绪论
第一节:通信简介
简述消息、信息与信号的区别和联系。
第二节:通信系统的组成
通信系统一般模型

信源是消息的发源地,其作用是通过传感器把消息转换为原始电信号,即完成非电量—电量的转换。
发送设备的功能是将信源和信道匹配起来,其目的是将信源产生的消息信号变成适合在信道中传输的信号,常采用的信号处理方式有:编码、调制、滤波、放大(2020.10)。
接收设备的功能是放大和反变换(如滤波、译码、解调等),其目的是从受到干扰和减损的接收信号中正确恢复出原始电信号。
模拟通信系统模型

数字通信系统模型

信源译码的主要功能之一是对数字信号进行数模( D/A) 转换;
数字通信的优缺点
优点:
1、 抗干扰能力强,且噪声不积累;
2、 传输差错可控。(2020.10)
3、 便于与各种数字终端接口,用现代计算机技术对信号进行处理、加工、变换、存储、形成综合业务网。
4、 易于集成化,从而使通信设备微型化、且重量轻,成本低。
5、 易于加密处理,且保密强度高。
缺点:
1、 比模拟通信占用更宽的信道带宽。
2、 数字通信对同步要求高,因而系统设备比较复杂。不过,随着新的带宽传输媒质的采用和超大规模继承电路的发展,数字通信的这些缺点已经弱化。
第三节:通信系统的分类
通信系统的常见分类
信道信号特征分类:模拟通信和数字通信
传输媒质分类:有线通信和无线通信
传输方式分类:基带传输和带通传输
通信业务分类:电话通信、数字通信、图像通信和遥控通信等
工作波段分类:长波、中波、短波、微波、红外、激光通信等
消息传递的方向和时间分类:单工、半双工、全双工
数据序列的传输时序分类:并行传输、串行传输
并行传输和串行传输
并行传输是将码元序列以成组的方式在两条以上的并行信道上同时传输。
串行传输是将码元序列一个接一个地一次在同一条信道上同时传输。
单工、半双工和全双工
单工:单方向传递消息
半双工:通信的双方都具有发信和收信功能,但不能同时收发
全双工:通信的双方可以同时收发信息
第四节:信息的度量
信息量是对消息发生的概率(不确定性)的度量。概率越小,信息量越大。信息量的单位是比特。
离散消息的信息量
离散消息的信息量:

离散信源的熵:

第五节:通信系统的性能指标
有效性和可靠性是通信系统的主要性能指标。
模拟通信系统中的有效性用传输带宽来衡量,可靠性可用输出信噪比来衡量。
数字通信系统的有效性用频带利用率来衡量,可靠性用差错率来衡量。
数字通信系统的有效性
码元速率RB,定义为单位时间内传送的码元个数。单位为波特(Baud),所以为RB为波特率。
信息速率Rb,定义为每秒传送的信息量和比特数。单位为比特/秒(bit/s).
频带利用率是指单位频带(每赫兹)内所实现的传输速率


数字通信系统的可靠性
数字通信系统的可靠性常用误码率和误比特率来衡量
误码率又称差错率,是衡量数据在规定时间内数据传输精确性的指标。


信号与噪声
分析信号的手段
| 观察域 | 数学工具 | 实验仪器 | 重要函数 |
|---|---|---|---|
| 频域 | 傅里叶级数 | 频谱仪 | 谱密度函数 |
| 时域 | 傅里叶变换 | 示波器 | 相关函数 |
随机信号的频率特性通常用功率谱密度来描述。
频率特性是信号最本质的性质之一,它关系到信号占用的频带宽度以及滤波性能和抗噪声能力。
确知信号的频率特性可用频谱、频谱密度、能量谱密度或功率谱密度来描述。
随机信号的频率特性通常用功率谱密度来描述。
周期信号的频谱是离散频谱;非周期确知信号的频谱(密度)是连续频谱。
相关函数和功率谱密度之间是傅里叶变换关系,即维纳—辛钦定理,这对关系建立了时域与频域之间的联系和转换。
高斯随机过程经过线性变换后的过程仍是平稳、高斯的。
高斯白噪声同时涉及噪声的两个不同方面,即概率密度函数f(x)的正态分布性和功率谱密度函数Pn(f)的均匀性

