在编译原理中,源代码在转换为机器码之前,会经历一系列的处理步骤,其中之一就是预处理。预处理主要负责处理源代码文件中的预处理指令和文本替换工作,这包括宏定义的展开、文件包含的处理以及注释的删除等。具体到去除代码注释,这是预处理过程中的一个重要环节,其目的是清理掉程序中不会影响程序执行的辅助性文本,即注释部分,以便于后续的词法分析、语法分析和代码生成等步骤能够顺利进行。
方法一:直接实现
考虑C++中的注释:
1.单行注释://
2.多行注释:/* */
3.引号中的注释符号应该被视为字符串(直接去实现这里比较复杂,dfa方法解决了这一问题)
#include <iostream>
#include <fstream>
#include <string>
using namespace std;
void remove_comments(ifstream& in, ofstream& out) {
//引用传参,节省空间
string line;
bool multiline_comment = false;
while (getline(in, line)) {
//一次只处理一行代码
int pos = 0;
while (pos < line.length()) {
if (!multiline_comment && line[pos] == '/' && pos + 1 < line.length() && line[pos + 1] == '*') {
multiline_comment = true;
pos += 2;
}
else if (multiline_comment && line[pos] == '*' && pos + 1 < line.length() && line[pos + 1] == '/') {
multiline_comment = false;
pos += 2;
}
else if (!multiline_comment && line[pos] == '/' && pos + 1 < line.length() && line[pos + 1] == '/') {
break; // 忽略单行注释的代码
}
else if (!multiline_comment) {
out << line[pos];
pos++;
}
else {
pos++;
//忽略多行注释的中间部分
}
}
if (!multiline_comment) {
out << endl;
}
}
}
int main() {
ifstream in("C:\\Users\\86183\\Desktop\\大二下考试\\编译原理\\input.cpp");
ofstream out("C:\\Users\\86183\\Desktop\\大二下考试\\编译原理\\output.cpp");
remove_comments(in, out);
in.close();
out.close();
return 0;
}
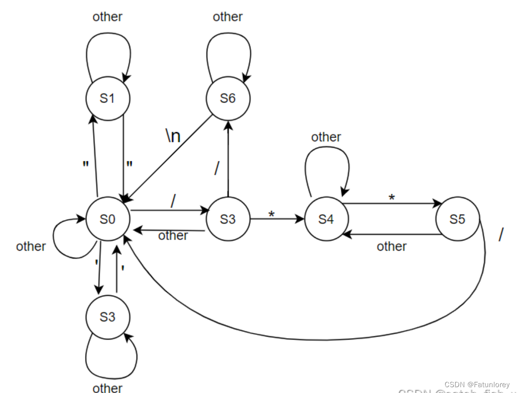
方法二:使用有穷自动机(DFA)

该方法参考自这篇文章:http://t.csdnimg.cn/6hMPA
另外不懂DFA的原理的小伙伴可以看一下这篇文章:http://t.csdnimg.cn/m7iCB
#include <iostream>
#include <fstream>
#include <string>
#include <vector>
using namespace std;
enum states
{
S0 = 0,S1,S2,S3,S4,S5,S6
};
//只需要注意处理引号里面的注释符号
void remove_comments(ifstream& in, ofstream& out)
{
/*读取完整的文件并存入字符串变量中*/
string fileContents;
char c;
while (in.get(c)) {
fileContents += c;
}
enum states curState = S0;
enum states lastState = S0;
char str;
vector<char> tmp;
for (int i = 0; i < fileContents.size(); i++)
{
str = fileContents[i];
switch (curState)
{
case S0:
{
lastState = curState;
if (str == '/')
{
curState = S3;
//识别到第一个符号/的时候,还不能确定是否是注释,当识别到下一个/或者*的时候才能确定;
//因此此时需要把/和其后的内容放入一个额外的存储空间,那么该如何确认呢?注释最后识别完
//成的时候都会返回S0的状态,若上一个状态是S6,那么需要清空tmp;如果上一个状态是S5,那
//那么也需要清空tmp;但如果上一个状态是S3,就需要将tmp中的内容写入out。
tmp.push_back(str);
}
else if (str == '\"')
{
curState = S1;
out << str;
}
else if (str == '\'')
{
curState = S2;
out << str;
}
else
{
out << str;
}
break;
}
case S1:
{
lastState = curState;
out << str;
if (str == '\"')
{
curState = S0;
}
else
{
curState = S1;
}
break;
}
case S2:
{
lastState = curState;
out << str;
if (str == '\'')
{
curState = S0;
}
else
{
curState = S2;
}
break;
}
case S3:
{
lastState = curState;
tmp.push_back(str);
if (str == '*')
{
curState = S4;
}
else if (str == '/')
{
curState = S6;
}
else
{
curState = S0;
//out << str;如果在此时写入,会丢失/符号
}
break;
}
case S4:
{
lastState = curState;
tmp.push_back(str);
if (str == '*')
{
curState = S5;
}
else
{
curState = S4;
}
break;
}
case S5:
{
lastState = curState;
tmp.push_back(str);
if (str == '/')
{
curState = S0;
}
else
{
curState = S4;
}
break;
}
case S6:
{
lastState = curState;
if (str == '\n')
{
curState = S0;
out << endl;
}
else
{
curState = S6;
tmp.push_back(str);
}
break;
}
default:
break;
}
if (curState == S0 && !tmp.empty())
{
if (lastState == S3)
{
for (int i = 0; i < tmp.size(); i++)
out << tmp[i];
}
tmp.clear();
}
}
}
int main() {
ifstream in("C:\\Users\\86183\\Desktop\\大二下考试\\编译原理\\input.cpp", ios_base::in);
ofstream out("C:\\Users\\86183\\Desktop\\大二下考试\\编译原理\\output.cpp");
//cout << "File open successfully." << endl;
cout << "File contents without comments" << endl;
remove_comments(in, out);
in.close();
out.close();
return 0;
}
喜欢的小伙伴还请点赞收藏,(❁´◡`❁)( o=^•ェ•)o ┏━┓
喜欢的小伙伴还请点赞收藏,(❁´◡`❁)( o=^•ェ•)o ┏━┓
1553

被折叠的 条评论
为什么被折叠?



