动态规划总结
大部分内容和例子均来自 骆昊老师知乎文章 : 透过面试说算法(4) - 动态规划
1. 分治法和动态规划的区别
动态规划和之前文章中讲到的分治法的区别。分治法要解决的子问题是相互独立的,可以分别进行求解;而动态规划要解决的子问题是有重叠的,所以可以通过记忆化技术把已解决问题的结果保存起来。使用动态规划可以让很多问题的时间复杂度从指数级降到 O ( N 3 ) O(N^3) O(N3) 、 O ( N 2 ) O(N^2) O(N2) 甚至是 O ( N ) O(N) O(N) 。
2. 什么问题适合使用动态规划解决
如果想知道一个问题适不适合用动态规划来解决,可以看看问题是否符合以下两条性质:
具备最优子结构:整个问题的最佳解法可以由各个子问题的最佳解法构成。
具备相互重叠子问题:子问题会反复出现。
2. 动态规划通常会包含两个环节:
1. 递归:求解子问题。
2. 记忆化:把已经计算出的结果保存起来。
3. 题目应用:
输入两个字符串,求最长公共子序列(LCS,Longest Common Subsequence)的长度。
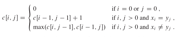
公式:

def lcs_n(a,b):
if a == '' or b == '':
return 0
if a[0] == b[0]:
return lcs_n(a[1:],b[1:])+1
else:
one = lcs_n(a[1:],b)
two = lcs_n(a,b[1:])
return max(one,two)
验证:
a = 'BDCABA'
b = 'ABCBDAB'
res = lcs_n(a,b)
print(res)
虽然问题解决,但是时间复杂度特别高,其渐近时间复杂度为 ( 2 M + 2 N ) (2^M+2^N) (2M+2N) 。可能大家已经注意到了,上面的算法再计算公共子序列长度时存在大量的重复运算,跟斐波那契数列优化前的代码是一样的。既然如此我们就可以考虑用动态规划的思路,通过保存中间运算结果对代码加以优化。
def lcs(a, b):
matrix = [[0] * (len(b) + 1) for _ in range(len(a) + 1)]
for i in range(1, len(a) + 1):
for j in range(1, len(b) + 1):
if a[i - 1] == b[j - 1]:
matrix[i][j] = matrix[i - 1][j - 1] + 1
else:
matrix[i][j] = max(matrix[i - 1][j], matrix[i][j - 1])
return matrix[-1][-1]
上面算法的渐近时间复杂度为 $ O( M * N)$,也可以利用functools里的装饰器lru_cache 添加记忆
import functools
@functools.lru_cache(maxsize=None)
def lcs_n(a,b):
if a == '' or b == '':
return 0
if a[0] == b[0]:
return lcs_n(a[1:],b[1:])+1
else:
one = lcs_n(a[1:],b)
two = lcs_n(a,b[1:])
return max(one,two)
a = 'BDCABA'
b = 'ABCBDAB'
res = lcs_n(a,b)
print(res) # 4
对于一个有 N N N 个整数的列表,找出它的子列表元素之和的最大值。

方法一:使用二重循环来找出这个子列表和的最大值,代码如下所示,渐近时间复杂度为
O
(
N
2
)
O(N^2)
O(N2)。
items = list(map(int, input().split()))
max_sum = items[0]
for i in range(len(items)):
cur_sum = 0
for item in items[i:]:
cur_sum += item
if max_sum < cur_sum:
max_sum = cur_sum
print(max_sum)
# 1 -2 3 5 -3 2 # 8
# 0 -2 3 5 -1 2 # 9
# -9 -2 -3 -5 -3 # -2

items = list(map(int,input().split()))
overall = partial = items[0]
for i in range(1,len(items)):
partial = max(items[i],partial+items[i])
overall = max(overall,partial)
print(overall)
# 1 -2 3 5 -3 2 # 8
# 0 -2 3 5 -1 2 # 9
# -9 -2 -3 -5 -3 # -2
力扣 1035 不相交的线(lcs问题)
问题描述:


class Solution:
def maxUncrossedLines(self, nums1: List[int], nums2: List[int]) -> int:
len1,len2 = len(nums1),len(nums2)
matrix = [[0] * (len2 + 1) for _ in range(len1 + 1)]
for i in range(1,len1 + 1):
for j in range(1,len2 +1):
if nums1[i-1]==nums2[j-1]:
matrix[i][j] = matrix[i-1][j-1] +1
else:
matrix[i][j] = max(matrix[i-1][j],matrix[i][j-1])
return matrix[-1][-1]
力扣 322 零钱兑换
| 题目;

| 方法一:带memory的递归
import functools
class Solution:
def coinChange(self, coins, amount: int):
@functools.lru_cache(maxsize=None)
def dp(n):
res = float("inf")
if n < 0 : return -1
if n == 0: return 0
for coin in coins:
subproblem = dp(n-coin)
if subproblem == -1:continue
res = min(res,1+dp(n-coin))
return res if res!=float("inf") else -1
return dp(amount)
** | 方法二:动态规划**
对于动态规划的理解
题目详解

class Solution:
def coinChange(self, coins:List, amount: int):
dp = [0] + [10001]*amount # 0 <= amount <= 10^4
for coin in coins:
for j in range(coin,amount+1):
dp[j] = min(dp[j] , dp[j-coin] + 1 )
return dp[amount] if dp[amount]!= 10001 else -1
力扣 53. 最大连续子数组和
题目:

题目解析:参考解析地址
在写状态转移方程的时候会遇到,经过一个数的最大连续子数组的最大和是多少,但这样很难写出状态转移方程,因为子问题很难划分。现在我们换一种角度考虑该问题:以这个数字结尾的最大子序列之和是多少,此时子问题便很好确定:
dp = [0] * len(nums)
我们的问题转化为了,确定并存储每一个,以nums[i]结尾的最大连续子序列之和。
其中:
d
p
[
0
]
=
n
u
m
s
[
0
]
dp[0] = nums[0]
dp[0]=nums[0]
如果
d
p
[
i
−
1
]
<
0
dp[i-1]<0
dp[i−1]<0 , 那么
d
p
[
i
]
=
n
u
m
s
[
i
]
dp[i] = nums[i]
dp[i]=nums[i] , 否则
d
p
[
i
]
=
d
p
[
i
−
1
]
+
n
u
m
s
[
i
]
dp[i] = dp[i-1] + nums[i]
dp[i]=dp[i−1]+nums[i]
取最大的dp值即得到最终结果:
class Solution:
def maxSubArray(self, nums: List[int]) -> int:
size = len(nums)
if size == 0:
return 0
dp = [0]*size
dp[0] = nums[0]
for i in range(1,size):
if dp[i-1] >= 0:
dp[i] = dp[i-1] + nums[i]
else:
dp[i] = nums[i]
return max(dp)

解法二:分治法 (直接贴了答案,待后续自己继续推敲)
说起分治法,首先想到了归并排序算法
根据「状态转移方程」, p [ i ] p[i] p[i] 的值只和 d p [ i − 1 ] dp[i - 1] dp[i−1] 有关,因此可以使用「滚动变量」的方式将代码进行优化。
from typing import List
class Solution:
def maxSubArray(self, nums: List[int]) -> int:
size = len(nums)
if size == 0:
return 0
return self.__max_sub_array(nums, 0, size - 1)
def __max_sub_array(self, nums, left, right):
if left == right:
return nums[left]
mid = (left + right) >> 1
return max(self.__max_sub_array(nums, left, mid),
self.__max_sub_array(nums, mid + 1, right),
self.__max_cross_array(nums, left, mid, right))
def __max_cross_array(self, nums, left, mid, right):
# 一定包含 nums[mid] 元素的最大连续子数组的和,
# 思路是看看左边"扩散到底",得到一个最大数,右边"扩散到底"得到一个最大数
# 然后再加上中间数
left_sum_max = 0
start_left = mid - 1
s1 = 0
while start_left >= left:
s1 += nums[start_left]
left_sum_max = max(left_sum_max, s1)
start_left -= 1
right_sum_max = 0
start_right = mid + 1
s2 = 0
while start_right <= right:
s2 += nums[start_right]
right_sum_max = max(right_sum_max, s2)
start_right += 1
return left_sum_max + nums[mid] + right_sum_max

1317

被折叠的 条评论
为什么被折叠?



