【题目描述】
传说古代的叙拉古国王海伦二世发现的公式,利用三角形的三条边长来求取三角形面积。已知△ABC中的三边长分别为a,b,c,求△ABC的面积。
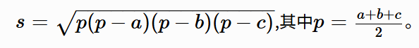
提示:海伦公式

【输入】
三角形的三条边长。
【输出】
面积。(保留3位小数)
【输入样例】
2.1 3.1 4.1
【输出样例】
3.179
【程序分析】
运用海伦公式求三角形面积,需要用到开方的函数sqrt
【程序实现】
#include <stdio.h>
#include <math.h>
int main() {
double a, b, c;
scanf("%lf %lf %lf", &a, &b, &c);
// 计算半周长
double p = (a + b + c) / 2.0;
// 海伦公式计算面积
double area = sqrt(p * (p - a) * (p - b) * (p - c));
// 输出,保留3位小数
printf("%.3lf\n", area);
return 0;
}
4万+

被折叠的 条评论
为什么被折叠?



