推荐系统-用户标签预测算法基础实践
1.用户画像概述
- 用户画像就是给到用户打标签
- 用户画像
- 用户角色
- 用户属性
- 用户画像和用户角色较为接近,而用户属性使用户的画像中的子集
- 用户画像阶段
- 1.用户画像基础
- 2.用户画像指标体系
- 3.标签数据存储方式
- 4.标签数据开发
- 5.性能优化及作业调度
- 6.用户画像应用及优化
- 用户画像基础场景用
- 搜索领域
- 个性化推荐领域
- 其他领域
- 个人征信数据数据特征
- 身份属性
- 履约能力
- 信用记录
- 社交资料
- 公共记录信息
- 网站流量指标分析
- 网站流量统计指标包括
- 独立访问者数量(UV)
- 重复访问者数量(RV)
- 页面浏览数(PV)
- 每个访问者的页面浏览数(Page Views per user)
- 某些具体文件/页面的统计指标 , 如页面显示次数 , 文件下载次数等
- 用户行为指标
- 用户在网站停留时间
- 用户来源
- 用户所使用的搜索引擎及其关键词
- 在不同时段的用户访问量情况等
- 用户浏览网站的方式
- 时间 , 设备 , 浏览器名称和版本 , 操作系统等
- 用户浏览网站的方式相关统计指标主要包括
- 用户上网设备类型
- 用户浏览器的名称和版本
- 访问者电脑分辨率显示模式
- 用户所使用的操作系统名称和版本
- 用户所在地理区域分布状况等
- 提高网站流量的方法
- 通过互刷软件
- 通过广告联盟
- 通过友情链接
- 网站流量统计指标包括
2.常见用户画像业务分析指标
- 以电商为例展开
- 电商总总体运营指标
- 流量类指标
- 独立访客数(UV)
- 页面访问数(PV)
- 人均页面访问数
- 订单产生效率指标
- 总订单数量
- 访问到下单转化率
- 总体销售业绩指标
- 成交金额(GMV)
- 销售金额
- 客单价
- 整体指标
- 销售毛利
- 毛利率
- 流量类指标
- 网站流量指标
- 流量规模类指标
- 独立访客数(UV)
- 页面访问数(PV)
- 流量成本类指标
- 访客获取成本
- 流量质量类指标
- 跳出率 : 为浏览单页即退出的次数/该页访问次数,跳出率只能衡量该页做为着陆页面(LandingPage)的访问。
- 页面访问时长
- 人均页面访问数
- 会员类指标
- 注册会员数
- 活跃会员数
- 活跃会员率
- 会员复购率
- 会员平均购买次数
- 会员回购率
- 会员留存率 : 留存率反应的是电商留住会员的能力。
- 流量规模类指标
- 网站销售指标
- 购物车类指标
- 基础类统计
- 加入购物车次数
- 加入购物车买家数
- 加入购物车买家数
- 加入购物车商品数
- 转化类统计
- 购物车支付转化率
- 基础类统计
- 下单类指标
- 基础类统计
- 下单笔数
- 下单金额
- 下单买家数
- 转化类统计
- 浏览下单转化率
- 基础类统计
- 支付类指标
- 基础类统计
- 支付金额
- 支付买家数
- 支付商品数
- 转化类统计
- 浏览-支付买家转化率
- 下单-支付金额转化率
- 下单-支付买家数转化率
- 下单-支付时长
- 基础类统计
- 交易类指标
- 成功类统计
- 交易成功订单数
- 交易成功金额
- 交易成功买家数
- 交易成功商品数
- 失败类统计
- 交易失败订单数
- 交易失败订单金额
- 交易失败订单买家数
- 交易失败商品数
- 退款类统计
- 退款总订单量
- 退款金额
- 退款率
- 成功类统计
- 购物车类指标
- 客户价值类指标
- 客户指标
- 累计购买客户数
- 客单价
- 新客户指标
- 新客户数量
- 新客户获取成本
- 新客户客单价
- 老客户指标
- 消费频率
- 最近一次购买时间
- 消费金额
- 重复购买率
- 客户指标
- 商品类指标
- 产品总数指标
- SKU数 : SKU是物理上不可分割的最小存货单位。
- SPU数 : 属性值、特性相同的商品就可以称为一个SPU。
- 在线SPU数 : 在线商品的SPU数
- iphone5S是一个SPU,而iPhone 5S配置为16G版、4G手机、颜色为金色、网络类型为TD-LTE/TD-SCDMA/WCDMA/GSM则是一个SKU。
- 产品优势性指标
- 独家产品收入比重 : 独家销售的产品收入占总销售收入的比例
- 品牌存量
- 品牌数
- 在线品牌数
- 上架
- 上架商品SKU数
- 上架商品SPU数
- 上架在线SPU数
