摘要随着电子商务的迅速发展,特产和二手物品的在线交易逐渐成为主流,尤其是地方特产如昭通特产,面临着市场拓展和传统销售模式的瓶颈。为了突破这些局限,设计并实现一个高效便捷的在线商城平台显得尤为重要。这不仅能促进昭通特产的销售,也能为用户提供更加便捷的购物体验。
基于Spring Boot框架的闲置物品交易平台,分为管理员后台和用户前台两大部分。管理员主要负责管理系统用户、商品、订单、公告等功能,确保平台顺畅运行;用户则可浏览商品、下单购买、管理个人账户和订单。管理员功能包括产品分类管理、实名制管理、商城管理等;买家功能包括商品浏览、实时聊天、订单管理和个人中心等;卖家功能则包括商品发布、订单处理和售后服务。系统使用Spring Boot开发,前端采用Vue.js,数据库使用MySQL,确保平台的高效和流畅体验。
关键词:Spring Boot框架;闲置物品;商城管理;用户管理
ABSTRACT
With the rapid development of e-commerce, online transactions of specialty products and second-hand goods have gradually become mainstream, especially for local specialties such as Zhaotong specialty products, which face bottlenecks in market expansion and traditional sales models. To overcome these limitations, it is particularly important to design and implement an efficient and convenient online shopping platform. This can not only promote the sales of Zhaotong specialty products, but also provide users with a more convenient shopping experience.
The idle item trading platform based on the Spring Boot framework is divided into two main parts: the administrator backend and the user frontend. Administrators are mainly responsible for managing system users, products, orders, announcements, and other functions to ensure the smooth operation of the platform; Users can browse products, place orders, manage personal accounts and orders. Administrator functions include product classification management, real name system management, mall management, etc; Buyer functions include product browsing, real-time chat, order management, and personal center, etc; The seller's functions include product publishing, order processing, and after-sales service. The system is developed using Spring Boot, with Vue.js for the front-end and MySQL for the database, ensuring an efficient and smooth platform experience.
Keywords: Spring Boot framework; Idle items; Mall management; User Management
目 录
1绪论
1.1课题研究背景及意义
随着互联网技术的发展和电子商务的普及,在线购物已成为现代人生活的重要组成部分,尤其是闲置物品的交易。在这种背景下,许多二手物品和地方特产的在线交易市场逐渐崛起,满足了用户对环保和资源再利用的需求[1]。然而,现有的交易平台往往存在信息不对称、交易不安全、物流配送不便等问题,限制了二手物品和地方特产市场的发展。因此,设计并实现一个便捷、安全的闲置物品交易平台,对于促进二手物品交易的健康发展和地方特产的推广具有重要意义。
该平台的设计能够有效推动闲置物品的再利用,减少资源浪费,符合现代社会提倡的环保理念。此外,平台为地方特产提供了新的线上销售渠道,帮助地方特色产品打破传统销售模式的局限,拓展更广阔的市场[2]。通过引入实名制、订单管理和实时聊天等功能,平台能够有效提升交易安全性,增强用户的信任感,从而为用户提供更好的购物体验,推动电子商务的进一步发展。这些功能的结合,不仅有助于推动地方经济发展,还能提升社会资源的优化配置。
1.2国内外发展现状分析
在当前的国内外研究现状中,许多文献为基于SpringBoot的闲置物品交易平台的设计与实现提供了宝贵的理论支持和技术参考,尤其在技术架构、用户体验、推荐算法以及系统优化等方面。
国内研究中,向育程与段元梅(2024)在《基于Java的网上商城系统》中详细探讨了使用Java技术构建网上商城的架构与实现方式,介绍了前后端分离的设计方案以及数据库的优化策略,为本课题中的SpringBoot框架应用提供了理论支持,特别在系统架构设计和性能优化方面,为闲置物品交易平台的技术实现提供了基础性的参考,尤其有助于商城系统的稳定性和扩展性提升[1]。马标(2024)的《基于推荐算法的助农商城系统设计与实现》则关注了推荐算法在农产品电商系统中的应用,强调通过推荐算法提升用户粘性与转化率,能够有效增强电商平台的竞争力和用户活跃度。对于本课题,马标的研究为如何吸引更多用户及提升用户体验提供了重要的启示,推荐算法的运用将直接影响闲置物品交易平台的用户互动和购买转化率[2]。王妍(2024)在《职业教育数字化转型视角下的“Java程序设计”课程改革研究》中,讨论了数字化教育背景下的Java课程改革,突出了项目驱动型学习的应用,强调了理论与实践的结合,这对本课题中开发团队的技术培训具有启示作用,尤其是在培养具有实际开发能力的技术人员方面,提供了指导思路[3]。谭彦(2024)在《基于Django的农产品电子商城系统设计与实现》中虽然采用了Django框架,但其对农产品电商系统的设计讨论为本课题中的特产商城提供了有益参考,文章详细分析了商品展示、订单管理以及支付系统的实现方案,为闲置物品交易平台在商品展示及订单管理模块的设计提供了启发[4]。王培培(2024)在《基于SpringBoot的网上商城管理系统设计与实现》中系统地分析了如何基于SpringBoot框架设计高效的商城管理系统,文章中的架构设计和模块划分方案,以及后台管理系统的设计,对本课题中商城的后台管理模块设计具有重要的参考价值,尤其是在如何高效管理商品、订单和用户等核心模块方面,提供了设计思路与实现方案[5]。
在国外研究方面,Cai等人(2019)发表的《Design and Implementation of Online Mall System based on Java Web》研究了Java Web在电商系统中的应用,提出了针对商城系统性能和安全性的优化措施,提供了系统设计的国际视野,尤其在系统性能的优化和安全性设计方面,为闲置物品交易平台提供了有价值的优化方案,帮助更好地处理大量用户请求和保障数据安全[6]。Won与Cheol(2019)在《Website Characteristics and Inflow Factors Influencing eWOM Volume of Small Online Shopping Mall》一文中探讨了影响小型网店口碑传播的因素,强调了用户体验和社交媒体的作用,研究表明,良好的用户体验和网络口碑能够大大提升电商平台的用户转化率和品牌忠诚度,这对于闲置物品交易平台在社交媒体和用户评价上的策略设计至关重要,可以有效促进商城的品牌传播与口碑建设,提高用户粘性和转化率[7]。KIM等人(2024)提出的《An Expanded Website Quality Model in Online Shopping Malls for Developing Satisfaction and Loyalty: The Moderating Effect of Gender》深入探讨了网站质量模型,尤其是在网站性能、内容质量与用户体验之间的关系,强调了影响消费者满意度与忠诚度的多方面因素,为闲置物品交易平台的前端界面设计和用户体验优化提供了宝贵参考,有助于提升商城的整体用户体验和满意度[8]。Peng与Wang(2023)研究了基于SOA(服务导向架构)的在线药品商城系统的设计与实现,尽管其关注的领域是药品电商,但其采用的服务化架构设计思路对本课题的商城系统架构具有重要的参考价值,SOA架构有助于系统的高扩展性和高可维护性,尤其在商城系统规模逐渐扩展时,能够确保系统能够灵活地应对不断变化的需求与挑战[9]。
综合这些国内外的研究成果,不仅为闲置物品交易平台的设计与实现提供了理论基础,还为系统的技术架构、用户体验、商城功能模块等方面的优化提供了重要的借鉴与支持。这些研究为推动商城系统的持续优化和创新提供了坚实的理论依据,并有助于实现商城系统在性能、安全性和用户体验等方面的不断提升。
1.3研究内容
本课题的研究内容包括闲置物品交易平台的需求分析与系统设计,系统分为管理员后台、卖家后台和买家前台三大部分。通过对闲置市场的调研,确定了系统功能模块,管理员可以进行商品、订单、用户管理和公告发布等操作,用户则可浏览商品、下单购买、管理订单与实名认证。系统架构方面,后端使用Spring Boot框架,前端采用Vue.js,数据存储使用MySQL,系统实现了用户注册登录、商品浏览与搜索、购物车、订单管理等功能,经过全面测试和性能优化,确保系统稳定运行。在系统部署上线后,进一步收集用户反馈并进行优化,最终构建了一个便捷、高效、安全的闲置物品交易平台,为地方经济发展和特产推广提供了有力支持。
2相关技术简介
2.1 Springboot 框架简介
Spring Boot,作为Spring生态系统中一颗璀璨的明星,以其“约定优于配置”的核心理念,极大地简化了Java应用的开发、部署与管理流程。它并非是对Spring框架的颠覆,而是在其基础上进行了深度封装与优化,旨在快速搭建独立的、生产级别的Spring应用。Spring Boot通过自动配置功能,减少了大量繁琐的配置工作,让开发者能够更加专注于业务逻辑的实现。同时,它集成了众多常用库,如数据库连接池、缓存、消息队列等,为开发者提供了一站式的解决方案。此外,Spring Boot还支持多种部署方式,无论是传统的WAR包部署,还是现代的容器化部署,都能轻松应对。因此,选择Spring Boot作为闲置物品交易平台的开发框架,不仅能够提升开发效率,还能确保系统的稳定性和可维护性。
2.2 B/S结构
B/S模式,即浏览器/服务器模式,是一种常见的网络应用架构模式。在B/S模式中,用户通过浏览器作为客户端与服务器进行交互。在浏览器/服务器(browser / Server Architecture)系统中,用户只需通过浏览器,就能够轻松地向分布在网络各处的众多服务器发送海量的请求。B/S系统大大地简化了客户端的工作,让用户体验更加便捷。
2.3 vue.js框架简介
Vue框架,作为一款风靡前端的JavaScript框架,以其渐进式、组件化的设计理念,为开发者构建高效、灵活的Web界面提供了强大支持。Vue不仅轻量且易于上手,其核心库专注于视图层,使得开发者能够轻松地将Vue集成到现有项目中,实现前后端分离的现代Web应用开发。其响应式的数据绑定和组件系统,让开发者能够高效地管理界面状态和用户交互,同时Vue丰富的生态系统也提供了众多插件和工具,进一步提升了开发效率和应用的性能。在闲置物品交易平台中引入Vue作为前端框架,不仅可以优化用户界面的渲染和交互体验,还能通过前后端分离的架构提升系统的可维护性和可扩展性,是构建现代、高效闲置物品交易平台的理想选择。
