1、缓存穿透
缓存和数据库中都没有的数据,但是用户不断发起请求,如发起为 id 为“-1”的数据或id为特别大不存在的数据。此时所有的请求都会打到数据库上,导致数据库压力过大。
解决方案:
(1)接口层增加校验,如用户鉴权校验,id做基础校验,id<=0 的直接拦截
(2)如果从缓存和数据库中都没有取到数据,也可以将 key-value 对写为 key-null,然后将缓存有效时间设置短点,如30秒(设置太长会导致正常情况也没法使用)。这样可以防止攻击用户反复用同一个 id 暴力攻击
(3)布隆过滤器,可以快速判断某个Key是否在数据库中存在,不存在 return 空,存在才去查DB,然后刷新键值对再return
2、缓存击穿
指缓存中没有但数据库中有的数据(一般是缓存时间到期),即在某些热点 Key 过期,可能会在瞬间出现大量的并发请求,这时读缓存没读到数据,所有请求打到了数据库,使得数据库压力激增。
解决方案:
(1)设置热点数据永不过期
(2)加互斥锁,大致思路是如果缓存中有数据,直接返回。如果缓存中没有数据,那么第1个进入的线程获取锁,同时从数据库去取数据,在锁没释放之前,其他并行进入的线程会等待一段时间(如100ms),然后再重新取缓存数据。这种方法能避免所有请求都去数据库重复取数据,重复向缓存中更新数据的情况出现
3、缓存雪崩
指缓存中数据大批量到过期时间,而查询数据量巨大,引起数据库压力过大甚至宕机。与缓存击穿的区别是,缓存击穿一般指并发查同一条数据,缓存雪崩是不同数据都过期了,并发查多条数据缓存查不到从而打到数据库。
解决方案:
(1)缓存数据的过期时间设置随机,防止同一时间大量数据过期现象发生。
(2)设置热点数据永远不过期。
布隆过滤器
1、布隆过滤器是干嘛的
布隆过滤器是由一个长度为 M 比特的位数组与 K 个哈希函数组成的数据结构。主要用来检索一个元素是否一定不在或可能在一个集合里。
位数组中的元素初始值都为0 ,K 个哈希函数可以把输入数据均匀散列。如图:

插入数据:
当向布隆过滤器中插入元素时,先将该元素通过 K 个哈希函数处理后产生 K 个哈希值,以这些哈希值作为位数组下标,同时将这些下标对应的比特位置为1。
查询数据:
同样是将该元素通过K个哈希函数计算后产生 K 个哈希值,接着检查这些哈希值中对应的比特值。如果其中任意一个比特值为0,说明该元素一定不存在。如果所有比特值都是 1,则说明该元素可能存在。那么你可能会问为什么是可能而不是一定存在?这是因为其他元素经过哈希后一个可能相同的比特位的值也是1。
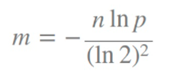
2、如何选择哈希函数个数和bit数组长度
假设我们预估要存的数据量为 n,期望的误判率为 p。所需的 Bit 数组大小为 m,hash 函数的个数 k。它们的计算关系为:
(1)Bit数组的长度计算公式

(2)哈希函数个数计算公式

3、布隆过滤器的优缺点
优点:
(1)不需要存储数据,只用比特表示,空间占用率上优势明显
(2)检索效率高,插入和查询时间复杂度都为 O(K)(K 是哈希函数个数)。
缺点:
(1)无法判断一个元素一定存在
(2)插入和查询元素容易,删除元素困难。

本文探讨了缓存穿透、缓存击穿和缓存雪崩问题及其解决方案,包括接口校验、设置短过期时间和使用布隆过滤器。布隆过滤器是一种用于判断元素可能存在于集合中的数据结构,具有空间效率高、查询速度快的特点,但存在误判可能。文章还介绍了如何根据预期数据量和误判率来选择合适的哈希函数数量和位数组长度。
1万+

被折叠的 条评论
为什么被折叠?



