值
arr4.flatten()[0] = 2000
print('flatten方法:\n',arr4)
arr4.ravel()[1] = 1000
print('ravel方法:\n',arr4)
arr4.reshape(-1)[2] = 3000
print('reshape方法:\n',arr4)
结果:
flatten方法:
[[ 1 10 100]
[ 2 20 200]
[ 3 30 300]]
ravel方法:
[[ 1 1000 100]
[ 2 20 200]
[ 3 30 300]]
reshape方法:
[[ 1 1000 3000]
[ 2 20 200]
[ 3 30 300]]
如上结果所示,通过flatten方法实现的降维返回的是复制,因为对降维后的元素做修改,并没有影响到原数组arr4的结果;相反,ravel方法与reshape方法返回的则是视图,通过对视图的改变,是会影响到原数组arr4的。
vstack用于垂直方向(纵向)的数组堆叠,其功能与row_stack函数一致,而hstack则用于水平方向(横向)的数组合并,其功能与colum_stack函数一致,下面通过具体的例子对这四种函数的用法和差异加以说明。
arr5 = np.array([1,2,3])
print('vstack纵向合并数组:\n',np.vstack([arr4,arr5]))
print('row_stack纵向合并数组:\n',np.row_stack([arr4,arr5]))
结果:
vstack纵向合并数组:
[[ 1 1000 3000]
[ 2 20 200]
[ 3 30 300]
[ 1 2 3]]
row_stack纵向合并数组:
[[ 1 1000 3000]
[ 2 20 200]
[ 3 30 300]
[ 1 2 3]]
arr6 = np.array([[5],[15],[25]])
print('hstack横向合并数组:\n',np.hstack([arr4,arr6]))
print('column_stack横向合并数组:\n',np.column_stack([arr4,arr6]))
结果:
hstack横向合并数组:
[[ 1 1000 3000 5]
[ 2 20 200 15]
[ 3 30 300 25]]
column_stack横向合并数组:
[[ 1 1000 3000 5]
[ 2 20 200 15]
[ 3 30 300 25]]
print(arr4)
print('垂直方向计算数组的和:\n',np.sum(arr4,axis = 0))
print('水平方向计算数组的和:\n',np.sum(arr4, axis = 1))
结果:
[[ 1 1000 3000]
[ 2 20 200]
[ 3 30 300]]
垂直方向计算数组的和:
[ 6 1050 3500]
水平方向计算数组的和:
[4001 222 333]
如上结果所示,前两个输出是纵向堆叠的效果,后两个则是横向合并的效果。如果是多个数组的纵向堆叠,必须保证每个数组的列数相同;如果将多个数组按横向合并的话,则必须保证每个数组的行数相同。
4.2 数组的基本运算符
本章开头就提到列表是无法直接进行数学运算的,一旦将列表转换为数组后,就可以实现各种常见的数学运算,如四则运算、比较运算、广播运算等。
4.2.1 四则运算
在numpy模块中,实现四则运算的计算既可以使用运算符号,也可以使用函数,具体如下例所示:
# 加法运算
math = np.array([98,83,86,92,67,82])
english = np.array([68,74,66,82,75,89])
chinese = np.array([92,83,76,85,87,77])
tot_symbol = math+english+chinese
tot_fun = np.add(np.add(math,english),chinese)
print('符号加法:\n',tot_symbol)
print('函数加法:\n',tot_fun)
# 除法运算
height = np.array([165,177,158,169,173])
weight = np.array([62,73,59,72,80])
BMI_symbol = weight/(height/100)**2
BMI_fun = np.divide(weight,np.divide(height,100)**2)
print('符号除法:\n',BMI_symbol)
print('函数除法:\n',BMI_fun)
结果:
符号加法:
[258 240 228 259 229 248]
函数加法:
[258 240 228 259 229 248]
符号除法:
[22.77318641 23.30109483 23.63403301 25.20920136 26.7299275 ]
函数除法:
[22.77318641 23.30109483 23.63403301 25.20920136 26.7299275 ]
四则运算中的符号分别是“±*/”,对应的numpy模块函数分别是np.add、np. subtract、np.multiply和np.divide。需要注意的是,函数只能接受两个对象的运算,如果需要多个对象的运算,就得使用嵌套方法,如上所示的符号加法和符号除法。不管是符号方法还是函数方法,都必须保证操作的数组具有相同的形状,除了数组与标量之间的运算(如除法中的身高与100的商)。另外,还有三个数学运算符,分别是余数、整除和指数:
arr7 = np.array([[1,2,10],[10,8,3],[7,6,5]])
arr8 = np.array([[2,2,2],[3,3,3],[4,4,4]])
print('数组arr7:\n',arr7)
print('数组arr8:\n',arr8)
# 求余数
print('计算余数:\n',arr7 % arr8)
# 求整除
print('计算整除:\n',arr7 // arr8)
# 求指数
print('计算指数:\n',arr7 ** arr8)
结果:
数组arr7:
[[ 1 2 10]
[10 8 3]
[ 7 6 5]]
数组arr8:
[[2 2 2]
[3 3 3]
[4 4 4]]
计算余数:
[[1 0 0]
[1 2 0]
[3 2 1]]
计算整除:
[[0 1 5]
[3 2 1]
[1 1 1]]
计算指数:
[[ 1 4 100]
[1000 512 27]
[2401 1296 625]]
# 整除部分
np.modf(arr7/arr8)[1]
结果:
array([[0., 1., 5.],
[3., 2., 1.],
[1., 1., 1.]])
可以使用“%、//、**”计算数组元素之间商的余数、整除部分以及数组元素之间的指数。当然,如果读者比较喜欢使用函数实现这三种运算的话,可以使用np.fmod、np.modf和np.power,但是整除的函数应用会稍微复杂一点,需要写成np.modf(arr7/arr8)[1],因为modf可以返回数值的小数部分和整数部分,而整数部分就是要取的整除值。
4.2.2 比较运算
除了数组的元素之间可以实现上面提到的数学运算,还可以做元素间的比较运算。关于比较运算符有表4-1所示的六种情况。

运用比较运算符可以返回bool类型的值,即True和False。在笔者看来,有两种情况会普遍使用到比较运算符,一个是从数组中查询满足条件的元素,另一个是根据判断的结果执行不同的操作。例如:
# 取子集
# 从arr7中取出arr7大于arr8的所有元素
print(arr7)
print('满足条件的二维数组元素获取:\n',arr7[arr7>arr8])
# 从arr9中取出大于10的元素
arr9 = np.array([3,10,23,7,16,9,17,22,4,8,15])
print('满足条件的一维数组元素获取:\n',arr9[arr9>10])
# 判断操作
# 将arr7中大于7的元素改成5,其余的不变
print('二维数组的条件操作:\n',np.where(arr7>7,5,arr7))
# 将arr9中大于10 的元素改为1,否则改为0
print('一维数组的条件操作:\n',np.where(arr9>10,1,0))
结果:
[[ 1 2 10]
[10 8 3]
[ 7 6 5]]
满足条件的二维数组元素获取:
[10 10 8 7 6 5]
满足条件的一维数组元素获取:
[23 16 17 22 15]
二维数组的条件操作:
[[1 2 5]
[5 5 3]
[7 6 5]]
一维数组的条件操作:
[0 0 1 0 1 0 1 1 0 0 1]
运用bool索引,将满足条件的元素从数组中挑选出来,但不管是一维数组还是多维数组,通过bool索引返回的都是一维数组;np.where函数与Excel中的if函数一样,就是根据判定条件执行不同的分支语句。
4.2.3 广播运算
前面所介绍的各种数学运算符都是基于相同形状的数组,当数组形状不同时,也能够进行数学运算的功能称为数组的广播。但是数组的广播功能是有规则的,如果不满足这些规则,运算时就会出错。数组的广播规则是:
- 各输入数组的维度可以不相等,但必须确保从右到左的对应维度值相等。
- 如果对应维度值不相等,就必须保证其中一个为1。
- 各输入数组都向其shape最长的数组看齐,shape中不足的部分都通过在前面加1补齐。
从字面上理解这三条规则可能比较困难,下面通过几个例子对每条规则加以说明,希望能够帮助读者理解它们的含义:
# 各输入数组维度一致,对应维度值相等
arr10 = np.arange(12).reshape(3,4)
arr11 = np.arange(101,113).reshape(3,4)
print('3×4的二维矩阵运算:\n',arr10 + arr11)
# 各输入数组维度不一致,对应维度值相等
arr12 = np.arange(60).reshape(5,4,3)
arr10 = np.arange(12).reshape(4,3)
print('维数不一致,但末尾的维度值一致:\n',arr12 + arr10)
# 各输入数组维度不一致,对应维度值不相等,但其中有一个为1
arr12 = np.arange(60).reshape(5,4,3)
arr13 = np.arange(4).reshape(4,1)
print('维数不一致,维度值也不一致,但维度值至少一个为1:\n',arr12 + arr13)
# 加1补齐
arr14 = np.array([5,15,25])
print('arr14的维度自动补齐为(1,3):\n',arr10 + arr14)
结果:
3×4的二维矩阵运算:
[[101 103 105 107]
[109 111 113 115]
[117 119 121 123]]
维数不一致,但末尾的维度值一致:
[[[ 0 2 4]
[ 6 8 10]
[12 14 16]
[18 20 22]]
[[12 14 16]
[18 20 22]
[24 26 28]
[30 32 34]]
[[24 26 28]
[30 32 34]
[36 38 40]
[42 44 46]]
[[36 38 40]
[42 44 46]
[48 50 52]
[54 56 58]]
[[48 50 52]
[54 56 58]
[60 62 64]
[66 68 70]]]
维数不一致,维度值也不一致,但维度值至少一个为1:
[[[ 0 1 2]
[ 4 5 6]
[ 8 9 10]
[12 13 14]]
[[12 13 14]
[16 17 18]
[20 21 22]
[24 25 26]]
[[24 25 26]
[28 29 30]
[32 33 34]
[36 37 38]]
[[36 37 38]
[40 41 42]
[44 45 46]
[48 49 50]]
[[48 49 50]
[52 53 54]
[56 57 58]
[60 61 62]]]
arr14的维度自动补齐为(1,3):
[[ 5 16 27]
[ 8 19 30]
[11 22 33]
[14 25 36]]
如上结果所示,第一个打印结果其实并没有用到数组的广播,因为这两个数组具有同形状;第二个打印结果是三维数组和两维数组的和,虽然维数不一样,但末尾的两个维度值是一样的,都是4和3,最终得到5×4×3的数组;第三个打印中的两个数组维数和维度值均不一样,但末尾的两个维度值中必须含一个1,且另一个必须相同,都为4,相加之后得到5×4×3的数组;第四个打印结果反映的是4×3的二维数组和(3,)的一维数组的和,两个数组维度不一致,为了能够运算,广播功能会自动将(3,)的一维数组补齐为(1,3)的二维数组,进而得到4×3的数组。通过对上面例子的解释,希望读者能够掌握数组广播功能的操作规则,以防数组运算时发生错误。
4.3 常用的数学和统计函数
numpy模块的核心就是基于数组的运算,相比于列表或其他数据结构,数组的运算效率是最高的。在统计分析和挖掘过程中,经常会使用到numpy模块的函数,接下来将常用的数学函数和统计函数汇总到表4-2中,以便读者查询和使用。

根据上面的表格,需要对统计函数重点介绍,这些统计函数都有axis参数,该参数的目的就是在统计数组元素时需要按照不同的轴方向计算,如果axis=1,则表示按水平方向计算统计值,即计算每一行的统计值;如果axis=0,则表示按垂直方向计算统计值,即计算每一列的统计值。为了简单起见,这里做一组对比测试,以便读者明白轴的方向具体指什么:
arr4 = np.array([[1,10,100],[2,20,200],[3,30,300]])
print(arr4)
print('垂直方向计算数组的和:\n',np.sum(arr4,axis = 0))
