【算法理论】Union-Find 并查集 +【每日题解】684.冗余连接

Union-Find并查集算法原理与应用

Union-Find 并查集算法 参考:

Union-Find 并查集算法 | labuladong 的算法笔记本文讲解并查集/Union-Find 动态连通性算法的原理,解决力扣/LeetCode 上的相关题目,同时给出 Java/Python/Go/JavaScript/C++ 代码实现。icon-default.png?t=O83Ahttps://labuladong.online/algo/data-structure/union-find/#%E4%BA%8C%E3%80%81%E5%9F%BA%E6%9C%AC%E6%80%9D%E8%B7%AF

一、动态连通性

并查集(Union-Find)是一个针对动态连通性的算法。而动态连通性在于在于一张图中的 n 个节点,有哪些是连通的,途中又有多少连通分量。

连通分量是指图中独立的一组元素,他们彼此直接或间接的相连,并且没有其他节点与他们相连。在并查集(Union-Find)数据结构中,连通分量用于跟踪哪些元素是相互连通的。当两个元素被合并时,它们所在的连通分量会合并为一个更大的连通分量。最终,每个连通分量可以用一个唯一的代表(或根)来标识。

而并查集能够实现的功能包括将途中两个点连接、判断两个点是否相连、返回图中有多少连通分量。

class UF {
public:
    // 将 p 和 q 连接
    void union_(int p, int q) = 0;

    // 判断 p 和 q 是否连通
    bool connected(int p, int q) = 0;

    // 返回图中有多少个连通分量
    int count() = 0;
};

二、基本思路

在理解了动态连通性的概念之后,我们发现 Union-Find 算法的关键就在于 union 和 connected 函数的效率。那么我们应该用怎样的【模型】来表示这幅图的联通状态?用什么【数据结构】来实现代码?

使用【森林】(若干树结构)来表示图的动态连通性,用【数组】来具体实现这个森林。设定树的每个节点有一个指针指向其父节点,如果是根节点的话,这个指针指向自己。

class UF {
    // 记录连通分量
    int _count;
    // 节点 x 的父节点是 parent[x]
    vector<int> parent;

public:
    // 构造函数,n 为图的节点总数
    UF(int n) {
        // 一开始互不连通
        this->_count = n;
        // 父节点指针初始只想自己
        parent = vector<int>(n);
        for (int i = 0; i < n; ++i)
            parent[i] = i;
    }

    // 其他函数
};

如果某两个节点被连通,则让其中的(任意)一个节点的根节点连接到零一节点的根节点上:

class UF {

//...省略上文给出的代码

private:
    // 返回某个节点 x 的根节点
    int find(int x) {
        // 根节点的 parent[x] == x
        while (parent[x] != x)
            x = parent[x];
        return x;
    }

public:
    // 返回当前的连通分量个数
    void union_(int p, int q) {
        int rootP = find(p);
        int rootQ = find(q);
        if (rootP == rootQ)
            return;
        // 将两棵树合并为一棵
        parent[rootP] = rootQ;
        // parent[rootQ] = rootP 也一样

        // 两个分量合二为一
        _count--;
    }

    int count() {
        return _count;
    }
};

这样,如果节点 p 和 q 连通的话,它们一定拥有相同的根节点:

class UF {
private:
    // 省略上文给出的代码部分...

public:
    bool connected(int p, int q) {
        int rootP = find(p);
        int rootQ = find(q);
        return rootP == rootQ;
    }
};

至此,Union-Find 算法就基本完成了。它通过数组模拟出一个森林。通过考察算法的复杂度,我们发现主要的API 【connected】和【union】中的复杂度都是【find】函数造成的,所以说它们的复杂度和【find】一样。

【find】的主要功能是从某个节点向上遍历到树的根节点,自然的我们可能会认为树的高度是【logN】,但这并不一定。【logN】的高度只存在于平衡二叉树,对于一般的树可能会出现极端不平衡的情况,使得【树】几乎退化成【链表】,树的高度最坏情况下可能变为【N】。

所以说上面这种解法,【find】, 【union】 , 【connected】 的时间复杂度都是 O(N)。这个复杂度很不理想的,图论解决的都是诸如社交网络这样数据规模巨大的问题,对于 【union】 和 【connected】 的调用非常频繁,每次调用需要线性时间完全不可忍受。

问题的关键在于,如何想办法避免树的不平衡呢?只需要略施小计即可。

三、平衡性优化

不平衡的出现主要在于我们在合并两棵树的过程中,总是暴力的将 p 所在的树接到 q 所在的树的根节点下面,那么这里就可能出现【头重脚轻】的不平衡情况,比如:

长此以往,树可能生长得很不平衡。我们其实是希望,小一些的树接到大一些的树下面,这样就能避免头重脚轻,更平衡一些。解决方法是额外使用一个 size 数组,记录每棵树包含的节点数,我们不妨称为「重量」:

class UF {
private:
    int _count;
    vector<int> parent;
    // 新增一个数组记录树的“重量”
    vector<int> size;

public:
    UF(int n) {
        this->_count = n;
        this->parent.resize(n);
        // 最初每棵树只有一个节点
        // 重量应该初始化 1
        this->size.resize(n); 
        for (int i = 0; i < n; i++) {
            parent[i] = i;
            size[i] = 1;
        }
    }
    // 其他函数
};

比如,在 union 的过程中我们可以判断每棵树下面的节点个数,然后把小树合并到大树的下边。这样通过比较树的重量,姐可以保证树生长相对平衡,使复杂度大概在【logN】数量级。

class UF {
private:
    // 为了节约篇幅,省略上文给出的代码部分...
    
public:
    void union_(int p, int q) {
        int rootP = find(p);
        int rootQ = find(q);
        if (rootP == rootQ)
            return;
        
        // 小树接到大树下面,较平衡
        if (size[rootP] > size[rootQ]) {
            parent[rootQ] = rootP;
            size[rootP] += size[rootQ];
        } else {
            parent[rootP] = rootQ;
            size[rootQ] += size[rootP];
        }
        _count--;
    }
};

四、路径压缩

其实我们并不在乎每棵树的结构长什么样,只在乎根节点

因为无论树长啥样,树上的每个节点的根节点都是相同的,所以能不能进一步压缩每棵树的高度,使树高始终保持为常数?

这样每个节点的父节点就是整棵树的根节点,find 就能以 O(1) 的时间找到某一节点的根节点,相应的,connected 和 union 复杂度都下降为 O(1)。

要做到这一点主要是修改 find 函数逻辑,非常简单,但你可能会看到两种不同的写法。

第一种是在 find 中加一行代码:(把节点向上合并)

class UF {
    // 为了节约篇幅,省略上文给出的代码部分...

private:
    int find(int x) {
        while (parent[x] != x) {
            // 这行代码进行路径压缩
            parent[x] = parent[parent[x]];
            x = parent[x];
        }
        return x;
    }
};

用语言描述就是,每次 while 循环都会让部分子节点向上移动,这样每次调用 find 函数向树根遍历的同时,顺手就将树高缩短了。

路径压缩的第二种写法是这样:

class UF {
    // 为了节约篇幅,省略上文给出的代码部分...
    
    // 第二种路径压缩的 find 方法
    public:
        int find(int x) {
            if (parent[x] != x) {
                parent[x] = find(parent[x]);
            }
            return parent[x];
        }
};

// 迭代形式
// 这段迭代代码方便你理解递归代码所做的事情
int find(int x) {
    // 先找到根节点
    int root = x;
    while (parent[root] != root) {
        root = parent[root];
    }
    // 然后把 x 到根节点之间的所有节点直接接到根节点下面
    int old_parent = parent[x];
    while (x != root) {
        parent[x] = root;
        x = old_parent;
        old_parent = parent[old_parent];
    }
    return root;
}
// 直接把最底层的节点合并到根节点上

这种路径压缩的效果如下:

比起第一种路径压缩,显然这种方法压缩得更彻底,直接把一整条树枝压平,一点意外都没有。就算一些极端情况下产生了一棵比较高的树,只要一次路径压缩就能大幅降低树高,从 摊还分析 的角度来看,所有操作的平均时间复杂度依然是 O(1),所以从效率的角度来说,推荐你使用这种路径压缩算法。

另外,如果使用路径压缩技巧,那么 size 数组的平衡优化就没有必要了。所以你一般看到的 Union Find 算法应该是如下实现:

class UF {
private:
    // 连通分量个数
    int _count;
    // 存储每个节点的父节点
    vector<int> parent;

public:
    // n 为图中节点的个数
    UF(int n) {
        this->_count = n;
        this->parent.resize(n);
        for (int i = 0; i < n; i++) {
            parent[i] = i;
        }
    }
    
    // 将节点 p 和节点 q 连通
    void union_(int p, int q) {
        int rootP = find(p);
        int rootQ = find(q);
        
        if (rootP == rootQ)
            return;
        
        parent[rootQ] = rootP;
        // 两个连通分量合并成一个连通分量
        _count--;
    }

    // 判断节点 p 和节点 q 是否连通
    bool connected(int p, int q) {
        int rootP = find(p);
        int rootQ = find(q);
        return rootP == rootQ;
    }

    int find(int x) {
        if (parent[x] != x) {
            parent[x] = find(parent[x]);
        }
        return parent[x];
    }

    // 返回图中的连通分量个数
    int count() {
        return _count;
    }
};

Union-Find 算法的复杂度可以这样分析:构造函数初始化数据结构需要 O(N) 的时间和空间复杂度;连通两个节点 union、判断两个节点的连通性 connected、计算连通分量 count 所需的时间复杂度均为 O(1)。

到这里,相信你已经掌握了 Union-Find 算法的核心逻辑,总结一下我们优化算法的过程:

1、用 parent 数组记录每个节点的父节点,相当于指向父节点的指针,所以 parent 数组内实际存储着一个森林(若干棵多叉树)。

2、用 size 数组记录着每棵树的重量,目的是让 union 后树依然拥有平衡性,保证各个 API 时间复杂度为 O(logN),而不会退化成链表影响操作效率。

3、在 find 函数中进行路径压缩,保证任意树的高度保持在常数,使得各个 API 时间复杂度为 O(1)。使用了路径压缩之后,可以不使用 size 数组的平衡优化。

【每日一题】684. 冗余连接

树可以看成是一个连通且 无环 的 无向 图。

给定往一棵 n 个节点 (节点值 1~n) 的树中添加一条边后的图。添加的边的两个顶点包含在 1 到 n 中间,且这条附加的边不属于树中已存在的边。图的信息记录于长度为 n 的二维数组 edges ,edges[i] = [ai, bi] 表示图中在 ai 和 bi 之间存在一条边。

请找出一条可以删去的边,删除后可使得剩余部分是一个有着 n 个节点的树。如果有多个答案,则返回数组 edges 中最后出现的那个。

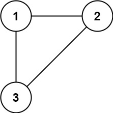
示例 1:

输入: edges = [[1,2], [1,3], [2,3]]
输出: [2,3]

思路

本身的树所有节点已经连通,然后加入了额外的一条边。那么我们只需要从后向前遍历,找出删掉哪条边后整个图的连通分量还是 1 即可。但是我们可以在把【edges】变成并查集的时候完成这一点。(并不是图都建好了我们才能开始找冗余边,在建立图的过程中就可以发现谁是冗余的)

通过并查集的思路我们可以解决这个问题,在向并查集中加入【edge】的时候,如果这条边不是冗余的,那么【edge】中的两个节点应该还没有被连接,所以我们可以通过 if (uf.connected(u, v)) 来检查当前的边是否是冗余的,甚至不需要遍历完全部的节点。

但是题目中要求返回最后出现的冗余边,所以我们需要一个【result】数组在遍历的过程中存储所有的冗余,在结尾返回最后出现的那个即可。

        for (const auto& edge: edges) {
            int u = edge[0];
            int v = edge[1];
            if (uf.connected(u, v)) {
                result.push_back(edge);
            } else {
                uf.union_(u, v);
            }
        }

代码(C++)

class UF {
private:
    int _count;
    vector<int> parent;

public:
    UF (int n){
        this->_count = n;
        this->parent.resize(n);
        for (int i = 0; i < n; ++i) {
            parent[i] = i;
        }
    }

    void union_(int p, int q) {
        int rootP = find(p);
        int rootQ = find(q);
        if (rootP == rootQ) {
            return;
        }
        parent[rootQ] = rootP;
        _count--;
    }

    bool connected(int p, int q) {
        int rootP = find(p);
        int rootQ = find(q);
        return rootP == rootQ;
    }

    int find(int x) {
        if (parent[x] != x) {
            parent[x] = find(parent[x]);
        }
        return parent[x];
    }

    int count() {
        return _count;
    }
};

class Solution {
public:
    vector<int> findRedundantConnection(vector<vector<int>>& edges) {
        int n = edges.size();
        UF uf(n+1);
        vector<vector<int>> result;
        for (const auto& edge: edges) {
            int u = edge[0];
            int v = edge[1];
            if (uf.connected(u, v)) {
                result.push_back(edge);
            } else {
                uf.union_(u, v);
            }
        }
        return result.back();
    }
};

代码(Python)

class UF:
    def __init__(self, n):
        self._count = n
        self.parent = list(range(n))

    def union(self, p, q):
        rootP = self.find(p)
        rootQ = self.find(q)
        if rootP == rootQ:
            return
        self.parent[rootQ] = rootP
        self._count -= 1

    def connected(self, p, q):
        return self.find(p) == self.find(q)

    def find(self, x):
        if self.parent[x] != x:
            self.parent[x] = self.find(self.parent[x])
        return self.parent[x]

    def count(self):
        return self._count

class Solution:
    def findRedundantConnection(self, edges: List[List[int]]) -> List[int]:
        n = len(edges)
        uf = UF(n+1)
        result = []

        for edge in edges:
            u, v = edge
            if uf.connected(u, v):
                result.append(edge)
            else:
                uf.union(u, v)

        return result[-1] if result else []

评论
添加红包

请填写红包祝福语或标题

红包个数最小为10个

红包金额最低5元

当前余额3.43前往充值 >
需支付:10.00
成就一亿技术人!
领取后你会自动成为博主和红包主的粉丝 规则
hope_wisdom
发出的红包
实付
使用余额支付
点击重新获取
扫码支付
钱包余额 0

抵扣说明:

1.余额是钱包充值的虚拟货币,按照1:1的比例进行支付金额的抵扣。
2.余额无法直接购买下载,可以购买VIP、付费专栏及课程。

余额充值