白噪声通过带宽为Bn的理想矩形低通(或带通)滤波器的输出噪声,称为低通(或带通)白噪声。输出噪声功率为

信号带宽是信号频率特性中的重要指标,是指信号所占有的频率范围。在设计电路时,既要考虑有足够的信道带宽让信号通过,又要尽可能抑制噪声,并且信号带宽与通信容量及系统抗干扰能力关系密切。
能量信号的能量有限,而功率为0,;功率信号的功率有限,而能量为∞
信号的性质可从频域和时域两个域来描述
信号的频率特性可借助频谱仪来观察,信号的时间特性可借助示波器来分析。
功率密度的主要作用有确定功率、带宽、滤波特性
信号波形之间的相似程度可用相关函数来描述
相关函数R(τ)值越大,表示相关程度越大;R(τ)=0,表示互不相关。时间差τ=0时,即同一时刻时,信号取值之间的关联性最大。
信道与容量
第一节 信道分类
狭义信道

按信道特性随时间变化快慢,可分为恒参和随参信道。
广义信道

调制信道—用来研究调制与解调问题,定义范围是从调制器输出端到调制器输入端。
编码信道—用来研究编码和译码问题,定义范围是从编码器输出端至译码器输入端。
第二节 有线信道
双绞线是由两根具有绝缘层的金属导线按一定规则绞合。
光纤具有带宽宽、大容量、低损耗、防窃听、耐腐蚀、体积小、重量轻、抗电磁干扰能力强、环保等特点。
第三节 无线信道
电磁波谱
电磁波按照频率或波长大小的顺序排列起来,就是电磁波谱。

无线信道是指可以传输电磁波的空间。
波长是电波在一个周期内行进的距离。
频率是电波在每秒完成的周期数,单位是Hz
波长和频率成反比关系。
电磁波的传播方式
电磁波的传播方式有:地波传播(2MHz以下)、电离层反射传播(2—30MHz)、视线传播(30MHz以上)等。
电离层反射传播是2—30MHz波段的电磁波的主要传播方式。
微波是指频率为300MHz—300GHz(吉赫(GHz))的电磁波。
增大视线传播距离的手段有架高收发天线、微波中继和卫星中继。
第四节 信道对信号的影响
信道在传输信号的同时,会带来衰减、失真和噪声。
采用放大、滤波、均衡、信道编码等措施可以减小信道的影响。
噪声独立于有用信号并始终存在。他能使模拟信号失真、数字信号错码、并限制信号的传输速率 。热噪声是影响通信系统性能的主要因素。加性高斯白噪声信道是分析通信系统性能时常用的信道模型。
调制信道对信号的影响程度取决于乘性干扰C(f)和加性噪声n(t);编码信道对信号的影响程度可用数字转移概率来描述。
第五节 信道的数字模型
第六节 信道容量
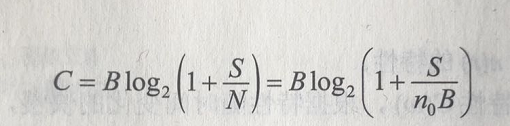
信道容量是指信道能够传输的最大信息传输速率,单位是bit/s.
带宽和信噪比是信道容量的决定因素;提高信噪比,可增大信道容量;信道带宽与信噪比之间可以互换。
香农公式