print('水平方向计算数组的和:\n',np.sum(arr4, axis = 1))
结果:
[[ 1 10 100]
[ 2 20 200]
[ 3 30 300]]
垂直方向计算数组的和:
[ 6 60 600]
水平方向计算数组的和:
[111 222 333]
如上结果所示,垂直方向就是对数组中的每一列计算总和,而水平方向就是对数组中的每一行计算总和。同理,如果读者想小试牛刀的话,就以4.1.3节中读取的学生考试成绩为例,计算每一个学生(水平方向)的总成绩和每一门科目(垂直方向)的平均分。
4.4 线性代数的相关计算
数据挖掘的理论背后几乎离不开有关线性代数的计算问题,如矩阵乘法、矩阵分解、行列式求解等。本章介绍的numpy模块同样可以解决各种线性代数相关的计算,只不过需要调用Numpy的子模块linalg(线性代数的缩写),该模块几乎提供了线性代数所需的所有功能。
表4-3给出了一些numpy模块中有关线性代数的重要函数,以便读者快速查阅和掌握函数用法。

4.4.1 矩阵乘法
# 一维数组的点积
vector_dot = np.dot(np.array([1,2,3]), np.array([4,5,6]))
print('一维数组的点积:\n',vector_dot)
# 二维数组的乘法
print('两个二维数组:')
print(arr10)
print(arr11)
arr2d = np.dot(arr10,arr11)
print('二维数组的乘法:\n',arr2d)
结果:
一维数组的点积:
32
两个二维数组:
[[ 0 1 2]
[ 3 4 5]
[ 6 7 8]
[ 9 10 11]]
[[101 102 103 104]
[105 106 107 108]
[109 110 111 112]]
二维数组的乘法:
[[ 323 326 329 332]
[1268 1280 1292 1304]
[2213 2234 2255 2276]
[3158 3188 3218 3248]]
点积函数dot,使用在两个一维数组中,实际上是计算两个向量的乘积,返回一个标量;使用在两个二维数组中,即矩阵的乘法,矩阵乘法要求第一个矩阵的列数等于第二个矩阵的行数,否则会报错。
4.4.2 diag函数的使用
# diag的使用
arr15 = np.arange(16).reshape(4,-1)
print('4×4的矩阵:\n',arr15)
print('取出矩阵的主对角线元素:\n',np.diag(arr15))
print('由一维数组构造的方阵:\n',np.diag(np.array([5,15,25])))
结果:
4×4的矩阵:
[[ 0 1 2 3]
[ 4 5 6 7]
[ 8 9 10 11]
[12 13 14 15]]
取出矩阵的主对角线元素:
[ 0 5 10 15]
由一维数组构造的方阵:
[[ 5 0 0]
[ 0 15 0]
[ 0 0 25]]
如上结果所示,如果给diag函数传入的是二维数组,则返回由主对角元素构成的一维数组;如果向diag函数传入一个一维数组,则返回方阵,且方阵的主对角线就是一维数组的值,方阵的非主对角元素均为0。
4.4.3 特征根与特征向量
我们知道,假设A为n阶方阵,如果存在数λ和非零向量,使得Ax=λx(x≠0),则称λ为A的特征根,x为特征根λ对应的特征向量。如果需要计算方阵的特征根和特征向量,可以使用子模块linalg中的eig函数:
# 计算方阵的特征向量和特征根
arr16 = np.array([[1,2,5],[3,6,8],[4,7,9]])
print('计算3×3方阵的特征根和特征向量:\n',arr16)
print('求解结果为:\n',np.linalg.eig(arr16))
结果:
计算3×3方阵的特征根和特征向量:
[[1 2 5]
[3 6 8]
[4 7 9]]
求解结果为:
(array([16.75112093, -1.12317544, 0.37205451]), array([[-0.30758888, -0.90292521, 0.76324346],
[-0.62178217, -0.09138877, -0.62723398],
[-0.72026108, 0.41996923, 0.15503853]]))
如上结果所示,特征根和特征向量的结果存储在元组中,元组的第一个元素就是特征根,每个特征根对应的特征向量存储在元组的第二个元素中。
4.4.4 多元线性回归模型的解