- 上架商品数
- 上架在线商品数
- 首发
- 首次上架商品数
- 首次上架在线商品数
- 产品总数指标
- 市场竞争类的指标
- 市场营销活动指标
- 新增访问人数
- 新增注册人数
- 总访问次数
- 订单数量
- 下单转化率
- ROI : 投资回报率(ROI)是指,某一活动期间,产生的交易金额与活动投放成本金额的比值。
- 广告投放指标
- 新增访问人数
- 新增注册人数
- 总访问次数
- 订单数量
- UV订单转化率
- 广告投资回报率
- 风控类指标
- 买家评价指标
- 买家评价数
- 买家评价卖家数
- 买家评价上传图片数
- 买家评价率
- 买家好评率
- 买家差评率
- 投诉指标
- 发起投诉(申诉)数
- 投诉率
- 撤销投诉(申诉)数
- 买家评价指标
- 市场竞争类指标
- 市场份额相关
- 市场占有率
- 市场扩大率
- 用户份额
- 网站排名
- 交易额排名
- 流量排名
- 市场份额相关
- 市场营销活动指标
- 电商总总体运营指标
3.如何利用用户行为数据
-
用户的静态数据–mysql
-
用户的动态数据–浏览、加购、收藏等
-
标签形态及标签建模
- 标签 : 表征了内容,用户对该内容有兴趣、偏好、需求等等。
- 权重 : 表征了指数,用户的兴趣、偏好指数,也可能表征用户的需求度,可以简单的理解为可信度,概率。
- 权重—时间衰减因子,地点因子,是购购买
- 数据建模方法: 标签=用户标识 + 时间 + 行为类型 + 接触点(网址+内容)的聚合
-
算法路线及算法思路:
- 用户画像+推荐系统===利用机器学习
-
标签层级
- 用户+商品+环境
-
属性的显隐性反馈
4.如何利用用户标签数据
- 当有了标签之后如何使用?
- 在页面中设置依稀标签选项
- 如何推荐标签?
- 基于物品的热门商品推荐
- 基于当前浏览物品的热门商品推荐
- 基于内容的相似度推荐(经常使用标签)
5.用户画像建模分类
- 如何对用户画像建模?
- 定性
- 定量建立模型
- 用户画像打的哪几类标签:?
- 统计类标签-pv
- 规则类标签-近30天活跃度(规则)
- 挖掘类(机器学习算法构建)
6.决策树引入
- 决策树----类似树的概念
- 树—现实生活中树结构–树根–树干—树枝—树叶
- 数据结构中树:根节点—分支节点-----叶子结点
- 机器学习中的树:分支节点----叶子节点
- 分支节点:由特征充当
- 叶子节点:由类别标签列的取值充当
7.电商实例引入详解
- 通过对数据集的简单描述强化数据集的构成
- 基于规则建树
- 规则建立
- 选择特征充当分支节点 , 类别标签充当叶子节点
- 依照特征或属性出现的顺序指定规则 , 建立决策树
- 首先选择年龄、收入、学生、信誉依次构建决策树
- 根据决策树可以对部分节点进行剪枝,使得决策树变得更加简单
- 根据决策树回答业务决策问题
- 根据已有的特征对决策树进行分类
- 如果中年人直接推荐商品(给业务人员决策)
- 优化 : 基于模型的建树
8.构建决策树三要素
- 特征选择:选择有较强分类能力的特征 . 如何选择特征?依靠信息熵、信息增益、 信息增益率等进行特征选择
- 决策树生成:决策树生成依赖于特征选择,ID3采用信息增益作为特征选择度量,信息增益率作为C4.5算法的特征选择,Gini系数组成Cart树算法
- 决策树剪枝:先剪枝(树生成之前或过程中进行剪枝)和后剪枝(树生长完成之后进行剪枝)
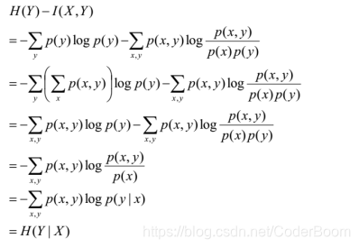
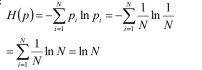
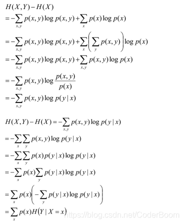
9.熵和信息熵详解
- 熵:物理学上,用于能量的分布的均匀性
- 信息熵:信息论上,用于消除信息的不确定性
- 信息熵:首先定义一个不确定性函数
I(x)=plog(1/p),对不确定性函数求解期望,期望就是E(x)=-sum(xlog(x)) - 信息熵越大,信息的不确定性越大,信息的确定性越小,信息的纯度越低
- 信息熵越小,信息的不确定性越小,信息的确定性越大,信息的纯度越高
- 如果用于决策树的分支,优先选择信息熵小的值作为分支节点,构建决策树。
- 概念学习系统使用信息熵
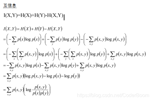
10.信息增益与ID3算法详解
- 信息增益:信息获取量 === >