B为信道带宽(Hz);S为信号功率(W);n0为噪声单边功率谱密度;N=n0*B为噪声功率(W)。
香农公式给出了通信系统所能达到的信息传输速率是极限信息传输速率
信号频谱是指它所包含的所有频率分量的集合,并且通过频域图表示。换句话说频谱就是描述信号幅度(或相位)随频率变化的关系图。在物理形态上,信号可以表现为一种时间波形或频谱。
第七节 信道多路复用
多路复用-指在同一传输介质上同时传输多个不同信号源发出的信号,并且信号之间互不影响。目的是提高介质的利用率。
光通信的复用技术,原理和频分复用类似。
模拟调制系统
第一节 调制简介
调制是使载波的某个参数按照消息信号的规律作变化的过程。
调制技术是把基带信号变换成传输信号的技术。
模拟调制分为幅度调制和角度调制;幅度调制包括调幅( AM ),双边带( DSB),单边带( SSB)和残留边带( VSB );角度调制包括调频( FM )和调相( PM)。
幅度调制—载波的振幅随基带信号的瞬时值(振幅)而变化;
频率调制—载波的频率随基带信号的瞬时值而变化;
相位调制—载波的振幅随基带信号的瞬时值而变化;
已调信号的带宽越窄,说明有效性越好;解调器输出信噪比越大,说明可靠性越好。
调制的作用或目的
进行频谱搬移,减小天线尺寸。
将信号变换成适合在信道中传输的已调信号。
实现信道的多路复用
改善系统的抗噪声性能
获得功率效率、频谱效率的折中或互换等。
第二节 幅度调制
AM、DSB、SSB和VSB属于线性调制;PAM属于脉冲模拟调制。
解调是从携带信息的已调信号中恢复消息的过程。
调幅(AM)
AM信号一般采用包络检波解调
AM信号的包络与调制信号m(t)的形状完全一样,因此可采用简单的包络检波器进行调解,被广泛用于调幅广播。
AM信号在满足**|m(t)|max<=A0**条件时,可采用包络检波。
AM信号是含有载波的双边带信号,它的带宽是基带信号带宽的两倍。
AM的优势在于解调器简单,价格低廉,因而广泛用于中短波的调幅广播中;缺点是调制效率很低即功率利用率很低,因此它所含的载波分量并不携带消息信号的信息,却要占一半以上的发射功率。
双边带调制(DSB)
DSB信号中无载波分量,因此调制效率是100%;带宽是基带信号带宽的两倍。
DSB方法主要用于调频立体声广播中的信号调制,彩色电视系统中的色差信号调制,还可以作为单边带信号和残留边带信号的中间过程。
DSB信号的产生,滤波法。相移法。
单边带调制(SSB)
SSB只传输DSB中的一个边带,所以频谱利用率高,应用广泛
SSB最突出的优点是对频谱资源的有效利用,它所需的传输带宽仅为DSB的一半,所以SSB是用于频谱拥挤的通信场所,尤其在短波通信和多路载波电话中占有重要的地位。
SSB的另一个优点是,由于不发送载波和仅发送一个单边所节省的功率,这一优点带来的低功耗特性和设备重量的减轻,对移动通信系统尤为重要。
SSB的缺点是陡峭的边带滤波特性或宽带相移网络难以实现,另外SSB信号的解调也不能采用简单的包络检法,而需要采用相干解调。
残留边带调制(VSB)
VSB比SSB所需带宽仅有很小的增加,却换来了电路实现的简化。
VSB是介于SSB与DSB之间的一种折中方式,广泛用于电视广播系统中。
解调
| 相干解调(同步检波) | 包络检波(非相干解调) | 鉴频器(非相干解调) | |
|---|---|---|---|
| 适用 | AM、DSB、SSB和VSB信号 | AM信号的解调 | FM信号的解调 |
| 组成 | 相乘器和低通滤波器 | 整流器和LPF | 种类不同,组成也不同 |
| 要求 | 接受端需提供同步载波 | 接收端不需要同步载波 |
第三节 角度调制
角度调制,是指高频载波的频率或相位按照基带信号的规律而变化的一种调制方式,它是一种非线性调制,已调信号不再保持原来基带频谱的结构。
与幅度调制相比,角度调制最突出的优势是具有较高的抗噪声性能,其代价是占用比调幅信号更宽的带宽。
FM
FM信号的瞬时频偏与调制信号m(t)成正比
PM
FM信号的瞬时相偏与调制信号m(t)成正比
调制性能比较
抗噪声性能:FM>DSB/SSB>VSB>AM
频谱利用率:SSB>VSB>DSB/AM>FM