多元线性回归模型一般用来预测连续的因变量,如根据天气状况预测游客数量、根据网站的活动页面预测支付转化率、根据城市人口的收入、教育水平、寿命等预测犯罪率等。该模型可以写成Y=Xβ+ε,其中Y为因变量,X为自变量,ε为误差项。要想根据已知的X来预测Y的话,必须得知道偏回归系数β的值。对于熟悉多元线性回归模型的读者来说,一定知道偏回归系数的求解方程,即β=(X’X)-1X’Y)。如果读者并不是很熟悉多元线性回归模型的相关知识,可以查看第7章的内容。
# 计算偏回归系数
X = np.array([[1,1,4,3],[1,2,7,6],[1,2,6,6],[1,3,8,7],[1,2,5,8],[1,3,7,5],[1,6,10,12],[1,5,7,7],[1,6,3,4],[1,5,7,8]])
Y = np.array([3.2,3.8,3.7,4.3,4.4,5.2,6.7,4.8,4.2,5.1])
X_trans_X_inverse = np.linalg.inv(np.dot(np.transpose(X),X))
beta = np.dot(np.dot(X_trans_X_inverse,np.transpose(X)),Y)
print('偏回归系数为:\n',beta)
结果:
偏回归系数为:
[1.78052227 0.24720413 0.15841148 0.13339845]
如上所示,X数组中,第一列全都是1,代表了这是线性回归模型中的截距项,剩下的三列代表自变量,根据β的求解公式,得到模型的偏回归系数,从而可以将多元线性回归模型表示为Y=1.781+0.247x1+0.158x2+0.133x3。
4.4.5 多元一次方程组的求解
在中学的时候就学过有关多元一次方程组的知识,例如《九章算术》中有一题是这样描述的:今有上禾三秉,中禾二秉,下禾一秉,实三十九斗;上禾二秉,中禾三秉,下禾一秉,实三十四斗;上禾一秉,中禾二秉,下禾三秉,实二十六斗;问上、中、下禾实秉各几何?解答这个问题就需要应用三元一次方程组,该方程组可以表示为:

在线性代数中,这个方程组就可以表示成AX=b, A代表等号左边数字构成的矩阵,X代表三个未知数,b代表等号右边数字构成的向量。如需求解未知数X,可以直接使用linalg子模块中的solve函数,具体代码如下:
# 多元线性方程组
A = np.array([[3,2,1],[2,3,1],[1,2,3]])
b = np.array([39,34,26])
X = np.linalg.solve(A,b)
print('三元一次方程组的解:\n',X)
结果:
三元一次方程组的解:
[9.25 4.25 2.75]
如上结果所示,得到方程组x、y、z的解分别是9.25、4.25和2.75。
4.4.6 范数的计算
范数常常用来度量某个向量空间(或矩阵)中的每个向量的长度或大小,它具有三方面的约束条件,分别是非负性、齐次性和三角不等性。最常用的范数就是p范数,其公式可以表示成‖x‖p=(|x1|p+|x2|p+…+|xn|p)1/p。关于范数的计算,可以使用linalg子模块中的norm函数,举例如下:
# 范数的计算
arr17 = np.array([1,3,5,7,9,10,-12])
# 一范数
res1 = np.linalg.norm(arr17, ord = 1)
print('向量的一范数:\n',res1)
# 二范数
res2 = np.linalg.norm(arr17, ord = 2)
print('向量的二范数:\n',res2)
# 无穷范数
res3 = np.linalg.norm(arr17, ord = np.inf)
print('向量的无穷范数:\n',res3)
结果:
向量的一范数:
47.0
向量的二范数:
20.223748416156685
向量的无穷范数:
12.0
如上结果所示,向量的无穷范数是指从向量中挑选出绝对值最大的元素。
4.5 伪随机数的生成
虽然在Python内置的random模块中可以生成随机数,但是每次只能随机生成一个数字,而且随机数的种类也不够丰富。如果读者想一次生成多个随机数,或者在内置的random模块中无法找到所需的分布函数,作者推荐使用numpy模块中的子模块random。关于各种常见的随机数生成函数,可见表4-4,以供读者查阅。

读者可能熟悉上面的部分分布函数,但并不一定了解它们的概率密度曲线。为了直观展现分布函数的概率密度曲线,这里以连续数值的正态分布和指数分布为例进行介绍。如果读者想绘制更多其他连续变量的分布概率密度曲线,可以对如下代码稍做修改。
import seaborn as sns
import matplotlib.pyplot as plt