2.4 MySQL数据库简介
MySQL数据库管理系统是一款广泛使用的开源关系型数据库,因其高效、稳定和易于扩展,广泛应用于电商平台、内容管理和数据分析等领域。提供了丰富的工具和API,便于开发者进行数据库管理和操作。MySQL在大多数Web应用中得到广泛使用,尤其是在与PHP、Python等编程语言配合时,能够提供高效的数据存储和查询服务。MySQL数据库具有强大的扩展性,支持水平扩展和分布式架构,可以应对日益增长的数据存储需求。凭借其开源、稳定和高效的特点,MySQL成为全球最受欢迎的数据库系统之一。
3系统需求分析
3.1系统功能需求分析
闲置物品交易平台包含注册用户和管理员两大角色,主要功能如下:
3.1.1买家用户主要功能
首页:买家登录后首先进入平台首页,首页展示平台推荐的商品、热门商品、促销活动等内容。用户可以通过搜索框方便地查找自己感兴趣的商品,
系统公告:平台管理员发布的系统公告将帮助买家了解平台的最新动态、促销活动、政策变动等重要信息。
二手资讯:平台提供关于二手物品市场的最新资讯、市场趋势、购买建议等内容,帮助买家获取有价值的行业信息。买家可以对资讯文章进行点赞,表示对有用内容的认同,并通过收藏功能保存感兴趣的文章,便于日后查看。评论功能允许买家与其他用户互动,分享看法和经验,这增加了平台的互动性和用户的参与感。
实时聊天:买家与卖家之间可以通过实时聊天功能进行直接沟通。对于一些特殊的交易方式(如线下支付),买家可以在聊天中与卖家商议交易细节,如约定交易地点、付款方式等。
闲置物品:在平台上,买家可以浏览不同类别的闲置物品,找到自己需要的商品。买家可以通过点击在线购买直接购买商品,或者将商品加入购物车,方便稍后再做决定。买家还可以对商品进行点赞和收藏,表示对商品的喜爱,同时在商品页面上可以留下评论,分享自己对商品的评价和使用体验。
商城管理:
我的购物车:买家可以在购物车中查看已选择的商品,修改商品数量或者删除不需要的商品。在决定购买时,买家可以进入结算页面,选择合适的支付方式并完成购买。
我的订单:买家可以查看自己的历史订单,包括待支付、已支付、申请售后等状态,帮助买家了解订单的进度和处理状态。此外,买家可以通过平台进行支付,支持多种支付方式,包括微信支付、支付宝、银行卡支付等,确保支付过程的顺畅和安全。
我的地址:买家可以管理收货地址,包括修改已有地址和添加新地址。通过方便的地址管理功能,买家可以在结算时轻松选择目标地址,确保商品能快速准确地送达。
个人中心:
个人首页:展示买家的基本信息,如账户余额、购买记录等,买家可以轻松查看和管理自己的账户设置。
买家实名:为了确保交易的安全性,买家需要通过实名认证。这不仅有助于防止虚假交易,还提高了平台的安全性和信任度。
订单配送:买家可以查看自己所有订单的配送状态,跟踪物流信息,确保及时收到商品。这一功能提高了交易的透明度,增加了买家对平台的信任。
收藏:买家可以收藏自己感兴趣的商品,便于后续查看或购买。这一功能不仅让买家能够快速访问喜爱的商品,还能提高用户粘性。
评论管理:买家可以查看自己已发布的评论,对商品和服务进行评价。买家还可以修改或删除不满意的评论,确保评论内容的准确性和有效性。
3.1.2管理员主要功能
首页:管理员登录后,进入平台首页,首页展示平台的总体数据概况,如用户数量、商品数量、订单状态等。
系统用户管理:管理员可以管理平台上的所有用户,包括管理员、卖家和买家用户的账户管理
买家/卖家实名管理:为了确保交易安全和诚信,管理员负责管理买卖双方的实名信息。管理员可以查看、审核和管理买家和卖家的实名认证申请,确保每个用户的身份合法有效。
产品分类管理:管理员可以对平台上的商品进行分类管理。可以创建、编辑和删除不同的商品分类。
系统公告管理:管理员可以发布平台公告,向买家和卖家传达重要的通知、规则更新或活动促销等信息。
资源管理:管理员需要管理平台上的各类资源,包括二手资讯和资讯分类。管理员可以添加、编辑、删除相关资讯内容。
商城管理:管理员需要对平台中的闲置物品、商品列表、订单管理等进行整体把控。可以查看平台内所有商品的展示情况,审核商品信息的准确性,管理商品的上下架。对于订单管理,管理员可以查看订单的处理状态,跟踪订单的配送情况。
订单配送与售后管理:管理员可以查看和管理所有订单的配送状态、售后申请和处理情况。对于退换货、退款等售后问题。
数据统计与报表生成:管理员需要能够实时查看和分析平台的运营数据,包括用户活跃度、交易量、商品销售情况等。
3.1.3卖家用户功能需求分析
实名管理:卖家必须完成实名认证,确保交易安全和平台的可信度。
商城管理:
闲置物品管理:卖家发布、编辑和删除商品,管理商品信息(如标题、价格、库存)。
分类列表管理:卖家管理商品分类,优化商品展示。
订单列表管理:查看并处理所有订单,更新订单状态。
订单配送管理:卖家确认配送信息,跟踪订单状态,确保按时送达。
订单售后管理:处理退货、换货、退款等售后请求,保证买家满意度。
3.2系统非功能性分析
非功能性需求分析是一个重要的部分,非功能性需求主要关注的是系统如何运行,而不是它具体完成什么功能。这些需求包括性能、可用性、安全性、可维护性、可扩展性、易用性等方面。以下是一个关于闲置物品交易平台非功能性需求分析的概要。
性能需求:系统需确保快速响应和高吞吐量,以支持大量用户同时访问,即使在高峰时段也能保持流畅的操作体验,避免因延迟或卡顿影响用户体验。
可用性:安系统必须具备高可用性,采用冗余部署、负载均衡等策略,确保即使部分组件故障也能迅速恢复服务,减少服务中断时间,保障用户业务的连续性。
安全性:鉴于系统处理用户敏感信息,必须实施严格的安全措施,包括数据加密、访问控制、防攻击机制等,以保护用户数据免受未授权访问或泄露。
可维护性:系统设计应注重可维护性,采用模块化、标准化的架构,提供详尽的开发文档和用户手册,确保系统易于理解和维护,降低长期运维成本。
可扩展性:随着业务的发展,系统可能需要扩展功能或提升性能。因此,系统需具备灵活的可扩展性,能够轻松添加新模块、优化性能,以应对未来增长的需求。
易用性:用户界面应直观易用,符合用户习惯,提供清晰的导航和友好的操作反馈,帮助用户快速上手并高效完成任务,提升整体用户满意度。
3.3系统可行性分析
通过闲置物品交易平台的可行性分析,可以从技术可行性、经济可行性、操作可行性以及社会可行性四个维度进行深入探讨,以确保系统的开发与应用具有坚实的可行性基础。
3.3.1技术可行性
Springboot作为目前流行的Java企业级应用开发框架,以其“约定优于配置”的原则,极大地简化了开发流程,降低了技术门槛。同时,结合MyBatis Plus这一强大的ORM框架,可以高效实现数据持久化操作。前端采用Vue框架,不仅提升了用户界面的交互体验,也实现了前后端分离的现代Web架构。MySQL数据库作为后端数据存储,以其高性能和稳定性为系统提供了可靠的数据支持。综上所述,从技术角度来看,该系统的开发具备高度可行性。
3.3.2经济可行性
考虑到Springboot、Vue、MyBatis Plus及MySQL等均为开源技术,无需支付高昂的许可费用,大大降低了系统的开发成本。同时,这些技术拥有广泛的用户群体和成熟的社区支持,便于获取技术支持和资源共享。此外,系统的实施将显著提升用户体验,从而带来潜在的经济效益。因此,从经济角度来看,该系统的开发同样具备可行性。
3.3.3操作可行性
系统设计应遵循用户友好原则,确保用户能够轻松上手并高效使用。通过合理的界面布局、直观的操作流程以及详尽的帮助文档,可以大大降低用户的学习成本,提高系统的操作可行性。此外,系统还应具备完善的权限管理和数据安全机制,确保操作的安全性和合规性。
3.3.4社会可行性
随着互联网的普及和电子商务的快速发展,越来越多的消费者倾向于在线购物,尤其是对闲置物品和地方特产的需求日益增加。为了满足这一需求,设计并实现一个高效、便捷、安全的闲置物品交易平台显得尤为重要。该平台不仅能够为地方特产和闲置物品提供更广阔的市场和销售渠道,还能促进地方经济的发展,提升居民的收入水平。同时,通过提供便捷的购物体验和丰富的商品信息,平台有助于提高消费者对二手物品和地方特产的认知和认可,推动环保和资源回收的理念,促进地方文化的传播与交流。该平台的实现具有重要的社会、经济和文化价值。
从技术、经济、操作和社会四个维度来看,闲置物品交易平台的开发均具备高度的可行性。
3.4系统用例分析
闲置物品交易平台用例分析主要从买家用户、卖家用户和管理员这些实体展开描述。
3.4.1买家用户用例分析
注册用户具备首页、系统公告、二手资讯、实时聊天、闲置物品、商城管理(我的购物车、我的订单、我的地址)个人中心(个人首页、买家实名、订单配送、收藏、评论管理)等用例信息。详细用例图如图3-1所示。
图3-1注册用户用例图
3.4.2卖家用户用例分析
卖家用户具备卖家实名管理、商城管理(闲置物品、分类列表、订单列表、订单配送、订单售后)等用例信息。详细用例图如图3-2所示。
图3-2卖家用户用例图
3.4.3管理员用例分析
管理员具备后台首页、系统用户(管理员、卖家用户、买家用户)买家实名、卖家实名、产品分类、系统管理(轮播图)系统公告、资源管理(二手资讯、资讯分类)商城管理(闲置物品、分类列表、订单列表、订单配送、订单售后)等需求用例。详细用例图如图3-3所示。
图3-3管理员用例图
4系统设计
4.1系统总体设计思路
闲置物品交易平台采用Browser/Server结构,(浏览器/服务器)和基于Web服务前后台交互的模式,是一个适用于Windows体系环境下的模型结构。只要用户有符合程序运行的硬件系统,并连上互联网,便可以在任何时间、任何地点使用。系统工作原理图如图4-1所示:
图4-1系统工作原理图
其最终前后台交互原理如图4-2所示。
图4-2前后台交互原理
具体交互流程为:浏览器中执行具体操作,操作命令将生成一个do方法。该方法使得浏览器能够访问后台中的Controller层,Controller层由于业务上的需要执行进而访问Service层。Service层收到指令后将会去调用内部DAO层的接口。接口将会和MyBatis层下的一个SQL语句相对接。对接好之后进而访问MySql数据库。更新底层数据,然后将数据同步回MyBatis层,同步变化后的数据将通过DAO层接口,Service层和后台Controller层,直观反映到浏览器页面上。
4.2系统结构设计
闲置物品交易平台的整体结构设计如图4-3所示。
图4-3整体功能结构设计图
4.3系统流程设计
4.3.1用户注册流程图
注册的过程,第一部分是账号的注册,第二部分是信息完善。在业务开展过程中,管理员可对用户信息进行修改等管理操作,注册流程如图4-4所示。
图4-4用户注册流程图
4.3.2系统操作流程图
系统操作流程从用户登录或注册开始。管理员通过后台管理界面管理轮播图、公告、商品分类和订单等。卖家可以在后台发布商品、管理库存、处理订单和售后服务。
买家登录后可浏览首页的公告和商品,选择商品加入购物车并进行结算。买家可查看订单、管理地址、进行支付,并在个人中心查看账户信息和历史订单。
系统操作流程如图4-5所示。
图4-5 系统操作流程图
4.3.3业务流程图
业务流程图既反映了内部业务间的相互联系。闲置物品交易平台须支撑整个机构不同层面的多种职能,而各功能模块间存在着多种关联信息,组成一个有机整体,并针对信息自身特点和面临的现实条件,对系统进行业务流程图设计。系统通过流程的顺畅和高效,实现了需求的满足和系统管理的便捷,提升了系统的运行效率和用户体验。闲置物品交易平台的业务流程如下图所示。
用户购买特产业务流程如图4-6所示。
图4-6用户购买商品业务流程图
4.4系统核心代码设计
闲置物品交易平台的核心代码设计如下:
4.4.1用户注册
注册页UserController.java,传入user对象,并将"user_id"、 "state"、 "user_group"、"login_time"、"phone"、"phone_state"、 "username"、"nickname"、"password"、"email"、"email_state"、"avatar"、"create_time"输入,重点是 "username"、"nickname"、"password"必须输入,通过获取username,数据库查询是否有该用户,如果存在,则提示“用户已存在”,否则执行将UserId置为空(数据库表中该字段已设置自动递增),代码如图4-7所示。