Gain(A) = Info(D)-Info_A(D) - 以A节点作为分支节点的信息增益=总体的信息熵-以A节点作为分支节点的信息熵
- 总体信息熵是求类别标签的信息熵 , 特征的信息熵是在类别标签条件下的信息熵
- 信息增益越大,信息熵越小,信息的不确定性越小,信息的确定性越大,信息的纯度越高
- 信息增益越小,信息熵越大,信息的不确定性越大,信息的确定性越小,信息的纯度越低
- 优先选择信息增益较大的特征作为分支节点
- ID3算法:属于决策树的生成算法
- 输入:样本的集合,属性的集合
- 输出:ID3决策树
- 算法步骤:
- 1.如果所有的属性都处理完毕,直接返回,否则继续下一步
- 2.计算所有的特征的信息增益,选择信息增益较大的值对应的特征作为分支节点
- 3.从剩余的属性中选择次信息增益较大的值对应的特征继续分类,直到满足停止条件,递归构建决策树
- 算法停止迭代的条件:
- 如果样本均分类,就停止迭代
- 如果没有属性被用于进一步划分,停止迭代
- 如果达到指定的迭代次数,停止迭代
- 如果达到设定的树的深度,停止迭代
- 如果叶子节点包含的样本个数达到指定阈值,也停止迭代
- 如果分支节点包含的样本个数达到指定的阈值,也停止迭代
- 如果最大不纯度下降小于a的时候,停止迭代
- 电商购买数据集案例:
- Gain(age)=info(D)-info(age)
11.决策树其他优化算法
- C4.5算法—使用信息增益率—在信息的增益基础上增加了信息熵作为分母进行对比
- 信息增益率 : Gainr(A) = Gain(A)/H(A) (H(A)即A的信息熵)
- Cart树算法—分类和回归算法-----利用Gini系数
- 所有的决策树都是贪心算法 , 自上而下 ; 区别 : 属性选择度量方法不同
-
贪心算法:顾名思义,贪心算法总是作出在当前看来最好的选择。也就是说贪心算法并不从整体最优考虑,它所作出的选择只是在某种意义上的局部最优选择。
无论哪种方法构建树,因为树的构建过程是递归形式的,所以有可能出现树的过拟合情况
12.树剪枝详解
-
先剪枝(较多)
- 在树的生长过程中进行剪枝
- 如果没有属性被用于进一步划分,停止迭代
- 如果达到指定的迭代次数,停止迭代
- 如果达到设定的树的深度,停止迭代
- 如果叶子节点包含的样本个数达到指定阈值,也停止迭代
- 如果分支节点包含的样本个数达到指定的阈值,也停止迭代
- 如果最大不纯度下降小于a的时候,停止迭代
- 在树的生长过程中进行剪枝
-
后剪枝
- 在决策树生长完成后进行剪枝
- 利用MEP最小错误率剪枝技术进行剪枝
- 利用叶子结点替换子树
- 利用分支中常出现的子树替换原子树
-
剪枝系数(了解)
- 定义决策树的损失函数
- C(X)=SUM(Ni*H(x))
- Ni叶子节点的个数 , H(x)叶子节点的熵
- alpha为剪枝系数,剪枝系数越小越好,选择不同的alpha
- 定义决策树的损失函数
-
剪枝算法

-
决策树算法的优点
- 直观,便于理解,小规模数据集有效
- 执行效率高,执行只需要一次构建,可反复使用
-
决策树算法的缺点
- 处理连续变量不好,较难预测连续字段
- 类别较多时,错误增加的比较快
- 对于时间序列数据需要做很多的预处理
- 规模性一般
- 实际分类的时候只能根据一个字段进行
-
决策树算法处理连续值
- 连续值的处理:由于连续属性的可取值数目不在有限,因此,不能直接根据连续属性的取值对结点进行划分。此时,我们采用连续值离散化的技术,最简单的是采用二分法(将样本的属性取值从大到小排序,找一个划分点将样本集分成两个子集,大于划分点的集合是决策树的一个分支,小于划分点的是决策树的一个分支)对连续属性进行处理,这也是C4.5算法采用的策略。
13.电商案例ID3算法实例详解
- 电商数据集1024样本,每个特征具体取值的概率清楚
- 求解特征的信息增益=总体信息熵-以划分节点作为分支节点的信息熵
- 求解最大的信息增益值,作为分支节点,依次选择最大的信息增益值
- 比之前绘制的基于规则建树,简化了许多
- 决策树算法能够选择最重要的特征---------信息增益
ID3步骤图解如下



总结 : 根据信息熵和信息增益得到的决策树和之前利用自己制定规则得到的决策树,有明显的不同,因此,利用信息熵和信息增益可以得到分类效果更优的决策树。
14.决策树解决电商数据预测购买及补充问题
- 通过skleran实战
