答:
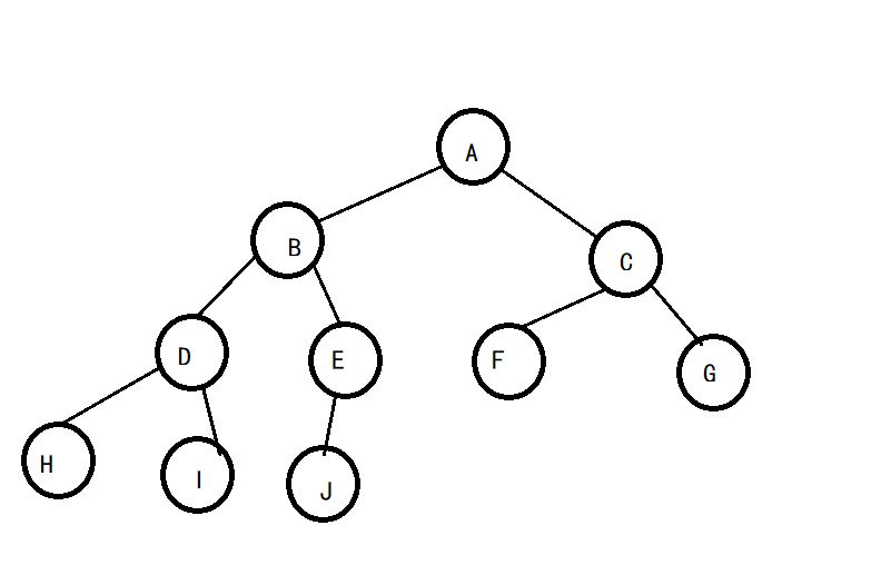
完全二叉树如图所示

package answers;
public class TreeNode {
public int val;//结点的值
public TreeNode left;//结点的左孩子
public TreeNode right;//结点的右孩子
public TreeNode(int val) {
this.val = val; // 这个结点中的值是 val
this.left = null; // 这个结点的左孩子是 null:不存在 —— 左子树是空树
this.right = null; // 这个结点的有孩子是 null;不存在 —— 右子树是空树
}
}
package answers;
public class TreeOperations {
public static TreeNode 手动构建二叉树() {
TreeNode a = new TreeNode('A');
TreeNode b = new TreeNode('B');
TreeNode c = new TreeNode('C');
TreeNode d = new TreeNode('D');
TreeNode e = new TreeNode('E');
TreeNode f = new TreeNode('F');
TreeNode g = new TreeNode('G');
TreeNode h = new TreeNode('H');
TreeNode i = new TreeNode('I');
TreeNode j = new TreeNode('J');
// 手动构建其关系
a.left = b; a.right = c;
b.left = d; b.right = e;
c.left = f; c.right = g;
d.left = h; d.right = i;
e.left = j; e.right = null;
f.left = null; f.right = null;//都为空可以省略
g.left = null; g.right = null;
h.left = null; h.right = null;
i.left = null; i.right = null;
j.left = null; j.right = null;
// 返回根结点即可
return a;
}
public static void main(String[] args) {
//主函数根据需求填写
}
}
answers是自己定义的包名,就是这样的了,望采纳!