图4-7注册核心代码图
4.4.2用户登录
登录页,首先传入"username"、"email"、"phone"、"password",用户可通过用户名、邮箱、手机号进行登陆,通过判断resultList来确定查询结果,然后执行查询用户组UserGroup,用户组里面不存在,依然报“用户不存在”,执行完以上代码,最后涉及到用户带有“审核”的,会查询examine_state(用户的审核状态),数据库表user_group中含有source_table和source_field进行查询,以上步骤完成,对输入的密码进行存储Token到数据库,匹对账号和密码,数据库中的AccessToken为令牌,用于身份认证,代码如图4-8所示。

图4-8用户登录核心代码图
4.4.3修改密码
修改密码,通过请求data,获取旧密码,并将新密码重新赋值,期间都是需要通过加密,代码如图4-9所示。

图4-9修改密码核心代码图
4.4.4修改数据
修改一个数据,原理与add基本一致,不同点在于通过readConfig()读取关键字,以及通过readQuery()获取URL后面?指定位置的标识,转成Map对象后,执行update操作,同样通过拼接的sql语句执行,执行过程读取query,toWhereSql()语句完成数据库操作,body为修改对象的值,代码如图4-10所示。

图4-10修改数据核心代码图
4.4.5删除数据
删除一条数据,通过readQuery(),获取URL后面的对象地址,删除FROM具体的table,query删除查询FindConfig语句,代码如图4-11所示。

图4-11删除数据核心代码图
4.4.6获取列表
通过请求的参数获取列表数据,代码如图4-12所示。

图4-12获取列表核心代码图
4.4.7图片上传
通过请求的参数获取列表数据,代码如图4-13所示。

图4-13图片上传核心代码图
4.5数据库设计
4.5.1数据库设计原则
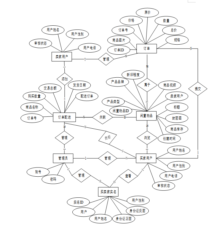
闲置物品交易平台在进行数据库设计时,考虑到个人能力与数据库选择,选择了数据库Mysql。以下将使用E-R展示数据库中设计的实体及主要的字段和类型及数据库的描述。
4.5.2数据库实体
数据库实体E-R图如图4-14所示:

图4-14数据库E-R图
4.5.3数据库表设计
| 编号 | 字段名 | 类型 | 长度 | 是否非空 | 是否主键 | 注释 |
| 1 | token_id | int | 是 | 是 | 临时访问牌ID | |
| 2 | token | varchar | 64 | 否 | 否 | 临时访问牌 |
| 3 | info | text | 65535 | 否 | 否 | 信息 |
| 4 | maxage | int | 是 | 否 | 最大寿命:默认2小时 | |
| 5 | create_time | timestamp | 是 | 否 | 创建时间 | |
| 6 | update_time | timestamp | 是 | 否 | 更新时间 | |
| 7 | user_id | int | 是 | 否 | 用户编号 |
表 4-2-address(收货地址)
| 编号 | 字段名 | 类型 | 长度 | 是否非空 | 是否主键 | 注释 |
| 1 | address_id | int | 是 | 是 | 收货地址 | |
| 2 | name | varchar | 32 | 否 | 否 | 姓名 |
| 3 | phone | varchar | 13 | 否 | 否 | 手机 |
| 4 | postcode | varchar | 8 | 否 | 否 | 邮编 |
| 5 | address | varchar | 255 | 是 | 否 | 地址 |
| 6 | user_id | mediumint | 是 | 否 | 用户ID | |
| 7 | create_time | timestamp | 是 | 否 | 创建时间 | |
| 8 | update_time | timestamp | 是 | 否 | 更新时间 | |
| 9 | default | tinyint | 是 | 否 | 默认判断 |
表 4-3-article(文章)
| 编号 | 字段名 | 类型 | 长度 | 是否非空 | 是否主键 | 注释 |
| 1 | article_id | mediumint | 是 | 是 | 文章id | |
| 2 | title | varchar | 125 | 是 | 是 | 标题 |
| 3 | type | varchar | 64 | 是 | 否 | 文章分类 |
| 4 | hits | int | 是 | 否 | 点击数 | |
| 5 | praise_len | int | 是 | 否 | 点赞数 | |
| 6 | create_time | timestamp | 是 | 否 | 创建时间 | |
| 7 | update_time | timestamp | 是 | 否 | 更新时间 | |
| 8 | source | varchar | 255 | 否 | 否 | 来源 |
| 9 | url | varchar | 255 | 否 | 否 | 来源地址 |
| 10 | tag | varchar | 255 | 否 | 否 | 标签 |
| 11 | content | longtext | 4294967295 | 否 | 否 | 正文 |
| 12 | img | varchar | 255 | 否 | 否 | 封面图 |
| 13 | description | text | 65535 | 否 | 否 | 文章描述 |
表 4-4-article_type(文章分类)
| 编号 | 字段名 | 类型 | 长度 | 是否非空 | 是否主键 | 注释 |
| 1 | type_id | smallint | 是 | 是 | 分类ID | |
| 2 | display | smallint | 是 | 否 | 显示顺序 | |
| 3 | name | varchar | 16 | 是 | 否 | 分类名称 |
| 4 | father_id | smallint | 是 | 否 | 上级分类ID | |
| 5 | description | varchar | 255 | 否 | 否 | 描述 |
| 6 | icon | text | 65535 | 否 | 否 | 分类图标 |
| 7 | url | varchar | 255 | 否 | 否 | 外链地址 |
| 8 | create_time | timestamp | 是 | 否 | 创建时间 | |
| 9 | update_time | timestamp | 是 | 否 | 更新时间 |
表 4-5-auth(用户权限管理)
| 编号 | 字段名 | 类型 | 长度 | 是否非空 | 是否主键 | 注释 |
| 1 | auth_id | int | 是 | 是 | 授权ID | |
| 2 | user_group | varchar | 64 | 否 | 否 | 用户组 |
| 3 | mod_name | varchar | 64 | 否 | 否 | 模块名 |
| 4 | table_name | varchar | 64 | 否 | 否 | 表名 |
| 5 | page_title | varchar | 255 | 否 | 否 | 页面标题 |
| 6 | path | varchar | 255 | 否 | 否 | 路由路径 |
| 7 | parent | varchar | 64 | 否 | 否 | 父级菜单 |
| 8 | parent_sort | int | 是 | 否 | 父级菜单排序 | |
| 9 | position | varchar | 32 | 否 | 否 | 位置 |
| 10 | mode | varchar | 32 | 是 | 否 | 跳转方式 |
| 11 | add | tinyint | 是 | 否 | 是否可增加 | |
| 12 | del | tinyint | 是 | 否 | 是否可删除 | |
| 13 | set | tinyint | 是 | 否 | 是否可修改 | |
| 14 | get | tinyint | 是 | 否 | 是否可查看 | |
| 15 | field_add | text | 65535 | 否 | 否 | 添加字段 |
| 16 | field_set | text | 65535 | 否 | 否 | 修改字段 |
| 17 | field_get | text | 65535 | 否 | 否 | 查询字段 |
| 18 | table_nav_name | varchar | 500 | 否 | 否 | 跨表导航名称 |
| 19 | table_nav | varchar | 500 | 否 | 否 | 跨表导航 |
| 20 | option | text | 65535 | 否 | 否 | 配置 |
| 21 | create_time | timestamp | 是 | 否 | 创建时间 | |
| 22 | update_time | timestamp | 是 | 否 | 更新时间 |
表 4-6-buyers_real_name(买家实名)
| 编号 | 字段名 | 类型 | 长度 | 是否非空 | 是否主键 | 注释 |
| 1 | buyers_real_name_id | int | 是 | 是 | 买家实名ID | |
| 2 | buyer_user | int | 否 | 否 | 买家用户 | |
| 3 | user_name | varchar | 64 | 否 | 否 | 用户姓名 |
| 4 | user_phone_number | varchar | 64 | 否 | 否 | 用户电话 |
| 5 | user_gender | varchar | 64 | 否 | 否 | 用户性别 |
| 6 | front_of_id_card | varchar | 255 | 否 | 否 | 身份证正面 |
| 7 | reverse_of_id_card | varchar | 255 | 否 | 否 | 身份证反面 |
| 8 | examine_state | varchar | 16 | 是 | 否 | 审核状态 |
| 9 | examine_reply | varchar | 16 | 否 | 否 | 审核回复 |
| 10 | create_time | datetime | 是 | 否 | 创建时间 | |
| 11 | update_time | timestamp | 是 | 否 | 更新时间 |
表 4-7-buyer_user(买家用户)
| 编号 | 字段名 | 类型 | 长度 | 是否非空 | 是否主键 | 注释 |
| 1 | buyer_user_id | int | 是 | 是 | 买家用户ID | |
| 2 | user_name | varchar | 64 | 否 | 否 | 用户姓名 |
| 3 | user_phone_number | varchar | 16 | 否 | 否 | 用户电话 |
| 4 | user_age | double | 否 | 否 | 用户年龄 | |
| 5 | user_gender | varchar | 64 | 否 | 否 | 用户性别 |
| 6 | credit_identification | varchar | 64 | 否 | 否 | 信用标识 |
| 7 | user_profile | text | 65535 | 否 | 否 | 用户简介 |
| 8 | examine_state | varchar | 16 | 是 | 否 | 审核状态 |
| 9 | user_id | int | 是 | 否 | 用户ID | |
| 10 | create_time | datetime | 是 | 否 | 创建时间 | |
| 11 | update_time | timestamp | 是 | 否 | 更新时间 |
表 4-8-cart(购物车)
| 编号 | 字段名 | 类型 | 长度 | 是否非空 | 是否主键 | 注释 |
| 1 | cart_id | int | 是 | 是 | 购物车ID | |
| 2 | title | varchar | 64 | 否 | 否 | 标题 |
| 3 | img | varchar | 255 | 是 | 否 | 图片 |
| 4 | user_id | int | 是 | 否 | 用户ID | |
| 5 | create_time | timestamp | 是 | 否 | 创建时间 | |
| 6 | update_time | timestamp | 是 | 否 | 更新时间 | |
| 7 | state | int | 是 | 否 | 状态:使用中,已失效 | |
| 8 | price | double | 是 | 否 | 单价 | |
| 9 | price_ago | double | 是 | 否 | 原价 | |
| 10 | price_count | double | 是 | 否 | 总价 | |
| 11 | num | int | 是 | 否 | 数量 | |
| 12 | goods_id | mediumint | 是 | 是 | 商品id | |
| 13 | type | varchar | 64 | 是 | 否 | 商品分类 |
| 14 | description | varchar | 255 | 否 | 否 | 描述 |
表 4-9-classification(产品分类)
| 编号 | 字段名 | 类型 | 长度 | 是否非空 | 是否主键 | 注释 |
| 1 | classification_id | int | 是 | 是 | 产品分类ID | |
| 2 | product_type | varchar | 64 | 否 | 否 | 产品类型 |
| 3 | create_time | datetime | 是 | 否 | 创建时间 | |
| 4 | update_time | timestamp | 是 | 否 | 更新时间 |
表 4-10-code_token(验证码)
| 编号 | 字段名 | 类型 | 长度 | 是否非空 | 是否主键 | 注释 |
| 1 | code_token_id | int | 是 | 是 | 验证码ID | |
| 2 | token | varchar | 255 | 否 | 否 | 令牌 |
| 3 | code | varchar | 255 | 否 | 否 | 验证码 |
| 4 | expire_time | timestamp | 是 | 否 | 失效时间 | |
| 5 | create_time | timestamp | 是 | 否 | 创建时间 | |
| 6 | update_time | timestamp | 是 | 否 | 更新时间 |
表 4-11-collect(收藏)
| 编号 | 字段名 | 类型 | 长度 | 是否非空 | 是否主键 | 注释 |
| 1 | collect_id | int | 是 | 是 | 收藏ID | |
| 2 | user_id | int | 是 | 是 | 收藏人ID | |
| 3 | source_table | varchar | 255 | 否 | 否 | 来源表 |
| 4 | source_field | varchar | 255 | 否 | 否 | 来源字段 |
| 5 | source_id | int | 是 | 否 | 来源ID | |
| 6 | title | varchar | 255 | 否 | 否 | 标题 |
| 7 | img | varchar | 255 | 否 | 否 | 封面 |
| 8 | create_time | timestamp | 是 | 否 | 创建时间 | |
| 9 | update_time | timestamp | 是 | 否 | 更新时间 |
表 4-12-comment(评论)
| 编号 | 字段名 | 类型 | 长度 | 是否非空 | 是否主键 | 注释 |
| 1 | comment_id | int | 是 | 是 | 评论ID | |
| 2 | user_id | int | 是 | 是 | 评论人ID | |
| 3 | reply_to_id | int | 是 | 否 | 回复评论ID | |
| 4 | content | longtext | 4294967295 | 否 | 否 | 内容 |
| 5 | nickname | varchar | 255 | 否 | 否 | 昵称 |
| 6 | avatar | varchar | 255 | 否 | 否 | 头像地址 |
