【色彩管理】HSI色彩模式详解

HSI颜色模型基于人的视觉系统,由色调、饱和度和强度构成,更符合人类对颜色的感知。色调定义颜色属性,饱和度描述颜色纯度,而强度关乎亮度。HSI模型相较于RGB更能简化图像处理。本文介绍了HSI模型的起源、特点,并阐述了RGB到HSI的转换过程,适用于图像分析和理解。

00. 目录

01. HSI模式概述

HSI〔Hue-Saturation-Intensity(Lightness),HSI或HSL〕颜色模型用H、S、I三参数描述颜色特性,其中H定义颜色的频率,称为色调;S表示颜色的深浅程度,称为饱和度;I表示强度或亮度

当人观察一个彩色物体时,用色调、饱和度、亮度来描述物体的颜色。色调是描述纯色的属性(纯黄色、橘黄或者红色);饱和度给出一种纯色被白光稀释的程度的度量;亮度是一个主观的描述,实际上,它是不可以测量的,体现了无色的强度概念,并且是描述彩色感觉的关键参数。而强度(灰度)是单色图像最有用的描述子,这个量是可以测量且很容易解释。则将提出的这个模型称作为HSI(色调、饱和度、强度)彩色模型,该模型可在彩色图像中从携带的彩色信息(色调和饱和度)里消去强度分量的影响,使得HSI模型成为开发基于彩色描述的图像处理方法的良好工具,而这种彩色描述对人来说是自然而直观的。

HSI模型是美国色彩学家孟塞尔(H.A.Munseu)于1915年提出的,它反映了人的视觉系统感知彩色的方式,以色调、饱和度和强度三种基本特征量来感知颜色。

02. HSI颜色空间

RGB系统与人眼强烈感知红绿蓝三原色的事实能很好地匹配。但RGB模型和CMY/CMYK模型不能很好地适应实际上人解释的颜色。所有引出HIS模型。

HSI (Hue, Saturation, Intensity )模型是从人的视觉系统出发,用色调(Hue)、色饱和度(Saturation)和亮度 (Intensity)来描述色彩。色调是描述纯色(纯黄色、纯橙色或纯红色)的颜色属性。饱和度是一种纯色被白光稀释的程度的度量。亮度是一个主观描述子,体现无色的强度概念。

HSI色彩空间可以用一个圆锥空间模型来描述,如下图所示。色彩空间的圆锥模型相当复杂,但确能把色调、亮度和色饱和度的变化情形表现得很清楚。在HSI色彩空间可以大大简化图像分析 和处理的工作量。HSI色彩空间和RGB色彩空间只是同一物理量的不同表示法,因而它们之间存在着转换关系。

在这里插入图片描述

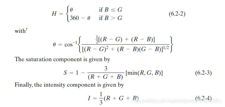
03. RGB转HSI

从RGB到HSI的彩色转换

给定一幅RGB彩色图像,每个RGB像素的H分量,S分量和I分量计算方式如下:
在这里插入图片描述

04. 预留

05. 附录

评论 2
添加红包

请填写红包祝福语或标题

红包个数最小为10个

红包金额最低5元

当前余额3.43前往充值 >
需支付:10.00
成就一亿技术人!
领取后你会自动成为博主和红包主的粉丝 规则
hope_wisdom
发出的红包

打赏作者

沧海一笑-dj

你的鼓励将是我创作的最大动力

¥1 ¥2 ¥4 ¥6 ¥10 ¥20
扫码支付:¥1
获取中
扫码支付

您的余额不足,请更换扫码支付或充值

打赏作者

实付
使用余额支付
点击重新获取
扫码支付
钱包余额 0

抵扣说明:

1.余额是钱包充值的虚拟货币,按照1:1的比例进行支付金额的抵扣。
2.余额无法直接购买下载,可以购买VIP、付费专栏及课程。

余额充值