诱骗态量子密钥分配协议
在量子通信中的理想情况下,发送端使用的是单光子源进行信息传输,但由于在实际的通信应用中,理想条件的单光子源不易制备,常将激光光源进行衰减获得弱相干光源来传输。
窃听者通常使用光子数分离(PNS)攻击来进行窃听,这是由于通信使用的弱相干光源中存在诸多多光子成分。PNS攻击指的是,窃听者拦截发送端发送的弱相干光源,并获得光子数的有效信息。在单光子部分中,窃听者全部截获,并不再发送给接收端;在多光子部分中,窃听者提取其中一个光子放入量子储存器中,然后将其余的光子发送给接收端。窃听者通过对储存的光子进行测量,并通过发送者公布的基矢和接收者公布的测量基矢结果,进行数据信息处理,获得量子通信中的密钥。这种光子数分离攻击,对于窃听者来说攻击更加有效,可获得完整的密钥并不被检测到。为了解决量子通信传输过程中这一难题,人们引入了基于诱骗态方法的量子密钥分发协议。
在诱骗态方法中,发送端制备多种相位与强度都不同的弱相干光源,令其中一种弱相干脉冲为产生密钥的信号态,其余均为诱骗态。量子通信中将信号态和诱骗态同时进行传输,接收端可通过检测不同强度相干态的结果是否异常,来检测是否存在窃听者进行窃听。进一步说,诱骗态方法可以依据强度不同的相干态的误码率以及计数率,来建立相关的线性方程组,并以此来计算估计出单光子的误码率和计数率,再使用GLLP公式计算出安全成码率。GLLP公式:
![]()
其中,q是协议效率,BB84协议中为0.5;R代表密钥率,Q1是单光子增益和e1是单光子误码率,其用于被估计的量;Eμ总误码率和Qμ总增益,被用于可观测量;f代表纠错效率。
三强度诱骗态BB84协议
理论上的单光子源在实际的应用通信中无法实现,常使用弱相干态光源来代替,并且诱骗态方法极大的提升了量子密钥分发协议中的安全性。在三强度的诱骗态方法中,其明确提出的比特反转误码率的上界值和单光子脉冲对计数率的下界值,三强度诱骗态方法中通信双方分别在Z基矢和X基矢下拥有三个不同强度的光源,大大提升了通信中的成码率。
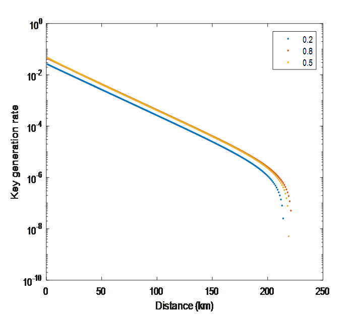
通过Matlab对不同平均光子数下三强度诱骗态密钥率进行对比仿真,从图3.1中可以看出,三强度诱骗态不考虑统计波动,在平均光子数分别为0.2,0.5,0.8时的不同距离密钥生成率对比情况。
其中,蓝色曲线代表0.2光子数,黄色曲线代表0.5光子数,红色曲线代表0.8光子数。图中的仿真结果表示,在传输距离较短时,平均光子数为0.5和0.8的量子密钥生成率基本重合,安全性能差异小,但平均光子数为0.2的性能明显低于其他两种;密钥生成率随着传输距离的增加,平均光子数为0.5和0.8的性能差异逐渐变大,0.8光子数的三强度诱骗态性能优于0.5光子数的三强度诱骗态,在相同的传输距离下,0.8光子数的三强度诱骗态的量子密钥生成率更高。

图3.1 不同平均光子数下三强度诱骗态密钥率对比
无穷多强度诱骗态BB84协议
首先在诱骗态方法通信过程中的误码率和计数率,仅与通信光子数有关,与传输的光子态无关,故发送端发送的不同强度光脉冲,窃听者无法进行辨认和区分光子态,因此窃听者使用的攻击策略相同,用户可依据仿真统计特性来判断窃听者的存在。在理想的情况下,诱骗态数量越多即无穷多强度诱骗态,计算得到的不同光子态的误码率和计数率的数值越准确,得到的系统成码率越高。因此,本章讨论的无穷多强度诱骗态,也是一种理想条件下的理论数值分析。
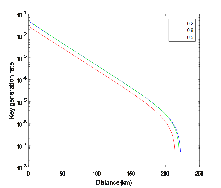
利用Matlab对不同平均光子数下无穷多强度诱骗态密钥率进行对比仿真,可以从图3.2中看出,无穷多强度诱骗态在平均光子数,其分别为0.2,0.5,0.8时的不同距离密钥生成率对比情况。其中,红色曲线代表0.2光子数,绿色曲线代表0.5光子数,蓝色曲线代表0.8光子数。
图中的仿真结果表示,在传输距离较短时,平均光子数为0.5和0.8的量子密钥生成率基本重合,安全性能差异小,但平均光子数为0.2的性能明显低于其他两种;密钥生成率随着传输距离的增加,平均光子数为0.5和0.8的性能差异逐渐变大,0.8光子数的无穷多强度诱骗态性能优于0.5光子数的无穷多强度诱骗态,在相同的传输距离下,0.8光子数的无穷多强度诱骗态的量子密钥生成率更高,性能更好。

图3.2 不同平均光子数下无穷多强度诱骗态密钥率对比


文章探讨了量子通信中针对光子数分离攻击的解决方案——诱骗态量子密钥分配协议。通过三强度和无穷多强度诱骗态的方法,提高协议的安全性和成码率。仿真结果显示,不同平均光子数下,较高的光子数通常带来更高的密钥生成率和更好的安全性。
1490

被折叠的 条评论
为什么被折叠?