| 7 | create_time | timestamp | 是 | 否 | 创建时间 | |
| 8 | update_time | timestamp | 是 | 否 | 更新时间 | |
| 9 | source_table | varchar | 255 | 否 | 否 | 来源表 |
| 10 | source_field | varchar | 255 | 否 | 否 | 来源字段 |
| 11 | source_id | int | 是 | 否 | 来源ID |
表 4-13-goods(商品信息)
| 编号 | 字段名 | 类型 | 长度 | 是否非空 | 是否主键 | 注释 |
| 1 | goods_id | mediumint | 是 | 是 | 产品ID | |
| 2 | title | varchar | 125 | 否 | 否 | 标题 |
| 3 | img | text | 65535 | 否 | 否 | 封面图:用于显示于产品列表页 |
| 4 | description | varchar | 255 | 否 | 否 | 描述 |
| 5 | price_ago | double | 是 | 否 | 原价 | |
| 6 | price | double | 是 | 否 | 卖价 | |
| 7 | sales | int | 是 | 否 | 销量 | |
| 8 | inventory | int | 是 | 否 | 商品库存 | |
| 9 | type | varchar | 64 | 是 | 否 | 商品分类 |
| 10 | hits | int | 是 | 否 | 点击量 | |
| 11 | content | longtext | 4294967295 | 否 | 否 | 正文 |
| 12 | img_1 | text | 65535 | 否 | 否 | 主图1 |
| 13 | img_2 | text | 65535 | 否 | 否 | 主图2 |
| 14 | img_3 | text | 65535 | 否 | 否 | 主图3 |
| 15 | img_4 | text | 65535 | 否 | 否 | 主图4 |
| 16 | img_5 | text | 65535 | 否 | 否 | 主图5 |
| 17 | create_time | timestamp | 是 | 否 | 创建时间 | |
| 18 | update_time | timestamp | 是 | 否 | 更新时间 | |
| 19 | customize_field | text | 65535 | 否 | 否 | 自定义字段 |
| 20 | source_table | varchar | 255 | 否 | 否 | 来源表 |
| 21 | source_field | varchar | 255 | 否 | 否 | 来源字段 |
| 22 | source_id | int | 是 | 否 | 来源ID | |
| 23 | user_id | int | 否 | 否 | 添加人 |
表 4-14-goods_type(商品类型)
| 编号 | 字段名 | 类型 | 长度 | 是否非空 | 是否主键 | 注释 |
| 1 | type_id | int | 是 | 是 | 商品分类ID | |
| 2 | father_id | smallint | 是 | 否 | 上级分类ID | |
| 3 | name | varchar | 255 | 否 | 否 | 商品名称 |
| 4 | desc | varchar | 255 | 否 | 否 | 描述 |
| 5 | icon | varchar | 255 | 否 | 否 | 图标 |
| 6 | source_table | varchar | 255 | 否 | 否 | 来源表 |
| 7 | source_field | varchar | 255 | 否 | 否 | 来源字段 |
| 8 | create_time | timestamp | 是 | 否 | 创建时间 | |
| 9 | update_time | timestamp | 是 | 否 | 更新时间 |
表 4-15-hits(用户点击)
| 编号 | 字段名 | 类型 | 长度 | 是否非空 | 是否主键 | 注释 |
| 1 | hits_id | int | 是 | 是 | 点赞ID | |
| 2 | user_id | int | 是 | 否 | 点赞人 | |
| 3 | create_time | timestamp | 是 | 否 | 创建时间 | |
| 4 | update_time | timestamp | 是 | 否 | 更新时间 | |
| 5 | source_table | varchar | 255 | 否 | 否 | 来源表 |
| 6 | source_field | varchar | 255 | 否 | 否 | 来源字段 |
| 7 | source_id | int | 是 | 否 | 来源ID |
表 4-16-idle_items(闲置物品)
| 编号 | 字段名 | 类型 | 长度 | 是否非空 | 是否主键 | 注释 |
| 1 | idle_items_id | int | 是 | 是 | 闲置物品ID | |
| 2 | product_type | varchar | 64 | 否 | 否 | 产品类型 |
| 3 | branding | varchar | 64 | 否 | 否 | 产品品牌 |
| 4 | degree | varchar | 64 | 否 | 否 | 新旧程度 |
| 5 | product_video | varchar | 255 | 否 | 否 | 商品视频 |
| 6 | seller_customers | int | 否 | 否 | 商品视频卖家用户 | |
| 7 | collect_len | int | 是 | 否 | 收藏数 | |
| 8 | comment_len | int | 是 | 否 | 评论数 | |
| 9 | cart_title | varchar | 125 | 否 | 否 | 标题:[0,125]用于产品html的标签中 |
| 10 | cart_img | text | 65535 | 否 | 否 | 封面图:用于显示于产品列表页 |
| 11 | cart_description | varchar | 255 | 否 | 否 | 描述:[0,255]用于产品规格描述 |
| 12 | cart_price_ago | double | 是 | 否 | 原价:[1] | |
| 13 | cart_price | double | 是 | 否 | 卖价:[1] | |
| 14 | cart_inventory | int | 是 | 否 | 商品库存 | |
| 15 | cart_type | varchar | 64 | 是 | 否 | 商品分类: |
| 16 | cart_content | longtext | 4294967295 | 否 | 否 | 正文:产品的主体内容 |
| 17 | cart_img_1 | text | 65535 | 否 | 否 | 主图1: |
| 18 | cart_img_2 | text | 65535 | 否 | 否 | 主图2: |
| 19 | cart_img_3 | text | 65535 | 否 | 否 | 主图3: |
| 20 | cart_img_4 | text | 65535 | 否 | 否 | 主图4: |
| 21 | cart_img_5 | text | 65535 | 否 | 否 | 主图5: |
| 22 | create_time | datetime | 是 | 否 | 创建时间 | |
| 23 | update_time | timestamp | 是 | 否 | 更新时间 |
表 4-17-logistics_delivery(物流配送)
| 编号 | 字段名 | 类型 | 长度 | 是否非空 | 是否主键 | 注释 |
| 1 | logistics_delivery_id | int | 是 | 是 | 物流配送ID | |
| 2 | order_number | varchar | 64 | 否 | 否 | 订单号 |
| 3 | product_name | varchar | 64 | 否 | 否 | 商品名称 |
| 4 | purchase_quantity | varchar | 64 | 否 | 否 | 购买数量 |
| 5 | total_transaction_amount | double | 否 | 否 | 交易总额 | |
| 6 | the_date_of_issuance | date | 否 | 否 | 发货日期 | |
| 7 | delivery_number | varchar | 30 | 否 | 否 | 配送订单 |
| 8 | ordinary_users | int | 否 | 否 | 普通用户 | |
| 9 | shipping_address | varchar | 64 | 否 | 否 | 收货地址 |
| 10 | delivery_status | varchar | 64 | 否 | 否 | 配送状态 |
| 11 | signing_status | varchar | 64 | 否 | 否 | 签收状态 |
| 12 | recommend | int | 是 | 否 | 智能推荐 | |
| 13 | contact_name | varchar | 255 | 否 | 否 | 联系人名字 |
| 14 | merchant_id | int | 否 | 否 | 商家id | |
| 15 | create_time | datetime | 是 | 否 | 创建时间 | |
| 16 | update_time | timestamp | 是 | 否 | 更新时间 |
表 4-18-notice(公告)
| 编号 | 字段名 | 类型 | 长度 | 是否非空 | 是否主键 | 注释 |
| 1 | notice_id | mediumint | 是 | 是 | 公告ID | |
| 2 | title | varchar | 125 | 是 | 否 | 标题 |
| 3 | content | longtext | 4294967295 | 否 | 否 | 正文 |
| 4 | create_time | timestamp | 是 | 否 | 创建时间 | |
| 5 | update_time | timestamp | 是 | 否 | 更新时间 |
表 4-19-order(订单)
| 编号 | 字段名 | 类型 | 长度 | 是否非空 | 是否主键 | 注释 |
| 1 | order_id | int | 是 | 是 | 订单ID | |
| 2 | order_number | varchar | 64 | 否 | 否 | 订单号 |
| 3 | goods_id | mediumint | 是 | 是 | 商品ID | |
| 4 | title | varchar | 255 | 否 | 否 | 商品标题 |
| 5 | img | varchar | 255 | 否 | 否 | 商品图片 |
| 6 | price | double | 是 | 否 | 价格 | |
| 7 | price_ago | double | 是 | 否 | 原价 | |
| 8 | num | int | 是 | 否 | 数量 | |
| 9 | price_count | double | 是 | 否 | 总价 | |
| 10 | norms | varchar | 255 | 否 | 否 | 规格 |
| 11 | type | varchar | 64 | 是 | 否 | 商品分类 |
| 12 | contact_name | varchar | 32 | 否 | 否 | 联系人姓名 |
| 13 | contact_email | varchar | 125 | 否 | 否 | 联系人邮箱 |
| 14 | contact_phone | varchar | 11 | 否 | 否 | 联系人手机 |
| 15 | contact_address | varchar | 255 | 否 | 否 | 收件地址 |
| 16 | postal_code | varchar | 9 | 否 | 否 | 邮政编码 |
| 17 | user_id | int | 是 | 否 | 买家ID | |
| 18 | merchant_id | mediumint | 是 | 否 | 商家ID | |
| 19 | create_time | timestamp | 是 | 否 | 创建时间 | |
| 20 | update_time | timestamp | 是 | 否 | 更新时间 | |
| 21 | description | varchar | 255 | 否 | 否 | 描述 |
| 22 | state | varchar | 16 | 是 | 否 | 订单状态 |
| 23 | remark | text | 65535 | 否 | 否 | 订单备注 |
| 24 | delivery_state | varchar | 16 | 否 | 否 | 发货状态:未配送,已配送 |
| 25 | vip_discount | double | 否 | 否 | 折扣 |
表 4-20-order_after_sale(订单售后)
| 编号 | 字段名 | 类型 | 长度 | 是否非空 | 是否主键 | 注释 |
| 1 | order_after_sale_id | int | 是 | 是 | 订单售后ID | |
| 2 | order_id | int | 是 | 否 | 订单ID | |
| 3 | order_number | varchar | 64 | 否 | 否 | 订单号 |
| 4 | goods_id | mediumint | 是 | 否 | 商品id | |
| 5 | title | varchar | 255 | 否 | 否 | 商品标题 |
| 6 | price | double | 是 | 否 | 价格 | |
| 7 | price_ago | double | 是 | 否 | 原价 | |
| 8 | num | int | 是 | 否 | 数量 | |
| 9 | price_count | double | 是 | 否 | 总价 | |
