LeetCode:环形链表II

LeetCode环形链表II解题方法

1、题目描述

给定一个链表的头节点  head ,返回链表开始入环的第一个节点。 如果链表无环,则返回 null

如果链表中有某个节点,可以通过连续跟踪 next 指针再次到达,则链表中存在环。 为了表示给定链表中的环,评测系统内部使用整数 pos 来表示链表尾连接到链表中的位置(索引从 0 开始)。如果 pos 是 -1,则在该链表中没有环。注意:pos 不作为参数进行传递,仅仅是为了标识链表的实际情况。

不允许修改 链表。

示例 1:

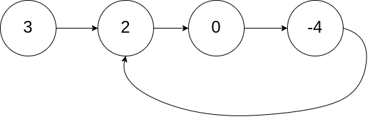
输入:head = [3,2,0,-4], pos = 1
输出:返回索引为 1 的链表节点
解释:链表中有一个环,其尾部连接到第二个节点。

示例 2:

输入:head = [1,2], pos = 0
输出:返回索引为 0 的链表节点
解释:链表中有一个环,其尾部连接到第一个节点。

示例 3:

输入:head = [1], pos = -1
输出:返回 null
解释:链表中没有环。

提示:

  • 链表中节点的数目范围在范围 [0, 104] 内

  • -105 <= Node.val <= 105

  • pos 的值为 -1 或者链表中的一个有效索引

进阶:你是否可以使用 O(1) 空间解决此题?

2、方法1:哈希集合

解题思路

  1. 初始化哈希集合:创建一个 HashSet 来存储已经访问过的节点引用(地址)。

  2. 遍历链表

    • 从链表头节点 head 开始,依次访问每个节点。

    • 对于当前节点 head

      • 如果 head 已经存在于 HashSet 中

        • 说明该节点是入环的第一个节点,直接返回该节点。

      • 如果 head 不在 HashSet 中

        • 将该节点加入 HashSet,表示已经访问过。

        • 移动 head 指针到下一个节点(head = head.next)。

  3. 遍历结束

    • 如果 head 移动到 null,说明链表无环,返回 null

关键点

  • 哈希集合存储的是节点引用(地址),可以正确处理链表中有重复值的情况。

  • 时间复杂度:O(n),需要遍历整个链表。

  • 空间复杂度:O(n),最坏情况下需要存储所有节点。

//使用hashSet解题,第一次当判断set集合中存在该节点的时候,就是环的入口节点,也证明有环
    public static ListNode isCycleII(ListNode head){
        if (head == null) return null;
        HashSet<ListNode> hashSet = new HashSet<>();
        while (head != null){
            if (hashSet.contains(head)){
                return head;//有环,且遍历第一次判断该节点在set中存在,则是第一个环的入口
            }
            hashSet.add(head);
            head = head.next;
        }
        return null;//表示无环
    }

3、方法2:快慢指针

解题思路

  1. 初始化指针

    • 慢指针 last 和快指针 fast 都指向头节点 head

  2. 判断是否有环

    • 使用快慢指针遍历链表:

      • 慢指针 last 每次移动一步(last = last.next)。

      • 快指针 fast 每次移动两步(fast = fast.next.next)。

    • 如果快慢指针相遇

      • 说明链表有环,设置 isCycle = true 并退出循环。

    • 如果快指针遇到 null

      • 说明链表无环,直接返回 null

  3. 寻找环的入口

    • 如果有环,将慢指针 last 重新指向头节点 head

    • 快慢指针同时每次移动一步,直到再次相遇:

      • 相遇的节点即为环的入口节点。

  4. 返回结果

    • 返回相遇的节点(环的入口)或 null(无环)。

关键点

  • 快慢指针的速度差

    • 慢指针每次移动一步,快指针每次移动两步。

    • 如果有环,快指针最终会追上慢指针。

  • 环的入口定位

    • 快慢指针相遇后,将慢指针重置到 head,然后快慢指针同步移动,再次相遇的点即为入口。

  • 时间复杂度:O(n),快指针遍历速度更快。

  • 空间复杂度:O(1),仅需两个指针,无需额外空间。

 // 使用快慢指针,先判断是否有环,如果有环的话,将慢指针重新指向头结点head,
    // 然后再遍历链表,快慢指针都每次直走一步,当两者再次相遇,则指向的结点就是环的入口节点
    public static ListNode isCycleII(ListNode head){
        if (head == null) return null;
        ListNode last = head, fast = head;
        boolean isCycle=false; //默认为false
        while (fast != null && fast.next != null && fast.next.next != null){
            last = last.next;
            fast = fast.next.next;
            if (fast == last ){//说明有环
                isCycle = true;
                break;
            }

        }
        if (isCycle){//有环
            last = head;
            while (last != fast){
                last = last.next;
                fast = fast.next;
            }
            //退出循环的时候,该节点就是环的入口节点
            return last;
        }
        return null;//如果上面都不成立,说明无环
    }

 

 

 

 

 

 

 

 

 

评论
添加红包

请填写红包祝福语或标题

红包个数最小为10个

红包金额最低5元

当前余额3.43前往充值 >
需支付:10.00
成就一亿技术人!
领取后你会自动成为博主和红包主的粉丝 规则
hope_wisdom
发出的红包
实付
使用余额支付
点击重新获取
扫码支付
钱包余额 0

抵扣说明:

1.余额是钱包充值的虚拟货币,按照1:1的比例进行支付金额的抵扣。
2.余额无法直接购买下载,可以购买VIP、付费专栏及课程。

余额充值