功率利用率:FM>DSB/SSB>VSB>AM
设备复杂度:SSB>VSB>DSB/FM>AM
第四节 模拟调制系统的抗噪性能
数字基带传输
第一节 基带信号的码型
基本码型
单极性码
单极性码,正电平和零电平的脉冲分别代表二进制码元1和0,且在每个码元的持续时间内,电平保持不变。
单极性码的优点是易于产生,缺点是含有直流分量和丰富的低频分量,因而不能在低频特性差的线路中传输,一般只适用于终端设备内,或印制电路板内的数据传输。
双极性码
双极性码,正负电平的脉冲分别代表1和0
双极性码的优点是,无直流分量,看噪声能力比单极性强。
因此双极性码的应用广泛,例如用于ITU-T制定的,微点24接口标准,美国电工协会CIA制定的RS-232C接口标准和数字调制器中。
单极性归零码
所谓归零,每个脉冲的电平在一个码元终止前,总要回到零电平。占空比50%
从单极性归零码中可以直接提取位定时信号,但它仍如单极性码那样不适于信道传输,因此它是其他码型提取同步时钟时才需要采用的一种过渡码型。
双极性归零码
双极性码,它兼有双极性和归零波形的特点。占空比100%
差分码
差分码是用相邻码元电平的跳变或不变来表示信息码元,而与本码元的电平极性无关。
差分码又称相对码,相对码的优点是可以消除设备初始状态不确定性的影响,如在相位调试系统中,可用于解决载波相位模糊的问题。
线路码型
选码原则:
无直流且低频分量;
含有丰富的定时信息;
占用带宽窄;
抗噪声性能好;
具有一定的纠错能力;
编译码简单。
AMI码
AMI码的全称是传号交替反转码,其编码规则是将码元中的1交替成为+1和-1,而0保持不变,AMI码的模型是三电平,正负和零电平的脉冲序列。
AMI码的优点是没有直流成分且高,低频分量少,编译码,电路简单。
AMI码是较常用的传输码型之一,如北美电话系统中时分复用机群的线路接口码型。
AMI码的缺点是它的功率谱形状与信源统计特性有关,且当信码出现连0串时,信号的电平长时间不跳变,造成提取定时信息的困难。
HDB3码
HDB3码的全称是3阶高密度双极性吗,它是AMI码的一种改进型,可以使连0个数不超过3个。
编码规则
1 当信码中的连0数目小于等于3时,按AMI码的编码规则
2 当连0数目不超过3个时,则将每4个连0,即0000用000V替代。V码的极性应与其相邻的前一个非0脉冲的极性相同。称V为破坏脉冲。
3 相邻V码必须交替出现,当V码的取值满足2而不满足3的要求时,将0000用B00V替代,B的取值与同组的V码相同,称B为调节脉冲
4 V码后面的传号码极性也要交替
应用
HDB3码保留了AMI码的优点,连0个数不超过3个,有利于定时信息的提取。
因此被广泛应用,国际电信联盟ITU建议HDB3码为A律PCM-TDM四次群以下的线路接口码型。
双相码
双向码是一种二电平的,非归0码,它的优点是没有直流分量,含有丰富的定时信息,编码也简单,缺点是占用的频带宽度加倍了,因为信号中最窄脉宽的宽度是半个码元长度。
双相码适用于数据终端设备的近距离传输。在10Mbit/s的以太网中,常用该码作为电缆中的传输码型。
CMI码
CMI码的全称是传号反转码,编码规则是,信码中的1交替用11和00表示,而0用01表示。
CMI码易于实现,含有丰富的定时信息。此外,由于10为禁用码组,不会出现三个以上的连码,这个规律可以用来宏观检错。该码已被ITU-T推荐为PCM四次群的接口码型,有时也用在速率低于8.44Mb/s的光纤传输系统中。
nBmB码
mBnB码是把输入的二进制原始码流进行分组,每组有m个二进制码,记为mB,称为一个码字,然后把一个码字变换为n个二进制码,记为nB,并在同一个时隙内输出。这种码型是把mB变换为nB,所以称为mBnB码,
其中m和n都是正整数, n>m,一般选取n=m+1。mBnB码有1B2B、3B4B、5B6B、 8B9B、 17B18B等等。
多电平码
多电平码的每个脉冲可携带更多比特的信息,采用多电平码可以压缩传输频带,换而言之,在比特率一定是比特率随进制数而提高,多电平码在频带受限的高速数据传输系统中得到了广泛应用。
第二节 基带信号的频谱
第三节 基带信号的传输
基带传输模型