| 10 | user_id | int | 是 | 否 | 买家ID | |
| 11 | merchant_id | mediumint | 是 | 否 | 商家ID | |
| 12 | state | varchar | 16 | 是 | 否 | 订单状态:待付款,待发货,待签收,已签收,待退款,已退款,已拒绝,已完成 |
| 13 | after_state | varchar | 16 | 否 | 否 | 售后状态:未审核,未通过,已通过 |
| 14 | after_state_reply | varchar | 255 | 否 | 否 | 售后回复 |
| 15 | type | varchar | 255 | 否 | 否 | 售后类型 |
| 16 | content_desc | varchar | 255 | 否 | 否 | 售后内容 |
| 17 | imgs | varchar | 1000 | 否 | 否 | 售后凭证 |
| 18 | create_time | timestamp | 是 | 否 | 创建时间 | |
| 19 | update_time | timestamp | 是 | 否 | 更新时间 |
表 4-21-praise(点赞)
| 编号 | 字段名 | 类型 | 长度 | 是否非空 | 是否主键 | 注释 |
| 1 | praise_id | int | 是 | 是 | 点赞ID | |
| 2 | user_id | int | 是 | 是 | 点赞人 | |
| 3 | create_time | timestamp | 是 | 否 | 创建时间 | |
| 4 | update_time | timestamp | 是 | 否 | 更新时间 | |
| 5 | source_table | varchar | 255 | 否 | 否 | 来源表 |
| 6 | source_field | varchar | 255 | 否 | 否 | 来源字段 |
| 7 | source_id | int | 是 | 否 | 来源ID | |
| 8 | status | tinyint | 是 | 否 | 点赞状态:1为点赞,0已取消 |
表 4-22-schedule(日程管理)
| 编号 | 字段名 | 类型 | 长度 | 是否非空 | 是否主键 | 注释 |
| 1 | schedule_id | smallint | 是 | 是 | 日程ID | |
| 2 | content | varchar | 255 | 否 | 否 | 日程内容 |
| 3 | scheduled_time | datetime | 否 | 否 | 计划时间 | |
| 4 | user_id | int | 是 | 否 | 用户ID | |
| 5 | create_time | datetime | 否 | 否 | 创建时间 | |
| 6 | update_time | datetime | 否 | 否 | 更新时间 |
表 4-23-score(评分)
| 编号 | 字段名 | 类型 | 长度 | 是否非空 | 是否主键 | 注释 |
| 1 | score_id | int | 是 | 是 | 评分ID | |
| 2 | user_id | int | 是 | 否 | 评分人 | |
| 3 | nickname | varchar | 64 | 否 | 否 | 昵称 |
| 4 | score_num | double | 是 | 否 | 评分 | |
| 5 | create_time | timestamp | 是 | 否 | 创建时间 | |
| 6 | update_time | timestamp | 是 | 否 | 更新时间 | |
| 7 | source_table | varchar | 255 | 否 | 否 | 来源表 |
| 8 | source_field | varchar | 255 | 否 | 否 | 来源字段 |
| 9 | source_id | int | 是 | 否 | 来源ID |
表 4-24-sellers_real_name(卖家实名)
| 编号 | 字段名 | 类型 | 长度 | 是否非空 | 是否主键 | 注释 |
| 1 | sellers_real_name_id | int | 是 | 是 | 卖家实名ID | |
| 2 | seller_customers | int | 否 | 否 | 卖家用户 | |
| 3 | user_name | varchar | 64 | 否 | 否 | 用户姓名 |
| 4 | user_phone_number | varchar | 64 | 否 | 否 | 用户电话 |
| 5 | user_gender | varchar | 64 | 否 | 否 | 用户性别 |
| 6 | front_of_id_card | varchar | 255 | 否 | 否 | 身份证正面 |
| 7 | reverse_of_id_card | varchar | 255 | 否 | 否 | 身份证反面 |
| 8 | examine_state | varchar | 16 | 是 | 否 | 审核状态 |
| 9 | examine_reply | varchar | 16 | 否 | 否 | 审核回复 |
| 10 | create_time | datetime | 是 | 否 | 创建时间 | |
| 11 | update_time | timestamp | 是 | 否 | 更新时间 |
表 4-25-seller_customers(卖家用户)
| 编号 | 字段名 | 类型 | 长度 | 是否非空 | 是否主键 | 注释 |
| 1 | seller_customers_id | int | 是 | 是 | 卖家用户ID | |
| 2 | user_name | varchar | 64 | 否 | 否 | 用户姓名 |
| 3 | user_phone_number | varchar | 16 | 否 | 否 | 用户电话 |
| 4 | user_age | double | 否 | 否 | 用户年龄 | |
| 5 | user_gender | varchar | 64 | 否 | 否 | 用户性别 |
| 6 | credit_identification | varchar | 64 | 否 | 否 | 信用标识 |
| 7 | user_profile | text | 65535 | 否 | 否 | 用户简介 |
| 8 | examine_state | varchar | 16 | 是 | 否 | 审核状态 |
| 9 | user_id | int | 是 | 否 | 用户ID | |
| 10 | create_time | datetime | 是 | 否 | 创建时间 | |
| 11 | update_time | timestamp | 是 | 否 | 更新时间 |
表 4-26-slides(轮播图)
| 编号 | 字段名 | 类型 | 长度 | 是否非空 | 是否主键 | 注释 |
| 1 | slides_id | int | 是 | 是 | 轮播图ID | |
| 2 | title | varchar | 64 | 否 | 否 | 标题 |
| 3 | content | varchar | 255 | 否 | 否 | 内容 |
| 4 | url | varchar | 255 | 否 | 否 | 链接 |
| 5 | img | varchar | 255 | 否 | 否 | 轮播图 |
| 6 | hits | int | 是 | 否 | 点击量 | |
| 7 | create_time | timestamp | 是 | 否 | 创建时间 | |
| 8 | update_time | timestamp | 是 | 否 | 更新时间 |
表 4-27-upload(文件上传)
| 编号 | 字段名 | 类型 | 长度 | 是否非空 | 是否主键 | 注释 |
| 1 | upload_id | int | 是 | 是 | 上传ID | |
| 2 | name | varchar | 64 | 否 | 否 | 文件名 |
| 3 | path | varchar | 255 | 否 | 否 | 访问路径 |
| 4 | file | varchar | 255 | 否 | 否 | 文件路径 |
| 5 | display | varchar | 255 | 否 | 否 | 显示顺序 |
| 6 | father_id | int | 否 | 否 | 父级ID | |
| 7 | dir | varchar | 255 | 否 | 否 | 文件夹 |
| 8 | type | varchar | 32 | 否 | 否 | 文件类型 |
表 4-28-user(用户账户)
| 编号 | 字段名 | 类型 | 长度 | 是否非空 | 是否主键 | 注释 |
| 1 | user_id | int | 是 | 是 | 用户ID | |
| 2 | state | smallint | 是 | 否 | 账户状态:(1可用|2异常|3已冻结|4已注销) | |
| 3 | user_group | varchar | 32 | 否 | 否 | 所在用户组 |
| 4 | login_time | timestamp | 是 | 否 | 上次登录时间 | |
| 5 | phone | varchar | 11 | 否 | 否 | 手机号码 |
| 6 | phone_state | smallint | 是 | 否 | 手机认证:(0未认证|1审核中|2已认证) | |
| 7 | username | varchar | 16 | 是 | 否 | 用户名 |
| 8 | nickname | varchar | 16 | 否 | 否 | 昵称 |
| 9 | password | varchar | 64 | 是 | 否 | 密码 |
| 10 | | varchar | 64 | 否 | 否 | 邮箱 |
| 11 | email_state | smallint | 是 | 否 | 邮箱认证:(0未认证|1审核中|2已认证) | |
| 12 | avatar | varchar | 255 | 否 | 否 | 头像地址 |
| 13 | open_id | varchar | 255 | 否 | 否 | 针对获取用户信息字段 |
| 14 | create_time | timestamp | 是 | 否 | 创建时间 |
表 4-29-user_chat_friend(聊天用户好友)
| 编号 | 字段名 | 类型 | 长度 | 是否非空 | 是否主键 | 注释 |
| 1 | user_chat_friend_id | int | 是 | 是 | ID | |
| 2 | user_id | int | 是 | 否 | 用户ID | |
| 3 | friend_user_id | int | 是 | 否 | 用户好友ID | |
| 4 | friend_user_name | varchar | 255 | 否 | 否 | 好友名称 |
| 5 | create_time | timestamp | 是 | 否 | 创建时间 | |
| 6 | update_time | timestamp | 是 | 否 | 更新时间 |
表 4-30-user_chat_group(聊天用户群聊)
| 编号 | 字段名 | 类型 | 长度 | 是否非空 | 是否主键 | 注释 |
| 1 | user_chat_group_id | int | 是 | 是 | ID | |
| 2 | group_id | int | 否 | 否 | 群聊ID | |
| 3 | group_name | varchar | 255 | 否 | 否 | 群聊名称 |
| 4 | user_id | int | 否 | 否 | 用户ID | |
| 5 | create_time | timestamp | 是 | 否 | 创建时间 | |
| 6 | update_time | timestamp | 是 | 否 | 更新时间 |
表 4-31-user_chat_read(聊天用户消息)
| 编号 | 字段名 | 类型 | 长度 | 是否非空 | 是否主键 | 注释 |
| 1 | user_chat_read_id | varchar | 255 | 是 | 是 | ID |
| 2 | user_id | int | 否 | 否 | 接收人ID | |
| 3 | send_user_id | int | 否 | 否 | 发送人ID | |
| 4 | group_id | int | 否 | 否 | 群聊ID | |
| 5 | type | int | 否 | 否 | 类型1-点对点消息,2-群聊消息 | |
| 6 | create_time | timestamp | 否 | 否 | 时间 | |
| 7 | message | text | 65535 | 否 | 否 | 消息 |
表 4-32-user_group(用户组)
| 编号 | 字段名 | 类型 | 长度 | 是否非空 | 是否主键 | 注释 |
| 1 | group_id | mediumint | 是 | 是 | 用户组ID | |
| 2 | display | smallint | 是 | 否 | 显示顺序 | |
| 3 | name | varchar | 16 | 是 | 否 | 名称 |
| 4 | description | varchar | 255 | 否 | 否 | 描述 |
| 5 | source_table | varchar | 255 | 否 | 否 | 来源表 |
| 6 | source_field | varchar | 255 | 否 | 否 | 来源字段 |
| 7 | source_id | int | 是 | 否 | 来源ID | |
| 8 | register | smallint | 否 | 否 | 注册位置 | |
| 9 | create_time | timestamp | 是 | 否 | 创建时间 |
5系统实现
5.1买家用户功能实现
5.1.1用户注册
用户注册:输入账号、设置密码、确认密码、昵称、邮箱、选择用户身份、用户姓名、用户性别、用户手机等用户个人信息,点击注册按钮进行注册,用户注册界面如下图所示。
图5-1用户注册界面图
5.1.2用户登录
用户登录:输入用户名跟密码点击登录按钮,校验通过后即可登录,用户登录界面如下图所示。