- 数据准备
- 数据处理
- 数据切分
- 准备算法
- 训练模型
- 模型预测
- 模型校验
- 模型保存
- 模型决策树可视化—export-graphviz
- 完整代码展示
import pandas as pd
#1.导入数据、
buyData=pd.read_csv("buy.csv",sep=",")
print(buyData)
# age income student credit_rating Class:buy_computer
# 0 1 3 0 1 0
# 1 1 3 0 0 0
# 2 2 3 0 1 1
# 3 3 2 0 1 1
# 4 3 1 1 1 1
# 5 3 1 1 0 0
# 6 2 1 1 0 1
# 7 1 2 0 1 0
# 8 1 1 1 1 0
# 9 3 2 1 1 1
# 10 1 2 1 0 1
# 11 2 2 0 0 1
# 12 2 3 1 1 1
# 13 3 2 0 0 0
print(buyData.shape)#(14, 5)
print(buyData.ndim) #2
# print(buyData.dtype)
print(buyData.info())
# RangeIndex: 14 entries, 0 to 13
# Data columns (total 5 columns):
# age 14 non-null int64
# income 14 non-null int64
# student 14 non-null int64
# credit_rating 14 non-null int64
# Class:buy_computer 14 non-null int64
# dtypes: int64(5)
# memory usage: 640.0 bytes
print(buyData.head())
# age income student credit_rating Class:buy_computer
# 0 1 3 0 1 0
# 1 1 3 0 0 0
# 2 2 3 0 1 1
# 3 3 2 0 1 1
# 4 3 1 1 1 1
print(buyData.index) #RangeIndex(start=0, stop=14, step=1)
print(buyData.columns)
#Index(['age', 'income', 'student', 'credit_rating', 'Class:buy_computer'], dtype='object')
#2.数据处理
X=buyData.drop(labels="Class:buy_computer",axis=1)
y=buyData["Class:buy_computer"]
#3.特征工程
#数据集切分
from sklearn.model_selection import train_test_split
X_train,X_test,y_train,y_test=train_test_split(X,y,random_state=22,test_size=0.2)
# print(X_train.shape)
# print(X_test.shape)
# print(y_train.shape)
# print(y_test.shape)
#4.建立决策树模型
from sklearn.tree import DecisionTreeClassifier
dtc=DecisionTreeClassifier(criterion="entropy",max_depth=6,min_samples_leaf=2)#超参数
dtc.fit(X_train,y_train)
#5.模型预测
y_pred=dtc.predict(X_test)
print(y_pred) #[0 1 1]
#6.模型校验
print("model in trainset score is %.2f"%(dtc.score(X_train,y_train)))

本文探讨了用户画像在推荐系统中的应用,介绍了用户标签预测算法的基础实践,包括用户画像的构建、指标体系、存储与开发,以及性能优化。深入解析了决策树算法,涵盖了信息熵、信息增益、ID3算法原理与实战,展示了如何利用决策树解决电商数据预测购买问题。
最低0.47元/天 解锁文章
2734