发送滤波器:作用是形成适用于信道传输的基带信号波形,进行波形成形,可以与接收滤波器,级联设计无码间串扰的基带系统。
信道:允许信号通过传输媒介,通常是双绞线同轴电缆等有线信道。
接收滤波器:用来接收信号,滤除信号带外噪声和其他干扰,对信道特性进行均衡,使输出的基带信号有利于判决。
抽样判决器:对接收滤波器的输出波形进行抽样判决,已恢复或再生基带信号。
同步提取:从接收信号中提取用来抽样的位定时脉冲,位定时的准确与否将直接影响判决效果。
码间串扰
所谓码间串扰是由于系统传输特性(包括发、收滤波器和信道特性)的不理想,导致码元的响应波形发生畸变,展宽和拖尾,前面码元的响应波形的拖延蔓延到当前码元的抽样时刻上,从而对当前码元的判决造成干扰。
奈奎斯特第一准则规定理想低通信道的带宽为fN时,则该系统无码间干扰的最高传输速率为2fN。


第四节 基带系统的抗噪性能
0的理想低通系统可以达到2比特每赫兹的理论极限值,但它不能物理实现,实际中常用阿尔法大于零的余弦滚降特性,其中阿尔法等于1的升升余弦频谱特性,易于实现,且响应波形的尾部衰减收敛快,有利于减小码间串扰和定位,何谓定时误差的影响?但占用带宽最大,平淡利用率下降为1,比特美贺子,采用部分响应技术,可以将两个系统阿尔法等于02法等于1的优点集于一身。
第五节 估计系统性能的实验手段——眼图
眼图是一种估计和观察系统性能的试验手段。可以定性地反映码间串扰的程度,当“眼睛”张大时,表示码间串扰小,当眼睛闭合时,表示码间串扰大。
第六节 减小码间串扰的有效措施——均衡
均衡是一种消除或减低码间串扰的滤波技术。
数字调制系统
幅度键控–对应于用载波(正弦波)的幅度…
频移键控–对应于用载波(正弦波)的频率…
相移键控–对应于用载波(正弦波)的相位来传递数字基带信号。
第一节 二进制数字调制原理
数字信号三种最基本的调制方法(调幅、调频和调相)英文简写为ASK、FSK和PSK,其他各种调制方法都是以上方法的改进或组合,16QAM是正交调幅。
二进制振幅键控(2ASK)
ASK技术最简单,频带利用率较高,缺点是但抗干扰能力最差,并且信道特性变化敏感。
ASK信号产生的方法:模拟相乘法和键控法

二进制频移键控(2FSK)
2FSK信号可视为两个不同载频的2ASK信号的叠加。
FSK技术比ASK复杂,抗干扰能力稍强,不受信道参数变化的影响,因此FSK特别适用于衰落信道;
缺点是占用频带较宽,尤其是MFSK,频带利用率较低。
主要应用于中、低速数据传输中。

二进制相移键控(2PSK)
PSK或DPSK是一种高传输效率的调制方式。其优点是抗噪声能力比ASK和FSK都强,且不易受信道特性影响,因此在中、高速数据传输中得到了广泛应用。
PSK在相干解调时存在载波相位模糊的问题,在实际应用中很少采用,DPSK应用更为广泛。

