题目:
给你二叉树的根节点 root ,返回它节点值的 前序 遍历。
示例 1:

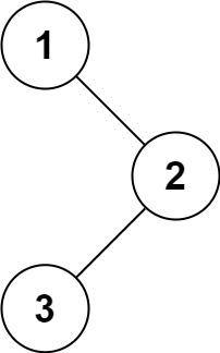
输入:root = [1,null,2,3]
输出:[1,2,3]
示例 2:
输入:root = []
输出:[]
示例 3:
输入:root = [1]
输出:[1]
示例 4:

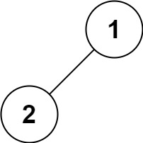
输入:root = [1,2]
输出:[1,2]
示例 5:

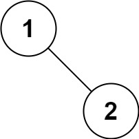
输入:root = [1,null,2]
输出:[1,2]
提示:
树中节点数目在范围 [0, 100] 内
-100 <= Node.val <= 100
进阶:递归算法很简单,你可以通过迭代算法完成吗?
题解:
方法一:递归
首先我们需要了解什么是二叉树的前序遍历:按照访问根节点——左子树——右子树的方式遍历这棵树,而在访问左子树或者右子树的时候,我们按照同样的方式遍历,直到遍历完整棵树。因此整个遍历过程天然具有递归的性质,我们可以直接用递归函数来模拟这一过程。
定义 preorder(root) 表示当前遍历到 root 节点的答案。按照定义,我们只要首先将 root 节点的值加入答案,然后递归调用 preorder(root.left) 来遍历 root 节点的左子树,最后递归调用 preorder(root.right) 来遍历 root 节点的右子树即可,递归终止的条件为碰到空节点。
代码:
public int preorder(BiTreeNode p) {
if (p == null) {
return 0;
}
System.out.print(p.getData() + " ");
preorder(p.lchild);
preorder(p.rchild);
return 1;
}
方法二:迭代
我们也可以用迭代的方式实现方法一的递归函数,两种方式是等价的,区别在于递归的时候隐式地维护了一个栈,而我们在迭代的时候需要显式地将这个栈模拟出来,其余的实现与细节都相同,具体可以参考下面的代码。
在进行迭代时我们要考虑用栈来对结点的存放和丢弃,声明一个LinkedList,可保存结点数据,并进行头插和尾插。
我们需要一个循环去从根=》左=》右的顺序遍历,循环的条件为root是否为空和栈是否为空,这里判断栈是因为当遍历到第一次root为空时,如果还有未遍历的结点,能够保证继续遍历。
然后如果p!=null,入栈根,list尾插法填入p的数据,p=p.lchild让p变成左孩子,之后一直遍历和入栈左孩子,list尾插法addlast填入左孩子的数据,直到左孩子为空,将栈顶取出(可知栈顶的左孩子为空,设p,q均为栈顶结点), p = p.rchild让p变成右孩子,判断是否有右孩子,如果没有,说明右孩子为空,再次出栈(出栈元素为q的父节点),p变成右孩子,再进行循环判断。整个流程思路就完成了。
下面是我的代码:
public void preorderTraversal(BiTreeNode root) {
BiTreeNode p = root;
Stack<BiTreeNode> myStack = new Stack<BiTreeNode>();
LinkedList<Integer> list = new LinkedList<Integer>();
while(p!=null || !myStack.isEmpty()) {
if(p!=null) {
myStack.push(p);
list.addLast((int)p.getData());
p = p.lchild;
}
else {
p = myStack.pop();
p = p.rchild;
}
}
return list;
}
后序遍历:
按照这种思路会发现后序遍历reverse后为根=》右=》左,而我们刚说的先序遍历为根=》左=》右,只是把p=p.lchild和p=p.rchild互换顺序而已;但此时list中的数据都是反过来的(由于reverse后为根=》右=》左的原因),我们只需要在插入数据时采用头插法addfirst即可
代码如下:
public LinkedList<Integer> postorder() {
Stack<BiTreeNode> myStack = new Stack<BiTreeNode>();
BiTreeNode p = root;
LinkedList<Integer> list = new LinkedList<Integer>();
while(p!=null || !myStack.isEmpty()) {
if(p!=null) {
myStack.push(p);
list.addFirst((int)p.getData());
p = p.rchild;
}else {
p=myStack.pop();
p=p.lchild;
}
}
return list;
}
顺便把递归方法代码补充一下:
public int postorder(BiTreeNode p) {
if (p == null) {
return 0;
}
postorder(p.lchild);
postorder(p.rchild);
System.out.print(p.getData() + " ");
return 1;
}
中序遍历:
而中序是左=》根=》右,没必要做反转(故使用尾插法),不过不能先处理根元素了,即list不能从根开始添加元素了,我们需要先处理左,(这里需要分清根是先遍历的,而中序遍历应该先处理左,所以不能在遍历的过程中添加到list)左孩子为空之后,取栈顶元素,list添加该元素数据(即根数据),然后让p=p.rchild,使得p变成右孩子,判断右孩子是否存在,存在即入栈,在出栈的时候将数据添加到list中;不存在就继续出栈,判断右孩子是否存在。整个流程就结束了。
代码如下:与先序遍历相比,只改了list添加元素的位置。
public LinkedList<Integer> inorder() {
BiTreeNode p = root;
Stack<BiTreeNode> myStack = new Stack<BiTreeNode>();
LinkedList<Integer> list = new LinkedList<Integer>();
while(p!=null || !myStack.isEmpty()) {
if(p!=null) {
myStack.push(p);
p=p.lchild;
}else {
p = myStack.pop();
list.addLast((int)p.getData());
p = p.rchild;
}
}
return list;
}
递归代码如下:
public int inorder(BiTreeNode p) {
if (p == null) {
return 0;
}
inorder(p.lchild);
System.out.print(p.getData() + " ");
inorder(p.rchild);
return 1;
}
总结:
先序和后序遍历由于都可以看做遍历的元素和要处理的元素都为根,所以在遍历的过程中List添加元素;中序遍历是遍历到左孩子为空后再处理根,即先遍历到左孩子为空后处理,所以从左开始遍历到左孩子为空,再将栈顶数据进行添加到List中。
如果感觉上面的迭代写法不好记忆的话,请看我的这篇文章https://blog.csdn.net/a12355556/article/details/117043765
顺便写一下层序遍历吧
主要是使用队列进行操作。
//BFS--迭代方式--借助队列
public List<List<Integer>> resList = new ArrayList<List<Integer>>();
public void checkFun02(TreeNode node) {
if (node == null) return;
Queue<TreeNode> que = new LinkedList<TreeNode>();
que.offer(node);
while (!que.isEmpty()) {
List<Integer> itemList = new ArrayList<Integer>();
int len = que.size();
while (len > 0) {
TreeNode tmpNode = que.poll();
itemList.add(tmpNode.val);
if (tmpNode.left != null) que.offer(tmpNode.left);
if (tmpNode.right != null) que.offer(tmpNode.right);
len--;
}
resList.add(itemList);
}
}

本文详细介绍了二叉树的前序、中序和后序遍历算法,包括递归和迭代两种实现方式,并附带代码示例。此外,还简要介绍了层序遍历的方法。
302





