学习情况

tkinter登录网页

import tkinter as tk
import pickle

window = tk.Tk()
window.title('Login & Sign up')
window.geometry('450x300')  

tk.Label(window, text='User name: ').place(x=50, y=150)
tk.Label(window, text='Password: ').place(x=50, y=190)

var_usr_name = tk.StringVar()
var_usr_name.set('example@python.com')
entry_usr_name = tk.Entry(window, textvariable=var_usr_name)
entry_usr_name.place(x=160, y=150)

var_usr_pwd = tk.StringVar()
entry_usr_pwd = tk.Entry(window, textvariable=var_usr_pwd, show='*')
entry_usr_pwd.place(x=160, y=190)


def usr_login():
    usr_name = var_usr_name.get()
    usr_pwd = var_usr_pwd.get()
    try:
        with open('usrs_info.pickle', 'rb') as usr_file:
            usrs_info = pickle.load(usr_file)
    except FileNotFoundError:
        with open('usrs_info.pickle', 'wb') as usr_file:
            usrs_info = {'admin': 'admin'}
            pickle.dump(usrs_info, usr_file)
    if usr_name in usrs_info:
        if usr_pwd == usrs_info[usr_name]:
            tk.messagebox.showinfo(title='Welcome', message='Welcome! ' + usr_name)
        else:
            tk.messagebox.showerror(message='Error, your password is wrong, try again.')
    else:
        is_sign_up = tk.messagebox.askyesno('Welcome', 'You have not sign up yet. Sign up today?')
        if is_sign_up:
            usr_sign_up()

def usr_sign_up():
    def sign_to_Mofan_Python():
        np = new_pwd.get()
        npf = new_pwd_confirm.get()
        nn = new_name.get()
        with open('usrs_info.pickle', 'rb') as usr_file:
            exist_usr_info = pickle.load(usr_file)
        if np != npf:
            tk.messagebox.showerror('Error', 'Password and confirm password must be the same!')
        elif nn in exist_usr_info:
            tk.messagebox.showerror('Error', 'The user has already signed up!')
        else:
            exist_usr_info[nn] = np
            with open('usrs_info.pickle', 'wb') as usr_file:
                pickle.dump(exist_usr_info, usr_file)
            tk.messagebox.showinfo('Welcome', 'You have successfully signed up!')
            window_sign_up.destroy()

    window_sign_up = tk.Toplevel(window)
    window_sign_up.geometry('350x200')
    window_sign_up.title('Sign up window')

    new_name = tk.StringVar()
    new_name.set('example@python.com')
    tk.Label(window_sign_up, text='User name: ').place(x=50, y=20)
    entry_new_name = tk.Entry(window_sign_up, textvariable=new_name)
    entry_new_name.place(x=160, y=20)

    new_pwd = tk.StringVar()
    tk.Label(window_sign_up, text='Password: ').place(x=50, y=60)
    entry_new_pwd = tk.Entry(window_sign_up, textvariable=new_pwd, show='*')
    entry_new_pwd.place(x=160, y=60)

    new_pwd_confirm = tk.StringVar()
    tk.Label(window_sign_up, text='Confirm password: ').place(x=50, y=100)
    entry_new_pwd_confirm = tk.Entry(window_sign_up, textvariable=new_pwd_confirm, show='*')
    entry_new_pwd_confirm.place(x=240, y=100)

    btn_comfirm_sign_up = tk.Button(window_sign_up, text='Sign up', command=sign_to_Mofan_Python)
    btn_comfirm_sign_up.place(x=150, y=130)

btn_login = tk.Button(window, text='Login', command=usr_login)
btn_login.place(x=170, y=230)
btn_sign_up = tk.Button(window, text='Sign up', command=usr_sign_up)
btn_sign_up.place(x=270, y=230)

window.mainloop()

参数的更新

将参数的梯度(导数)作为了线索,使用参数的梯度,沿梯度方向更新参数,并重复这个步骤多次,这个过程称为随机梯度下降法

SCG

实现SCG

class SGD:
    def __init__(self, lr=0.01):
        self.lr = lr
    def update(self, params, grads):
        for key in params.keys():
            params[key] -= self.lr * grads[key]

使用SCG进行神经网络的参数更新(伪代码)

network = TwoLayerNet(...)
optimizer = SGD()
for i in range(10000):
    ...
    x_batch, t_batch = get_mini_batch(...) # mini-batch
    grads = network.gradient(x_batch, t_batch)
    params = network.params
    optimizer.update(params, grads)
    ...