二进制差分相移键控(2DPSK)
为了解决PSK存在的相位模糊问题,发展出差分相移键控DPSK.
2DPSK是利用相邻码元载波相位的相对变化传递数字信息。
PSK和DPSK技术比较复杂,但抗干扰能力都比较好。
相比PSK和DPSK技术,PSK技术抗噪声性能最优。
功率谱与信号带宽
第二节 二进制数字调制系统性能比较
数字系统的抗噪声性能可用误码率来衡量。
抗加性高斯白噪声性能优劣的顺序是2PSK,2DPSK,2FSK,2ASK。
频带利用率:2ASK=2PSK=2DPSK>2FSK
2ASK和2PSK,2DPSK所需带宽均为基带信号带宽的两倍。
第三节 多进制数字调制原理
第四节 几种现代调制体制简介
正交振幅调制(QAM)
QAM可认为是从QPSK或MPSK体质发展出来的,它是一种振幅和相位联合键控的体制,它比MPSK抗干扰性能更好,频带利用率更高,并且可以实现更高的数据传输速率。
最小频移键控(MSK)
MSK和GMSK都属于改进的FSK体制,他们能克服FSK线信号相位不连续的缺点,且能以最小的调制指数0.5获得严格正交的2FSK信号,GMSK信号的功率谱密度比GMSK信号更为集中,能满足蜂窝移动通信环境下对外辐射的严格要求。
正交频分复用(OFDM)
OFDM是一种多载波调制技术,各子载波,相互混叠且相互正交。
OFDM具有较高的频谱利用率和较强的抗多径衰落能力,在高速无线系统中得到了广泛应用。
模拟信号的数字化
第一节 脉冲编码调制(PCM)
脉冲编码调制是一种常用的模拟信号数字化的波形编码方式。
模/数变换(A/D)就是将模拟信号转换为数字信号,其目的是使模拟信号能够以数字方式传输。
模拟信号数字化需要经过三个步骤,采样量化和编码
第二节 采样
采样定理是模拟信号数字化和时分复用的理论基础。
对于0<f<fh的低通模拟信号,抽样速率以满足fs>=2fh。
采样信号实际上是一种脉冲幅度调制(PAM)信号。
PAM是脉冲串的幅度,随调制信号进行变换的一种模拟脉冲编制方式。
自然采样和平顶采样是实际中常用的两种PAM方式,
自然采样信号的脉冲顶部和原模拟信号波形相同。
平顶采样信号的脉冲顶部是平坦的,脉冲幅度等于瞬时抽样值。
第三节 量化
量化是抽样信号幅值进行离散化处理的过程。
量化有两种方法,均匀量化和非均匀量化
量化原理
均匀量化
均匀量化的特点是量化间隔相同,缺点是小信号时量化信噪比低。
非均匀量化
非均匀量化的特点是量化间隔随信号采样值的大小而变化。
压缩的作用:“压大补小”,压缩的目的,提高小信号的量化信噪比。
关于电话信号的压缩特性,国际电信联盟ITU制定了两种建议,A压缩律和μ压缩律,以及相应的相似算法,13折线法和15折线法。
第四节 PCM编码
编码技术就是把量化后的有限个信号电平值变成二进制码组的技术。
A律13折线PCM编码是将每个采样值编成8位折叠二进码
第五节 PCM信号的比特率和带宽
PCM信号的比特率为Rb=fs×N=2fh×N
所需传输带宽为B=Rb=N×fs,
因此单线PCM数字电话信号的比特率为64kbit/s。
第六节 DPCM和ADPCM简介
降低比特率,减小传输带宽的方法有DPCM,ADPCM和△M等。
第七节 增量调制(△M)
△M序列中的每个编码比特表示相邻抽样值的差值的极性。
PCM和△M都是模拟信号传输数字化的基本方法
PCM适用于要求传输质量高且频带资源丰富的场合,一般用于大容量的干线通信。
△M具有编译码设备简单,低比特率时的量化信噪比高,抗误码性特性好等优点,一般用于专用通信网和卫星通信中。
第八节 时分多路数字电话
我国数字微波PDH基群数字速率系列标准为2.048Mbit/s(30话路);北美和日本采用1.544Mbit/s(24话路)。
PDH是准同步数字系列。其插入波同步定位信号的作用是用于接收端正确分接。
时分复用数字电话,TDM-PCM基群有两种标准。
PCM30/32路集群,比特率为2.048Mbit/s.
PCM24路集群,比特率为1.544Mbit/s.
差错控制编码
第一节 差错控制编码的基本原理
第二节 差错控制方式
1、检错重发方式(ARQ)
2、前向纠错方式(FEC)
3、混合纠错检错方式(HEC)
第三节 差错控制编码的基本概念
码重:指码组中非“0"码元的个数
码距:指两个等长码组之间对应位置上数字不同的位数,即两个码组对应位”模2加“的重量。例如:010101与011011之间的距离为3.
最小码距:指在某个编码集合中,任意两个码组之间距离的最小值,记为d0.
若在码字内,能检测e个错码,则要求最小码距 d0>=e+1
纠正t个错码,则要求最小码距 d0>=2t+1
纠正t个错码,同时检测e个错码,则要求最小码距 d0>=e+t+1 且e>t
编码效率是指一个码组中信息位所占的比例,表示为

