距离保护整定计算中分支系数公式理解

文章探讨了在电力系统继电保护中,距离保护II段和III段整定计算时分支系数的计算方法。通过一个例题,解释了如何处理既有助增又有外汲的情况,提出了将BC段阻抗分为85%和15%的假设,并详细推导了Kb公式,强调在考试中应清晰展示中间步骤以避免错误。

在一般的距离保护II段和III段的整定计算中,分支系数的计算是必须要的,本文选自电力系统继电保护(第二版)(张保会老师主编)P94-P97页的例题,分析其中分支系数的计算公式。
我们在前面的章节中知道了助增和外汲的公式,定性的知道了两种情况对于实际整定的影响。但是这道题既有助增,又有外汲,不太好理解公式的含义,我在这里给出的是一种方便理解的办法。
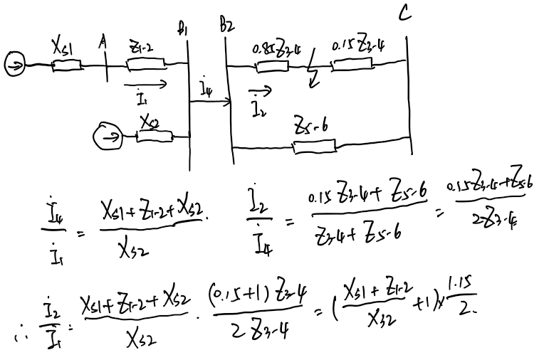
首先给出例题中的图:
在这里插入图片描述

首先假定BC段的最长保护范围是85%(考虑到其距离一段不可能保护线路全长),也就是把BC整段的阻抗分为85%和15%。
然后例题的解答里直接给出了Kb的表达式,让我非常懵,我把这个公式写在下面:
Kb=I2I1=Xs1+X1−2+Xs2Xs2×(1+0.15)Z3−42Z3−4=(Xs1+Z1−2Xs2+1)×1.152 K_b=\frac{I_2}{I_1}=\frac{X_{s1}+X_{1-2}+X_{s2}}{X_{s2}}\times \frac{\text{(}1+0.15\text{)}Z_{3-4}}{2Z_{3-4}}=\text{(}\frac{X_{s1}+Z_{1-2}}{X_{s2}}+1\text{)}\times \frac{1.15}{2} Kb=I1I2=Xs2Xs1+X12+Xs2×2Z341+0.15Z34=Xs2Xs1+Z12+1×21.15
很明显这里是跳步了,我把跳的步补上,同时把B母线写成B1和B2,如下图所示即为推导过程(很明显B1、B2是一个点,分开写是为了好理解):
在这里插入图片描述
如果考试时候还是建议大家写一个中间步骤,不然上下颠倒步骤一多很容易出错

评论 1
添加红包

请填写红包祝福语或标题

红包个数最小为10个

红包金额最低5元

当前余额3.43前往充值 >
需支付:10.00
成就一亿技术人!
领取后你会自动成为博主和红包主的粉丝 规则
hope_wisdom
发出的红包
实付
使用余额支付
点击重新获取
扫码支付
钱包余额 0

抵扣说明:

1.余额是钱包充值的虚拟货币,按照1:1的比例进行支付金额的抵扣。
2.余额无法直接购买下载,可以购买VIP、付费专栏及课程。

余额充值