从干硬件的第一天起,接触最多的就是RC串联,大部分时候我们都将其作为低通滤波器滤除干扰。也有时候,用到其积分器的功能,但不知其所以然。今天就从头到尾,就这一个最简单最基础的东西,讲解其背后的原理。

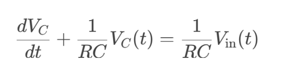
首先根据基尔霍夫电压定律和电容的电流-电压关系:Vin=IR+Vc,而电容的电流I=C·(dv/dt),因此

这个式子很熟悉,再一细看,就是一阶微分方程。下面先回顾一下一阶微分方程。
形如

其通解为

因此将上式整理为标准的一阶微分方程的形式:

则很容易得出

假设t=0时刻,电容两端电压就有V(0),则代入上式可解的C=V(0)
则最终解为:

(注意这的τ还不是时间常数τ,只是一个变量,因为积分里面已经有t了)
对于输入方波信号,在每个周期的高电平和低电平都是恒定的电压,在电容充放电到达稳态的时候,表现为在高电平充电,低电平放电,因此上式可继续化简。
令输入电压Vin(t)=Vfinal。
先计算

代入上式得

继续展开化简

最终得

其中τ=RC,为时间常数。
下面具体举例计算,输入方波经过RC积分电路,输出波形是什么样的。
输入一个1.638/3.276V 500Hz的方波,经过20K+0.47uF,求输出波形。
首先计算时间常数τ=RC=20·0.47=9.4ms。方波周期T=1/500=2ms。
因为电容充放电后一定会进入到一个稳态,此时在方波的高电平表现为充电,低电平表现为放电。设此时稳态的初始值为V0,则电容电压在下一个方波周期到来时,在方波的高电平充电为V1,在方波的低电平放电为V2,因为稳态时电容电压在这一周期结束时回到初始值,则可得到V2=V0。
下面来求解这个稳态V0。
(1)充电阶段(高电平3.276V)
因为方波的占空比就是50%,因此充电和放电时间都为T/2=1ms。
电容从V0开始充电1s后到V1
······①
(2)放电阶段(低电平1.638V)
电容从V1放电1s后到V2
······②
注意到刚刚说的,V2=V0,联立①和②,代入V2=V0,可得

化简后可得,V0=2.406V,V1=2.494V。
也就是说稳态波动范围为:V0到V1之间。
用multism仿真波形如下:

为什么电容一定能到达充放电平衡的稳态呢?
从图里可以看出,在刚上电时,电容由于两端电压为0V,输入的方波1.638/3.276V,对电容来说,不管是高电平3.276V还是低电平1.638V,对于初始状态为0V的电容来说都是高电平,所以一直表现为充电状态。知道电容两端电压超过1.638V后,这是方波的高电平状态仍然表现为充电,但低电平1.638V相对于电容两端电压来说相当于是放电,只不过这时充的电比放的电多,电容两端电压还在升高。直到升高到一个稳态的点,这时在方波的每个周期内,电容充的电和电容放的电一样多,达到一个稳态平衡。
再回过头来看,就是一个极其简单的RC积分电路,若是从数学的角度来分析,计算量实在是太庞大。在实际工程应用中完全没有必要这样来计算。
首先要明白为什么要用RC积分电路?对于一个方波信号来说(广义上可以说是脉冲信号,只不过方波的占空比正好是50%)由图上可见,经过RC之后的波形是一个锯齿波,但锯齿波的振幅如果很小,就近似为一条直线,我们可以近似看作是恒定的直流电压。也就是说,通过积分电路可以将频率信号转化为电压信号,供单片机采集。
仔细研究不难发现,频率不变的情况下脉冲信号的占空比越高,也就是说电容充电的时间比放电的时间多,电容的电压也就充的越多,因此最后得到的锯齿波的平均值更高;

而占空比不变的情况下脉冲信号的频率越高,也就是电容充放电的时间很短,因此锯齿波的上下振幅越小,越近似于一条直线。
因此要想使输入的脉冲信号经过RC积分电路近似为一条直线供单片机采集,可以根据输入信号的频率,选取相应的R和C,保证时间常数RC远大于输入信号的周期。然后再用multism仿真看下波形,微调参数。(这里也可以从另一个角度理解,我们知道RC的截止频率f=1/2πRC,截止频率越小,信号的幅值衰减也更严重。上述举的例子输入信号500Hz,20K+0.47uF,则截止频率f=16.9Hz相对于输入500Hz就很小,幅值受到了非常大的衰减)
1万+

被折叠的 条评论
为什么被折叠?