k为信息位数,n为编码后码组的长度,r为监督位数。
第四节 奇偶监督码
奇偶监督码是一种最简单的(n,k)=(n,n-1)线性分组码,能捡奇数个错码。
二维奇偶监督码适用于检测突发错码。
第五节 线性分组码
一个[n,k]线性分组码,是把信息划成k个码元为一段(称为信息组),通过编码器变成长度为n个码元的一组,作为[n,k]线性分组码的一个码字。若每位码元的取值有q种(q为素数幂,q进制),则共有q的k次方个码字。
第六节 循环码
同步
第一节 同步简介
第二节 载波同步
第三节 位同步
第四节 群(帧)同步
其他
“无线电窗口”又称为“电波窗口”是指星通信的最佳工作频段在1~10GHz之间,这时存在的外部噪声很小。
单跳形式网络在物理结构上又称为星形网络。它由若干个VAST小站和一个处于中心城市的枢纽站组成,两个VSAT小站进行通信需经过的跳数为2。
蜂窝系统主要有两种干扰:同频干扰和邻频于扰。
多普勒效应是由于波源与接收者的相对运动而产生的现象,波源向接收机移动时接收频率增加,波源远离接收机则频率变低,这种现象称为频率扩散。
电话网络
电路交换的路由选择顺序和原则是:先选择高效直达路由。
呼损率,是交换系统的服务质量的重要指标,这个指标关系到用户对电话系统提供服务的满意度,简单来说就是有交换机引起的呼叫失败的概率
信令的分类方法有很多,按其工作的区域不同,可分为 用户线信令和居间信令。
基干路由:是指特定的交换中心之间连接的路由。它是由同一交换区内相邻等级交换中心之间的低呼损电路群及一级交换中心之间的低呼损电路群所组成。
低呼损直达路由:是由任意两个等级交换中心之间低呼损电路群所组成的路由,可以旁路或部分地旁路基干路由。在该路由上的话务量不允许溢出至其他路由。
高效直达路由:是由任意两个等级交换中心之间的直达电路群所组成的路由。它可以旁路或部分地旁路基于路由。在该路由上的话务量允许溢出至其他路由。
异步复接是各低次群各自使用自己的时钟,由于各低次群的时钟频率不一定相等,使得各低次群的数码率不完全相同,因而先要进行码速调整,使各低次群获得同步,再复接。又称准同步复接。各低次群的标称数码率相等,允许有一定范围的偏差。
本文深入探讨了通信系统的基础知识,包括消息、信息与信号的区别,通信系统的组成和分类,详细解析了模拟与数字通信的优缺点,以及信号处理、编码、调制等关键技术。同时,介绍了通信系统的性能指标,如有效性和可靠性,以及抗噪声性能和频带利用率的评估。
1954