图5-2用户登录界面图
5.1.3二手资讯
平台提供关于二手物品市场的最新资讯、市场趋势、购买建议等内容,帮助买家获取有价值的行业信息。买家可以对资讯文章进行点赞,表示对有用内容的认同,并通过收藏功能保存感兴趣的文章,便于日后查看。评论功能允许买家与其他用户互动,分享看法和经验,这增加了平台的互动性和用户的参与感。二手资讯界面如下图所示。

图5-3二手资讯界面图
5.1.4闲置物品
在平台上,买家可以浏览不同类别的闲置物品,找到自己需要的商品。买家可以通过点击在线购买直接购买商品,或者将商品加入购物车,方便稍后再做决定。买家还可以对商品进行点赞和收藏,表示对商品的喜爱,同时在商品页面上可以留下评论,分享自己对商品的评价和使用体验。闲置物品界面如下图所示。

图5-4闲置物品界面
5.1.5我的购物车
用户可以管理购物车中的商品,支持添加、删除和修改商品数量。购物车功能使用户能够方便地进行多件商品的选择和结算,提升购物的灵活性。我的购物车主界面图如下所示。

图5-5我的购物车主界面设计
5.1.6我的订单
用户可以查看自己的历史订单,包括订单状态、商品详情和支付信息。此功能帮助用户跟踪订单进度,处理订单的取消和售后服务,增强用户的购物安全感。我的订单主界面图如下所示。

图5-6我的订单主界面设计
5.1.7我的地址
用户可以管理自己的收货地址,确保送达时的准确性。支持新增、修改、删除收货地址。我的地址主界面图如下所示。

图5-7我的地址主界面设计
5.2管理员功能实现
5.2.1系统用户
在“系统用户”模块下,管理员可以管理平台上的用户。管理员可以进行用户的增、删、改、查操作,包括设置权限、修改用户信息等。系统用户管理界面如下图所示。

图5-8系统用户界面
5.2.2系统管理
系统管理:可以查看轮播图详情,以及查询、重置、删除、添加等操作。系统管理界面如下图所示。

图5-9系统管理界面
5.2.3系统公告管理
管理员可以发布网站公告,管理员还可以编辑、删除或修改已发布的公告,确保公告内容的时效性和准确性。公告消息管理界面所示。

图5-10系统公告管理界面
5.2.4资源管理
资源管理模块主要分为二手资讯和资讯分类,在二手资讯部分,管理员可以发布新的新闻,输入标题、内容和图片等信息,管理员也能够对已有的新闻进行编辑,并删除过时或不相关的新闻。此外,管理员可以浏览所有二手资讯,了解用户的阅读偏好和关注点。在资讯分类方面,管理员可以创建、编辑和删除资讯分类,资源管理界面所示。

图5-11二手资讯界面

图5-12资讯分类界面
5.2.4商城管理
管理员需要对平台中的闲置物品、商品列表、订单管理等进行整体把控。可以查看平台内所有商品的展示情况,审核商品信息的准确性,管理商品的上下架。对于订单管理,管理员可以查看订单的处理状态,跟踪订单的配送情况。商城管理界面所示。

图5-13商城管理界面

图5-14分类列表界面
5.3卖家功能实现
5.3.1实名认证
卖家必须完成实名认证,确保交易安全和平台的可信度。卖家实名管理界面如下图所示。

图5-15卖家实名界面
5.3.2商城管理
卖家用户在平台上可以进行一系列管理操作,包括发布、编辑和删除闲置物品,管理商品信息如标题、价格和库存;通过分类列表管理功能,卖家能够优化商品展示,提升用户体验。卖家还可以查看和处理所有订单,更新订单状态,并确认配送信息,跟踪订单的配送情况。
商城管理界面如下图所示。