from scipy import stats
# 生成各种正态分布随机数
np.random.seed(1234)
rn1 = np.random.normal(loc = 0, scale = 1, size = 1000)
rn2 = np.random.normal(loc = 0, scale = 2, size = 1000)
rn3 = np.random.normal(loc = 2, scale = 3, size = 1000)
rn4 = np.random.normal(loc = 5, scale = 3, size = 1000)
# 绘图
plt.style.use('ggplot')
sns.distplot(rn1, hist = False, kde = False, fit = stats.norm,
fit_kws = {'color':'black','label':'u=0,s=1','linestyle':'-'})
sns.distplot(rn2, hist = False, kde = False, fit = stats.norm,
fit_kws = {'color':'red','label':'u=0,s=2','linestyle':'--'})
sns.distplot(rn3, hist = False, kde = False, fit = stats.norm,
fit_kws = {'color':'blue','label':'u=2,s=3','linestyle':':'})
sns.distplot(rn4, hist = False, kde = False, fit = stats.norm,
fit_kws = {'color':'purple','label':'u=5,s=3','linestyle':'-.'})
# 呈现图例
plt.legend()
# 呈现图形
plt.show()

如图4-1所示,呈现的是不同均值和标准差下的正态分布概率密度曲线。当均值相同时,标准差越大,密度曲线越矮胖;当标准差相同时,均值越大,密度曲线越往右移。
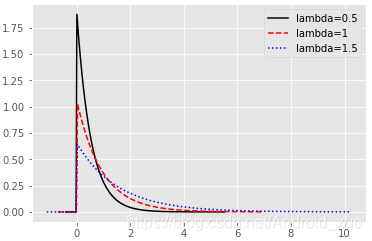
# 生成各种指数分布随机数
np.random.seed(1234)
re1 = np.random.exponential(scale = 0.5, size = 1000)
re2 = np.random.exponential(scale = 1, size = 1000)
re3 = np.random.exponential(scale = 1.5, size = 1000)
# 绘图
sns.distplot(re1, hist = False, kde = False, fit = stats.expon,
fit_kws = {'color':'black','label':'lambda=0.5','linestyle':'-'})
sns.distplot(re2, hist = False, kde = False, fit = stats.expon,
fit_kws = {'color':'red','label':'lambda=1','linestyle':'--'})
sns.distplot(re3, hist = False, kde = False, fit = stats.expon,
fit_kws = {'color':'blue','label':'lambda=1.5','linestyle':':'})
# 呈现图例
plt.legend()
# 呈现图形
plt.show()

图4-2展现的是指数分布的概率密度曲线,通过图形可知,指数分布的概率密度曲线呈现在y=0的右半边,而且随着lambda参数的增加,概率密度曲线表现得越矮,同时右边的“尾巴”会更长而厚。
4.6 本章小结
本章介绍了有关数值计算的numpy模块,包括数组的创建、基本操作、数学运算、常用的数学和统计函数、线性代数以及随机数的生成。通过本章内容的学习,希望能够为读者在之后的数据分析和挖掘方面的学习打下基础。
下面对本章中涉及的Python函数进行汇总,主要是正文中没有写入表格的函数,以便读者查询和记忆。


本文重点介绍Python数值运算的numpy模块。涵盖数组创建与操作、基本运算符、常用数学和统计函数等内容。通过numpy可实现高效数值运算,还能解决线性代数问题,如矩阵乘法、特征根计算等,同时可生成伪随机数,为后续数据分析和挖掘打基础。
1283

被折叠的 条评论
为什么被折叠?