SGD 简单,容易实现,但是在解决某些问题时可能没有效率

Momentum

将optimizer = SGD() 这一语句换成 optimizer = Momentum(),可以从 SGD 切换为 Momentum

代码实现

class Momentum:
    def __init__(self, lr=0.01, momentum=0.9):
        self.lr = lr
        self.momentum = momentum
        self.v = None
    def update(self, params, grads):
        if self.v is None:
            self.v = {}
            for key, val in params.items():
                self.v[key] = np.zeros_like(val)
        for key in params.keys():
            self.v[key] = self.momentum*self.v[key] - self.lr*grads[key]
            params[key] += self.v[key]

AdaGrad

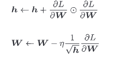
学习率过小,会花费过多时间,学习率过大,则会导致学习发散而不能正确进行

AdaGrad 会为参数的每个元素适当地调整学习率

AdaGrad 会记录过去所有梯度的平方和,因此,学习越深入,更新的幅度就越小

实现AdaGrad

class AdaGrad:
    def __init__(self, lr=0.01):
        self.lr = lr
        self.h = None
    def update(self, params, grads):
        if self.h is None:
        self.h = {}
    for key, val in params.items():
        self.h[key] = np.zeros_like(val)
    for key in params.keys():
        self.h[key] += grads[key] * grads[key]
        params[key] -= self.lr * grads[key] / (np.sqrt(self.h[key]) + 1e-7)

最后一行微小值 1e-7是为了防止当self.h[key] 中有 0 时,将 0 用作除数的情况

这个微小值也可以设定为参数,但这里我们用的是 1e-7 这个固定值

Adam是将Momentum和AdaGrad融合在一起,可以实现实现参数空间的高效搜索,还可以进行超参数的“偏置校正”

实权重初始值都是像 0.01 * np.random.randn(10, 100) 等,使用由高斯分布生成的值乘以 0.01 后得到的值(标准差为 0.01 的高斯分布)

但不能将权重初始值设置为0

比如设第 1 层和第 2 层的权重为 0,正向传播时,因为输入层的权重为 0,所以第 2 层的神经元全部会被传递相同的值,第 2 层的神经元中全部输入相同的值,反向传播时第 2 层的权重全部都会进行相同的更新,这使得神经网络拥有许多不同的权重丧失意义

为了防止“权重均一化”必须随机生成初始值

Batch Norm

可以使学习快速进行
不那么依赖初始值
抑制过拟合

以进行学习时的 mini-batch 为单位,按 mini-batch 进行正规化(进行使数据分布的均值为 0、方差为 1 的正规化)

发生过拟合原因

模型拥有大量参数、表现力强
训练数据少

权值衰减是一直以来经常被使用的一种抑制过拟合的方法

该方法通过在学习的过程中对大的权重进行惩罚,来抑制过拟合(很多过拟合是因为权重参数取值过大发生的)

Dropout

损失函数加上权重的 L2 范数的权值衰减方法实现简单,在某种程度上能够抑制过拟合,但是,如果网络的模型变得很复杂,只用权值衰减就难以应对了,在这种情况下,我们可以使用 Dropout 方法

Dropout 是一种在学习的过程中随机删除神经元的方法,训练时,随机选出隐藏层的神经元,然后将其删除,被删除的神经元不再进行信号的传递

实现代码

class Dropout:
    def __init__(self, dropout_ratio=0.5):
        self.dropout_ratio = dropout_ratio
        self.mask = None
    def forward(self, x, train_flg=True):
        if train_flg:
            self.mask = np.random.rand(*x.shape) > self.dropout_ratio
            return x * self.mask
        else:
            return x * (1.0 - self.dropout_ratio)
    def backward(self, dout):
        return dout * self.mask

每次正向传播时,self.mask 中都会以 False 的形式保存要删除的神经元,self.mask 会随机生成和 x 形状相同的数组,并将值比dropout_ratio 大的元素设为 True,反向传播时的行为和 ReLU 相同

评论
添加红包

请填写红包祝福语或标题

红包个数最小为10个

红包金额最低5元

当前余额3.43前往充值 >
需支付:10.00
成就一亿技术人!
领取后你会自动成为博主和红包主的粉丝 规则
hope_wisdom
发出的红包
实付
使用余额支付
点击重新获取
扫码支付
钱包余额 0

抵扣说明:

1.余额是钱包充值的虚拟货币,按照1:1的比例进行支付金额的抵扣。
2.余额无法直接购买下载,可以购买VIP、付费专栏及课程。

余额充值