图5-16商城管理界面
6系统测试
6.1系统测试目的
测试是为了验证闲置物品交易平台的设计与实现在功能、性能、安全性和用户体验等方面的表现。通过测试,可以发现并修复潜在的问题和缺陷,确保系统的正常运行和稳定性。功能验证确保各项功能按设计要求运行;性能评估评估系统的响应时间和并发处理能力;安全检测确保系统的身份认证和数据传输安全;用户体验评估提升界面友好性和操作流程;兼容性测试确保系统在不同设备和浏览器上的兼容性。通过全面的测试,系统将更可靠地支持管理员工作,并提供优质的用户体验。
6.2系统功能测试
通过对系统中所含的主要实体对象及其功能操作进行测试用例设计。以下是详细的测试:
用户功能测试:
表6-1 用户功能测试表
| 功能模块 | 测试项 | 测试目的 | 测试结果 |
| 首页 | 商品展示 | 确保商品展示正常 | 合格 |
| 公告信息 | 查看公告 | 确保公告正常显示 | 合格 |
| 二手资讯 | 点赞功能 | 确保点赞功能正常 | 合格 |
| 实时聊天 | 发送聊天 | 确保聊天功能正常 | 合格 |
| 闲置物品 | 商品搜索 | 确保搜索功能正常 | 合格 |
| 我的购物车 | 商品添加与删除 | 确保购物车操作正常 | 合格 |
| 我的订单 | 查看订单状态 | 确保订单状态正确 | 合格 |
| 我的地址 | 添加和编辑地址 | 确保地址管理正常 | 合格 |
| 个人账户 | 账户信息修改 | 确保账户信息修改正常 | 合格 |
| 订单配送 | 查看配送状态 | 确保配送信息更新 | 合格 |
| 收藏 | 商品收藏 | 确保收藏功能正常 | 合格 |
| 评论管理 | 查看和删除评论 | 确保评论管理正常 | 合格 |
表6-2 管理员功能测试表
| 功能模块 | 测试项 | 测试目的 | 测试结果 |
| 后台首页 | 销售数据图表展示 | 确保数据展示正确 | 合格 |
| 系统用户 | 用户账户管理 | 确保用户管理功能正常 | 合格 |
| 系统管理(轮播图) | 上传、编辑、删除轮播图 | 确保轮播图操作正常 | 合格 |
| 公告信息管理 | 发布、编辑、删除公告 | 确保公告管理正常 | 合格 |
| 实名管理 | 审核实名信息 | 确保实名管理正常 | 合格 |
| 资源管理 | 添加、编辑、删除二手资讯 | 确保资讯管理功能正常 | 合格 |
| 商城管理 | 添加、修改、删除商品 | 确保商品管理正常 | 合格 |
| 商城管理 | 管理商品分类 | 确保分类管理正常 | 合格 |
| 商城管理 | 查看订单和配送状态 | 确保订单管理正常 | 合格 |
| 实名管理 | 添加实名信息 | 确保实名管理功能正常 | 合格 |
| 商城管理 | 添加、修改、删除商品 | 确保商品管理正常 | 合格 |
| 商城管理 | 管理商品分类 | 确保分类管理正常 | 合格 |
| 商城管理 | 查看订单和配送状态 | 确保订单管理正常 | 合格 |
6.3测试结果总结
经过上述测试,并对测试数据结果综合分析。闲置物品交易平台具备简便,数据透明等特性。完全符合闲置物品交易平台的要求。
本项目通过采用Spring Boot框架,结合Vue.js前端技术和MySQL数据库,成功实现了闲置物品交易平台的设计与开发。通过这一平台,用户能够方便地浏览特产商品,查看详细信息,并进行在线购买,系统还实现了商品的搜索、筛选等功能,以提升用户体验。用户账户管理和订单管理模块的设计,使得用户可以轻松管理个人资料、查看订单状态、跟踪物流信息。同时,商城的支付功能也提供了安全便捷的支付方式,确保了交易的顺利进行。系统管理部分,管理员能够高效地管理商品、订单、用户以及相关的二手资讯,并且通过后台管理系统方便地发布公告、更新轮播图,提升了商城的活跃度和信息流通效率。此外,商城还加入了多种智能化服务,例如商品评价管理和推荐系统,增强了平台的互动性和用户粘性。
通过系统的测试和应用,可以看出该商城平台在性能和稳定性上都表现优异,能承载一定量的并发访问和交易请求,保证了用户体验的流畅性。整体系统架构清晰,功能全面,且具备较强的可扩展性,能够适应未来需求的变化。这一项目不仅为昭通地方特产提供了更为广阔的市场空间,也为地方经济的数字化转型贡献了力量,具有广阔的应用前景和社会价值。
- 余波.基于SpringBoot的高职院校竞赛管理系统研究[J].九江学院学报(自然科学版),2024,39(04):70-74+113.DOI:10.19717/j.cnki.jjun.2024.04.017.
- 刘涛.基于SpringBoot的实验室预约排课系统的设计与实现[J].办公自动化,2024,29(23):90-92.
- 谢帅虎.基于Java语言的翻页功能接口程序设计与实现[J].数字通信世界,2024,(11):92-94.
- 贾琴.Java编程语言的应用策略分析[J].集成电路应用,2024,41(10):84-85.DOI:10.19339/j.issn.1674-2583.2024.10.034.
- 皮磊.闲置物品交易平台有效带动消费端碳减排[N].公益时报,2024-08-20(014). DOI:10.28297/n.cnki.ngysp.2024.000187.
- 李彦伶.二手闲置物品交易之路如何行稳致远?[N].各界导报,2024-06-25(002). DOI:10.28265/n.cnki.ngjdb.2024.000845.
- Liu H .Comparative Application of Teaching Methods in C Language and JAVA Programming Courses[J].International Journal of New Developments in Education,2024,6(1):
- 许舟洋,刘博宇.校园闲置物品捐赠和销售平台设计[J].现代计算机,2024,30(02):92-97.
- Kan S ,Gao Y ,Zhong Z , et al.Cross-Language Taint Analysis: Generating Caller-Sensitive Native Code Specification for Java[J].IEEE Transactions on Software Engineering,2024,50(6):1518-1533.
- 张皓,闫宁,崔春雨,等.基于微服务架构的高校闲置物品交易平台[J].电脑知识与技术,2023,19(29):63-66.DOI:10.14004/j.cnki.ckt.2023.1527.
- 李爽.高校闲置物品交易系统的设计与实现[J].产业与科技论坛,2023,22(15):34-35.
- 彭嘉怡,袁楠楠,尹鲲龙,等.大学生闲置物品交易互助微信小程序设计与开发[J].中国新技术新产品,2022,(18):37-40.DOI:10.13612/j.cnki.cntp.2022.18.016.
- 赵冰,刘星含,杨泰森,等.基于微信小程序的校园二手闲置物品交易平台的设计与实现[J].电脑知识与技术,2022,18(21):64-66.DOI:10.14004/j.cnki.ckt.2022.1254.
- 卞学成,吴伟伟,石铭,等.“互联网+”背景下社区闲置物品交易平台构建[J].电脑知识与技术,2022,18(14):40-41+44.DOI:10.14004/j.cnki.ckt.2022.0829.
- 孙蔚.让消费者交易闲置物品更放心[N].中国消费者报,2022-03-15(034). DOI:10.28867/n.cnki.nxfzb.2022.000580.
- 杨博闻.前后端分离的校园闲置物品交易平台开发[J].福建电脑,2022,38(02):90-92.DOI:10.16707/j.cnki.fjpc.2022.02.021.
- 赵永师,VDTS多商户商城系统.山西省,运城市恩光科技有限公司,2023-06-01.
- 李亚君.基于SSM框架的B2C电子商城系统的设计与实现[D].合肥工业大学,2022.DOI:10.27101/d.cnki.ghfgu.2022.000313.
- 温学琴,乌兰木伦精选商城在线下单平台V1.0.内蒙古自治区,鄂尔多斯市晴天科技有限公司,2022-08-24.
- 徐超.基于协同过滤的智能推荐商城系统的设计与实现[D].南昌大康娇兰.
在完成闲置物品交易平台的研究中,我想要向所有支持和帮助过我的人致以诚挚的感谢。首先,感谢我的家人,是你们默默的付出和支持,让我有了安心学习的环境和坚定追求梦想的勇气。其次,感谢我的同学和朋友,在我学习和工作中给予我无尽的支持和理解,他们的陪伴和鼓励是我不断前行的动力源泉, 是他们在学习过程中对我的帮助和鼓励,让我感受到集体的力量和友情的温暖,让我不再感到迷茫和孤单。其次,感谢我的导师,导师在学术和职业道路上给予我宝贵的指导和建议,让我不断成长和进步,使我更加懂得谦逊和坚韧。没有指导老师耐心指导,悉心教诲,就不会有我在学术研究上的进步。您们的支持和鼓励是我前行的动力和勇气,让我在追求梦想的路上永不停步。无论遇到怎样的困难和挑战,我都会倍加珍惜这份支持和鼓励,更加努力学习,不负众望,不负时光。再次衷心感谢您们!
103

被折叠的 条评论
为什么被折叠?



