概念的狗血判断题
n个方程n个未知量的线性方程组,只要行列式不等于0,则方程组一定有唯一解。(√)
——这个考察《克莱姆法则》
如果n阶行列式中0元素比n*n-n还多,则次行列式的值一定等于0. (√)
四阶行列式无法用对角线法则求解。 (√)
考察《性质5:行列式的某一行(列)为两数的和(差)的形式》 (×)
行列式的性质
假设行列式的值用D表示
性质1:行列式转置,D不变
性质2:行列式两行互换,D变为相反数=-D(即要变号)
性质3:若某一行乘以k等于用k乘以D(由一到多 n行乘以k即用k的n次方乘以D)
性质4:若行列式的某一行(列)的元素对应成比例,则D=0
推论:若某一行(列)的元素全为0则D=0
性质5:行列式的某一行(列)为两数的和(差)的形式
处理方法:拆分
性质6:某一行乘以一个数加到另一个行(列)上D不变
经常运用这个性质化成上(下)三角
n阶行列式的处理方法
上(下)三角
行列式按行(列)展开
余子式的概念
把所在行所在列去除后剩下的行列式用M+下标表示

代数余子式
以上述例子为例

定理1:按某行(列)展开
定理2:(异乘变0)
概念:某行元素与另外一行元素的代数余子式的乘积之和=0
举个例题:
过程为:1*2+2*3+(-1)*5+(-3)*x=0求解x
拉普拉斯定理(k阶子式)
概念:取定k行,由k行元素的所有k阶子式的值与代数余子式乘积之和=D
举个例子
解法:

行列式相乘局限于同阶行列式
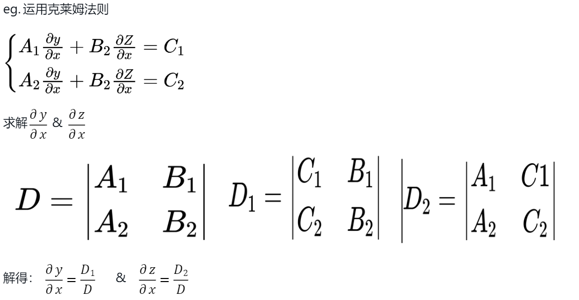
克莱姆法则
举个例子:(看的懂的)
适用条件
n个方程,n个未知量
D≠0
定理(齐次方程)
方程数=未知量数
D≠0 只有0解
有非0解 D=0
文章详细介绍了行列式的性质,包括转置不变、行交换变号、比例元素值为0等,并探讨了n个方程n个未知量线性方程组的唯一解条件。此外,讲解了克莱姆法则的应用,以及行列式的展开、代数余子式和拉普拉斯定理在解方程中的作用。内容涵盖了行列式计算的基本方法和理论。

被折叠的 条评论
为什么被折叠?



